Suppr超能文献

骨单位骨的准静态和谐波压痕

Quasi-static and harmonic indentation of osteonal bone.

作者信息

Huja S S, Hay J L, Rummel A M, Beck F M

机构信息

College of Dentistry, The Ohio State University, Columbus, OH 43210, USA.

出版信息

J Dent Biomech. 2010 Feb 17;2010:736830. doi: 10.4061/2010/736830.

Abstract

UNLABELLED

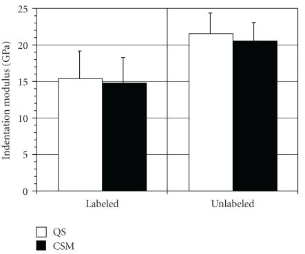
The purpose of the study was to compare Quasi-Static (QS) and harmonic (CSM) methods of indentation testing. Bone sections were obtained from mid-femoral diaphyses of dogs which received a pair of calcein labels. Labeled (n = 35) and unlabeled (n = 112) osteons were identified. Indentation modulus (IM) and hardness (H) for the CSM method were collected during the entire loading cycle to peak depth, while IM and H for QS method were calculated at a peak depth of 500 nm.

RESULTS

The mean (SD) of the IM and H for labeled osteons were as follows: QS IM = 15.3 GPa (3.85) versus CSM IM = 14.7 GPa (3.58); P = .52 and QS H = .39 GPa (.171) versus CSM H = .42 GPa (.146); P = .32. The mean (SD) of the IM and H for unlabeled osteons were as follows: QS IM = 21.5 GPa (2.80) versus CSM IM = 20.6 GPa (2.53); P = .054 and QS H = .64 GPa (.117) versus CSM H = .70 GPa (.120); P = .017. There was no difference in IM and H for the two methods, except for H of the unlabeled osteons. In addition, for the CSM method, IM at 100 nm, 200 nm, 300 nm, 400 nm and 500 nm were not statistically significant different (P = .06). Bone is viscoelastic at an organ level. However, this component of its behavior was not detected at the length scale examined.

摘要

未标注

本研究的目的是比较准静态(QS)和谐波(CSM)压痕测试方法。从接受了一对钙黄绿素标记的犬股骨中段骨干获取骨切片。识别出标记的(n = 35)和未标记的(n = 112)骨单位。在整个加载周期至峰值深度期间收集CSM方法的压痕模量(IM)和硬度(H),而QS方法的IM和H在500 nm的峰值深度处计算。

结果

标记骨单位的IM和H的平均值(标准差)如下:QS IM = 15.3 GPa(3.85),而CSM IM = 14.7 GPa(3.58);P = 0.52,QS H = 0.39 GPa(0.171),而CSM H = 0.42 GPa(0.146);P = 0.32。未标记骨单位的IM和H的平均值(标准差)如下:QS IM = 21.5 GPa(2.80),而CSM IM = 20.6 GPa(2.53);P = 0.054,QS H = 0.64 GPa(0.117),而CSM H = 0.70 GPa(0.120);P = 0.017。除了未标记骨单位的H之外,两种方法的IM和H没有差异。此外,对于CSM方法,100 nm、200 nm、300 nm、400 nm和500 nm处的IM在统计学上没有显著差异(P = 0.06)。骨在器官水平上是粘弹性的。然而,在检查的长度尺度上未检测到其行为的这一成分。

https://cdn.ncbi.nlm.nih.gov/pmc/blobs/316c/2958426/8f2695b2901c/JDB2010-736830.001.jpg

文献AI研究员

20分钟写一篇综述,助力文献阅读效率提升50倍。

立即体验

用中文搜PubMed

大模型驱动的PubMed中文搜索引擎

马上搜索

文档翻译

学术文献翻译模型,支持多种主流文档格式。

立即体验