Suppr超能文献

肝合并肝细胞癌和胆管细胞癌的结果。

Outcome of combined hepatocellular and cholangiocarcinoma of the liver.

机构信息

Section of Oncology-Hematology, Department of Internal Medicine, University of Nebraska Medical Center, Omaha, NE 68198-7680, USA.

出版信息

J Oncol. 2010;2010. doi: 10.1155/2010/917356. Epub 2010 Sep 2.

Abstract

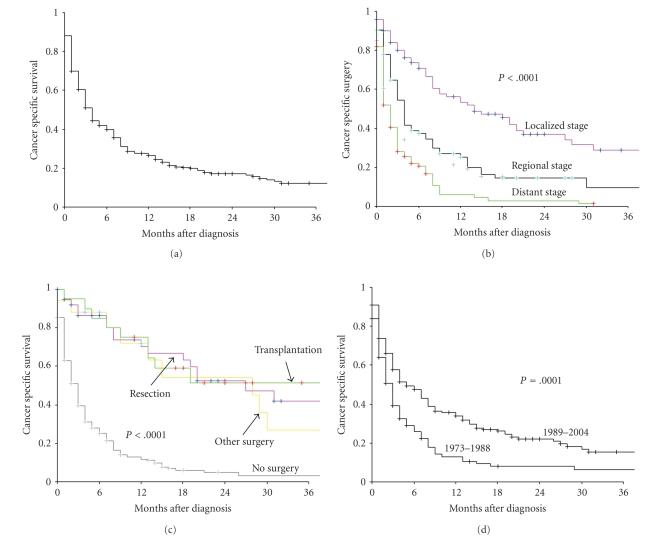
Background. The objective of this study was to examine the epidemiology, natural history, and prognostic factors of combined hepatocellular and cholangiocarcinoma (cHCC-CC) using population-based registry. Methods. The Surveillance, Epidemiology, and End Results Program database (1973-2004) was used to identify cases of cHCC-CC. Multivariable logistic regression was used to evaluate factors associated with cancer-directed surgery (CDS). The influence of CDS on cancer specific survival was evaluated using Kaplan-Meier curves and Cox proportional hazards modeling. Results. A total of 380 cases of cHCC-CC were identified, which account for approximately 0.87% of primary liver tumors. Of all patients, 69.8% of patients had regional or distant stage; 65.6% of patients had poorly or undifferentiated histology. Only 44.9% of patients with localized disease, received CDS. By logistic regression analysis, being widowed, advanced stage, and earlier diagnosis year were associated with lower rate of utilization of CDS. In multivariate analysis, tumor stage, receipt of CDS, and recent year of diagnosis were found to be significant predictors for cancer-specific survival. Conclusions. Patients with localized cHCC-CC who are selected for CDS were strongly associated with improved survival. However, many patients with localized tumors did not receive potentially curative cancer-directed surgery. Further study is warranted to address the barriers to the delivery of appropriate care to these patients.

摘要

背景

本研究旨在通过基于人群的登记处研究,分析肝细胞癌合并胆管细胞癌(cHCC-CC)的流行病学、自然史和预后因素。方法:使用监测、流行病学和最终结果(SEER)数据库(1973-2004 年)确定 cHCC-CC 病例。采用多变量逻辑回归分析评估与癌症定向手术(CDS)相关的因素。采用 Kaplan-Meier 曲线和 Cox 比例风险模型评估 CDS 对癌症特异性生存的影响。结果:共发现 380 例 cHCC-CC,占原发性肝癌的 0.87%左右。所有患者中,69.8%的患者为局部或远处转移;65.6%的患者组织学分级为低分化或未分化。仅有 44.9%的局限性疾病患者接受了 CDS。通过逻辑回归分析,丧偶、晚期疾病和较早的诊断年份与 CDS 使用率降低相关。多因素分析发现肿瘤分期、接受 CDS 和较近的诊断年份是癌症特异性生存的显著预测因素。结论:选择 CDS 的局限性 cHCC-CC 患者与生存改善密切相关。然而,许多局限性肿瘤患者并未接受潜在的根治性癌症定向手术。需要进一步研究以解决为这些患者提供适当治疗的障碍。

https://cdn.ncbi.nlm.nih.gov/pmc/blobs/f55f/2939443/00b381c455dc/JO2010-917356.001.jpg

文献检索

告别复杂PubMed语法,用中文像聊天一样搜索,搜遍4000万医学文献。AI智能推荐,让科研检索更轻松。

立即免费搜索

文件翻译

保留排版,准确专业,支持PDF/Word/PPT等文件格式,支持 12+语言互译。

免费翻译文档

深度研究

AI帮你快速写综述,25分钟生成高质量综述,智能提取关键信息,辅助科研写作。

立即免费体验