• 文献检索
  • 文档翻译
  • 深度研究
  • 学术资讯
  • Suppr Zotero 插件Zotero 插件
  • 邀请有礼
  • 套餐&价格
  • 历史记录
应用&插件
Suppr Zotero 插件Zotero 插件浏览器插件Mac 客户端Windows 客户端微信小程序
定价
高级版会员购买积分包购买API积分包
服务
文献检索文档翻译深度研究API 文档MCP 服务
关于我们
关于 Suppr公司介绍联系我们用户协议隐私条款
关注我们

Suppr 超能文献

核心技术专利:CN118964589B侵权必究
粤ICP备2023148730 号-1Suppr @ 2026

文献检索

告别复杂PubMed语法,用中文像聊天一样搜索,搜遍4000万医学文献。AI智能推荐,让科研检索更轻松。

立即免费搜索

文件翻译

保留排版,准确专业,支持PDF/Word/PPT等文件格式,支持 12+语言互译。

免费翻译文档

深度研究

AI帮你快速写综述,25分钟生成高质量综述,智能提取关键信息,辅助科研写作。

立即免费体验

视网膜神经节细胞轴突分泌的神经营养因子前体对于 EphrinA-p75NTR 介导的轴突导向是必需的。

Pro-neurotrophins secreted from retinal ganglion cell axons are necessary for ephrinA-p75NTR-mediated axon guidance.

机构信息

MRC Centre for Developmental Neurobiology, King's College London, New Hunt's House, Guy's Campus, London SE1 1UL, UK.

出版信息

Neural Dev. 2010 Nov 2;5:30. doi: 10.1186/1749-8104-5-30.

DOI:10.1186/1749-8104-5-30
PMID:21044296
原文链接:https://pmc.ncbi.nlm.nih.gov/articles/PMC2987844/
Abstract

BACKGROUND

Retinotectal map formation develops via topographically specific guidance and branching of retinal axons in their target area. This process is controlled, in part, by reverse signalling of ephrinAs expressed on retinal axons. As glycosylphosphatidylinositol-anchored molecules, ephrinAs require transmembrane co-receptors to exert this function, for which the two neurotrophin receptors, p75NTR and TrkB, were recently proposed.

RESULTS

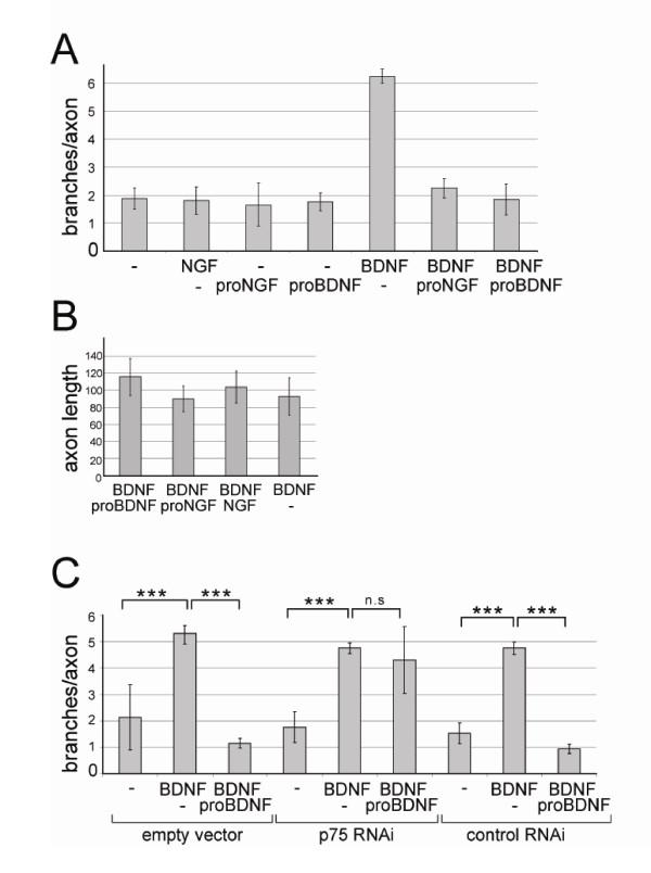
We show here that the ligands for these receptors, the brain-derived neurotrophic factor precursor (proBDNF) and its processed form, BDNF, respectively, control the branching of retinal axons antagonistically, which they mediate by inducing the corresponding neurotrophin receptor-ephrinA complexes. Moreover, scavenging proneurotrophins, by adding antibodies specific for the pro-domain of proBNDF or a soluble extracellular domain of p75NTR, abolish repellent ephrinA reverse signalling in the stripe assay.

