Suppr超能文献

环 closing metathesis 在肽中的结构和药理效应。

Structural and pharmacological effects of ring-closing metathesis in peptides.

机构信息

School of Pharmacy, University of Oslo, Oslo, Norway.

出版信息

Molecules. 2010 Sep 21;15(9):6638-77. doi: 10.3390/molecules15096638.

Abstract

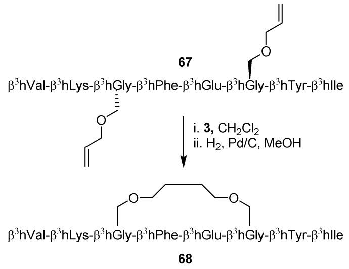
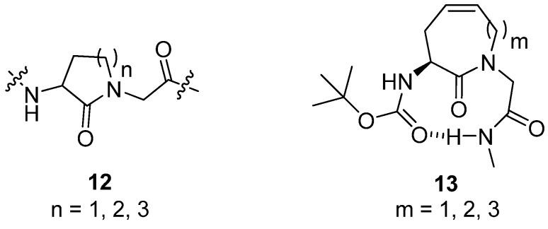
Applications of ring-closing alkene metathesis (RCM) in acyclic α- and β-peptides and closely related systems are reviewed, with a special emphasis on the structural and pharmacological effects of cyclization by RCM.

摘要

综述了闭环烯键复分解(RCM)在非环 α-和 β-肽及相关体系中的应用,特别强调了 RCM 环化的结构和药理学效应。

https://cdn.ncbi.nlm.nih.gov/pmc/blobs/754a/6257744/3da2a0a9f000/molecules-15-06638-g001.jpg

文献AI研究员

20分钟写一篇综述,助力文献阅读效率提升50倍。

立即体验

用中文搜PubMed

大模型驱动的PubMed中文搜索引擎

马上搜索

文档翻译

学术文献翻译模型,支持多种主流文档格式。

立即体验