Royal Adelaide Hospital, Department of Intensive Care, North Terrace, Adelaide 5000, South Australia.
Crit Care. 2010;14(5):228. doi: 10.1186/cc9039. Epub 2010 Sep 24.
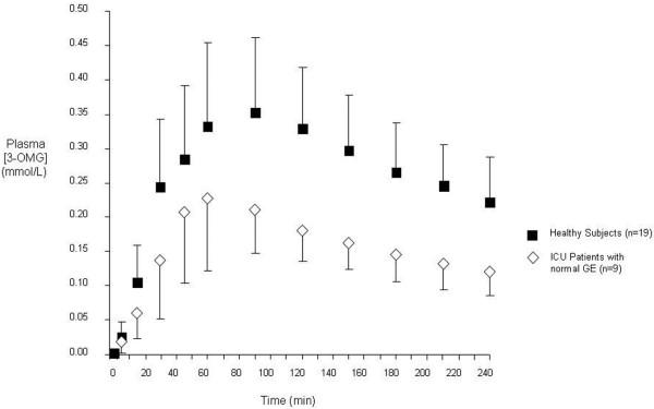
In health, hormones secreted from the gastrointestinal tract have an important role in regulating gastrointestinal motility, glucose metabolism and immune function. Recent studies in the critically ill have established that the secretion of a number of these hormones is abnormal, which probably contributes to disordered gastrointestinal and metabolic function. Furthermore, manipulation of endogenous secretion, physiological replacement and supra-physiological treatment (pharmacological dosing) of these hormones are likely to be novel therapeutic targets in this group. Fasting ghrelin concentrations are reduced in the early phase of critical illness, and exogenous ghrelin is a potential therapy that could be used to accelerate gastric emptying and/or stimulate appetite. Motilin agonists, such as erythromycin, are effective gastrokinetic drugs in the critically ill. Cholecystokinin and peptide YY concentrations are elevated in both the fasting and postprandial states, and are likely to contribute to slow gastric emptying. Accordingly, there is a rationale for the therapeutic use of their antagonists. So-called incretin therapies (glucagon-like peptide-1 and glucose-dependent insulinotropic polypeptide) warrant evaluation in the management of hyperglycaemia in the critically ill. Exogenous glucagon-like peptide-2 (or its analogues) may be a potential therapy because of its intestinotropic properties.
在健康状态下,胃肠道分泌的激素对于调节胃肠道蠕动、葡萄糖代谢和免疫功能具有重要作用。最近对危重病患者的研究表明,这些激素的分泌存在异常,这可能导致胃肠道和代谢功能紊乱。此外,对这些激素的内源性分泌进行干预、进行生理性替代以及进行超生理剂量(药物剂量)治疗,可能成为这一人群的新的治疗靶点。在危重病的早期阶段,空腹生长激素释放肽浓度降低,外源性生长激素释放肽可能是一种加速胃排空和/或刺激食欲的潜在治疗方法。在危重病患者中,胃动素激动剂(如红霉素)是有效的胃肠动力药物。胆囊收缩素和肽 YY 的浓度在空腹和餐后状态下均升高,可能导致胃排空缓慢。因此,有理由使用其拮抗剂进行治疗。所谓的肠促胰岛素治疗(胰高血糖素样肽-1 和葡萄糖依赖性胰岛素释放肽)在危重病患者的高血糖管理中值得评估。外源性胰高血糖素样肽-2(或其类似物)可能是一种潜在的治疗方法,因为其具有肠作用。