CONCLUSIONS

This indicates that retinal cells secrete proneurotrophins, inducing the ephrinA-p75NTR interaction and enabling repellent axon guidance. The antagonistic functions of proBDNF and BDNF raise the possibility that topographic branching is controlled by local control of processing of proneurotrophins.

摘要

背景

视网膜-视顶盖的投射图形成是通过视网膜轴突在其靶区中的特定拓扑导向和分支来实现的。这个过程部分受到视网膜轴突上表达的外显子反向信号的控制。作为糖基磷脂酰肌醇锚定分子,外显子需要跨膜共受体来发挥此功能,最近提出了两种神经营养因子受体,p75NTR 和 TrkB。

结果

我们在这里表明,这些受体的配体,脑源性神经营养因子前体(proBDNF)及其加工形式 BDNF,分别通过诱导相应的神经营养因子受体-外显子 A 复合物,拮抗地控制视网膜轴突的分支。此外,通过添加针对 proBDNF 前结构域或 p75NTR 可溶性细胞外结构域的抗体来清除神经营养前体,可以消除条纹测定中的排斥性外显子反向信号。

结论

这表明视网膜细胞分泌神经营养前体,诱导外显子 A-p75NTR 相互作用,并使排斥性轴突导向成为可能。proBDNF 和 BDNF 的拮抗作用表明,拓扑分支可能受到神经营养前体加工的局部控制。

https://cdn.ncbi.nlm.nih.gov/pmc/blobs/2383/2987844/5989b3620992/1749-8104-5-30-5.jpg
https://cdn.ncbi.nlm.nih.gov/pmc/blobs/2383/2987844/8f51b2ce23a1/1749-8104-5-30-1.jpg
https://cdn.ncbi.nlm.nih.gov/pmc/blobs/2383/2987844/b305c634ceb8/1749-8104-5-30-2.jpg
https://cdn.ncbi.nlm.nih.gov/pmc/blobs/2383/2987844/2c4af4455455/1749-8104-5-30-3.jpg
https://cdn.ncbi.nlm.nih.gov/pmc/blobs/2383/2987844/7c8e4707d917/1749-8104-5-30-4.jpg
https://cdn.ncbi.nlm.nih.gov/pmc/blobs/2383/2987844/5989b3620992/1749-8104-5-30-5.jpg
https://cdn.ncbi.nlm.nih.gov/pmc/blobs/2383/2987844/8f51b2ce23a1/1749-8104-5-30-1.jpg
https://cdn.ncbi.nlm.nih.gov/pmc/blobs/2383/2987844/b305c634ceb8/1749-8104-5-30-2.jpg
https://cdn.ncbi.nlm.nih.gov/pmc/blobs/2383/2987844/2c4af4455455/1749-8104-5-30-3.jpg
https://cdn.ncbi.nlm.nih.gov/pmc/blobs/2383/2987844/7c8e4707d917/1749-8104-5-30-4.jpg
https://cdn.ncbi.nlm.nih.gov/pmc/blobs/2383/2987844/5989b3620992/1749-8104-5-30-5.jpg

相似文献

1
Pro-neurotrophins secreted from retinal ganglion cell axons are necessary for ephrinA-p75NTR-mediated axon guidance.视网膜神经节细胞轴突分泌的神经营养因子前体对于 EphrinA-p75NTR 介导的轴突导向是必需的。
Neural Dev. 2010 Nov 2;5:30. doi: 10.1186/1749-8104-5-30.
2
EphrinA6 on chick retinal axons is a key component for p75(NTR)-dependent axon repulsion and TrkB-dependent axon branching.EphrinA6 在鸡视网膜轴突上是 p75(NTR)依赖性轴突排斥和 TrkB 依赖性轴突分支所必需的关键成分。
Mol Cell Neurosci. 2011 Jun;47(2):131-6. doi: 10.1016/j.mcn.2011.03.008. Epub 2011 Apr 2.
3
A TrkB/EphrinA interaction controls retinal axon branching and synaptogenesis.TrkB与EphrinA的相互作用控制视网膜轴突分支和突触形成。
J Neurosci. 2008 Nov 26;28(48):12700-12. doi: 10.1523/JNEUROSCI.1915-08.2008.
4
Axonal ephrinA/EphA interactions, and the emergence of order in topographic projections.轴突-ephrinA/EphA 相互作用与拓扑投射中的有序性出现。
Semin Cell Dev Biol. 2012 Feb;23(1):1-6. doi: 10.1016/j.semcdb.2011.10.015. Epub 2011 Oct 21.
5
The secreted brain-derived neurotrophic factor precursor pro-BDNF binds to TrkB and p75NTR but not to TrkA or TrkC.分泌型脑源性神经营养因子前体原脑源性神经营养因子(pro-BDNF)与TrkB和p75NTR结合,但不与TrkA或TrkC结合。
J Neurosci Res. 2005 Apr 1;80(1):18-28. doi: 10.1002/jnr.20432.
6
ProBDNF induces neuronal apoptosis via activation of a receptor complex of p75NTR and sortilin.前脑源性神经营养因子通过激活p75神经营养因子受体(p75NTR)和sortilin的受体复合物诱导神经元凋亡。
J Neurosci. 2005 Jun 1;25(22):5455-63. doi: 10.1523/JNEUROSCI.5123-04.2005.
7
The outgrowth response of the axons of developing and regenerating rat retinal ganglion cells in vitro to neurotrophin treatment.发育中和再生中的大鼠视网膜神经节细胞轴突在体外对神经营养因子治疗的生长反应。
J Neurocytol. 2003 Nov;32(9):1055-75. doi: 10.1023/B:NEUR.0000021902.65233.8d.
8
p75 neurotrophin receptor and pro-BDNF promote cell survival and migration in clear cell renal cell carcinoma.p75神经营养因子受体和前脑源性神经营养因子促进透明细胞肾细胞癌中的细胞存活和迁移。
Oncotarget. 2016 Jun 7;7(23):34480-97. doi: 10.18632/oncotarget.8911.
9
Functionally antagonistic interactions between the TrkA and p75 neurotrophin receptors regulate sympathetic neuron growth and target innervation.TrkA与p75神经营养因子受体之间的功能拮抗相互作用调节交感神经元的生长和靶神经支配。
J Neurosci. 1999 Jul 1;19(13):5393-408. doi: 10.1523/JNEUROSCI.19-13-05393.1999.
10
BDNF promotes axon branching of retinal ganglion cells via miRNA-132 and p250GAP.BDNF 通过 miRNA-132 和 p250GAP 促进视网膜神经节细胞的轴突分支。
J Neurosci. 2014 Jan 15;34(3):969-79. doi: 10.1523/JNEUROSCI.1910-13.2014.

引用本文的文献

1
and Variants in Malaysian Neural Tube Defect Families.马来西亚神经管缺陷家族的变异。
Genes (Basel). 2022 May 26;13(6):952. doi: 10.3390/genes13060952.
2
Genetic interplay between transcription factor Pou4f1/Brn3a and neurotrophin receptor Ret in retinal ganglion cell type specification.转录因子 Pou4f1/Brn3a 和神经营养因子受体 Ret 在视网膜神经节细胞类型特化中的遗传相互作用。
Neural Dev. 2021 Sep 21;16(1):5. doi: 10.1186/s13064-021-00155-z.
3
Age Related Response of Neonatal Rat Retinal Ganglion Cells to Reduced TrkB Signaling and .

本文引用的文献

1
p75NTR is an obligate signaling receptor required for cues that cause sympathetic neuron growth cone collapse.p75NTR 是一种必需的信号受体,对于导致交感神经元生长锥塌陷的线索是必需的。
Mol Cell Neurosci. 2010 Oct;45(2):108-20. doi: 10.1016/j.mcn.2010.05.015. Epub 2010 Jun 17.
2
Cleavage of proBDNF to BDNF by a tolloid-like metalloproteinase is required for acquisition of in vitro eyeblink classical conditioning.Tolloid-like 金属蛋白酶对 proBDNF 的裂解对于体外眨眼经典条件反射的获得是必需的。
J Neurosci. 2009 Nov 25;29(47):14956-64. doi: 10.1523/JNEUROSCI.3649-09.2009.
3
New insights in the biology of BDNF synthesis and release: implications in CNS function.
新生大鼠视网膜神经节细胞对TrkB信号传导减少的年龄相关反应以及……(原文此处不完整)
Front Cell Dev Biol. 2021 Jun 4;9:671087. doi: 10.3389/fcell.2021.671087. eCollection 2021.
4
Wiring subcortical image-forming centers: Topography, laminar targeting, and map alignment.皮层下成像中枢的布线:地形、层定位和图谱配准。
Curr Top Dev Biol. 2021;142:283-317. doi: 10.1016/bs.ctdb.2020.10.004. Epub 2020 Nov 16.
5
p75NTR/proBDNF Modulates Basal Cell Carcinoma (BCC) Immune Microenvironment via Necroptosis Signaling Pathway.p75NTR/proBDNF 通过坏死信号通路调节基底细胞癌(BCC)免疫微环境。
J Immunol Res. 2021 Feb 1;2021:6652846. doi: 10.1155/2021/6652846. eCollection 2021.
6
FIGNL1 associates with KIF1Bβ and BICD1 to restrict dynein transport velocity during axon navigation.FIGNL1 与 KIF1Bβ 和 BICD1 结合,限制轴突导航过程中 dynein 的运输速度。
J Cell Biol. 2019 Oct 7;218(10):3290-3306. doi: 10.1083/jcb.201805128. Epub 2019 Sep 19.
7
Upregulation of proBDNF in the Mesenteric Lymph Nodes in Septic Mice.肠淋巴结中促脑源性神经营养因子的上调。
Neurotox Res. 2019 Oct;36(3):540-550. doi: 10.1007/s12640-019-00081-3. Epub 2019 Jul 5.
8
Guidance Molecules in Vascular Smooth Muscle.血管平滑肌中的导向分子
Front Physiol. 2018 Sep 19;9:1311. doi: 10.3389/fphys.2018.01311. eCollection 2018.
9
From Neural Crest Development to Cancer and Vice Versa: How p75 and (Pro)neurotrophins Could Act on Cell Migration and Invasion?从神经嵴发育到癌症,反之亦然:p75 和(原)神经营养因子如何作用于细胞迁移和侵袭?
Front Mol Neurosci. 2018 Aug 23;11:244. doi: 10.3389/fnmol.2018.00244. eCollection 2018.
10
Binding of EphrinA5 to RET receptor tyrosine kinase: An in vitro study.EphrinA5 与 RET 受体酪氨酸激酶的结合:一项体外研究。
PLoS One. 2018 Jun 11;13(6):e0198291. doi: 10.1371/journal.pone.0198291. eCollection 2018.
脑源性神经营养因子合成与释放生物学的新见解:对中枢神经系统功能的影响
J Neurosci. 2009 Oct 14;29(41):12764-7. doi: 10.1523/JNEUROSCI.3566-09.2009.
4
Making a visual map: mechanisms and molecules.制作视觉图谱:机制与分子
Curr Opin Neurobiol. 2009 Apr;19(2):174-80. doi: 10.1016/j.conb.2009.04.011. Epub 2009 May 27.
5
Control of extracellular cleavage of ProBDNF by high frequency neuronal activity.通过高频神经元活动控制脑源性神经营因子原(ProBDNF)的细胞外裂解
Proc Natl Acad Sci U S A. 2009 Jan 27;106(4):1267-72. doi: 10.1073/pnas.0807322106. Epub 2009 Jan 15.
6
Neuronal release of proBDNF.脑源性神经营因子前体的神经元释放。
Nat Neurosci. 2009 Feb;12(2):113-5. doi: 10.1038/nn.2244. Epub 2009 Jan 11.
7
A TrkB/EphrinA interaction controls retinal axon branching and synaptogenesis.TrkB与EphrinA的相互作用控制视网膜轴突分支和突触形成。
J Neurosci. 2008 Nov 26;28(48):12700-12. doi: 10.1523/JNEUROSCI.1915-08.2008.
8
Uptake and recycling of pro-BDNF for transmitter-induced secretion by cortical astrocytes.原脑源性神经营养因子由皮质星形胶质细胞摄取并循环用于递质诱导的分泌。
J Cell Biol. 2008 Oct 20;183(2):213-21. doi: 10.1083/jcb.200806137. Epub 2008 Oct 13.
9
Proteolysis of proBDNF is a key regulator in the formation of memory.前脑源性神经营养因子的蛋白水解是记忆形成中的关键调节因子。
PLoS One. 2008 Sep 24;3(9):e3248. doi: 10.1371/journal.pone.0003248.
10
p75(NTR) mediates ephrin-A reverse signaling required for axon repulsion and mapping.p75神经营养因子受体介导轴突排斥和定位所需的 Ephrin-A 逆向信号传导。
Neuron. 2008 Sep 11;59(5):746-58. doi: 10.1016/j.neuron.2008.07.032.