• 文献检索
  • 文档翻译
  • 深度研究
  • 学术资讯
  • Suppr Zotero 插件Zotero 插件
  • 邀请有礼
  • 套餐&价格
  • 历史记录
应用&插件
Suppr Zotero 插件Zotero 插件浏览器插件Mac 客户端Windows 客户端微信小程序
定价
高级版会员购买积分包购买API积分包
服务
文献检索文档翻译深度研究API 文档MCP 服务
关于我们
关于 Suppr公司介绍联系我们用户协议隐私条款
关注我们

Suppr 超能文献

核心技术专利:CN118964589B侵权必究
粤ICP备2023148730 号-1Suppr @ 2026

文献检索

告别复杂PubMed语法,用中文像聊天一样搜索,搜遍4000万医学文献。AI智能推荐,让科研检索更轻松。

立即免费搜索

文件翻译

保留排版,准确专业,支持PDF/Word/PPT等文件格式,支持 12+语言互译。

免费翻译文档

深度研究

AI帮你快速写综述,25分钟生成高质量综述,智能提取关键信息,辅助科研写作。

立即免费体验

在分子流行病学中使用途径信息。

Use of pathway information in molecular epidemiology.

机构信息

Department of Preventive Medicine, University of Southern California, 1540 Alcazar St., CHP-220, Los Angeles, CA 90089-9011, USA.

出版信息

Hum Genomics. 2009 Oct;4(1):21-42. doi: 10.1186/1479-7364-4-1-21.

DOI:10.1186/1479-7364-4-1-21
PMID:21072972
原文链接:https://pmc.ncbi.nlm.nih.gov/articles/PMC2999471/
Abstract

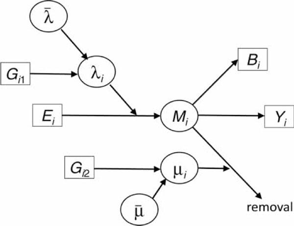
Candidate gene studies are generally motivated by some form of pathway reasoning in the selection of genes to be studied, but seldom has the logic of the approach been carried through to the analysis. Marginal effects of polymorphisms in the selected genes, and occasionally pairwise gene–gene or gene–environment interactions,are often presented, but a unified approach to modelling the entire pathway has been lacking. In this review, a variety of approaches to this problem is considered, focusing on hypothesis-driven rather than purely exploratory methods. Empirical modelling strategies are based on hierarchical models that allow prior knowledge about the structure of the pathway and the various reactions to be included as ‘prior covariates’. By contrast, mechanistic models aim to describe the reactions through a system of differential equations with rate parameters that can vary between individuals, based on their genotypes. Some ways of combining the two approaches are suggested and Bayesian model averaging methods for dealing with uncertainty about the true model form in either framework is discussed. Biomarker measurements can be incorporated into such analyses, and two-phase sampling designs stratified on some combination of disease, genes and exposures can be an efficient way of obtaining data that would be too expensive or difficult to obtain on a full candidate gene sample. The review concludes with some thoughts about potential uses of pathways in genome-wide association studies.

摘要

候选基因研究通常是基于某种途径推理选择要研究的基因,但这种方法的逻辑很少被应用于分析。通常会呈现所选基因中多态性的边际效应,偶尔还会呈现基因-基因或基因-环境相互作用的成对效应,但缺乏一种统一的方法来对整个途径进行建模。在这篇综述中,考虑了多种解决此问题的方法,重点是基于假设的方法,而不是纯粹的探索性方法。经验建模策略基于分层模型,允许将途径结构和各种反应的先验知识作为“先验协变量”包含在内。相比之下,机制模型旨在通过一个带有个体间可变化的速率参数的微分方程系统来描述反应,其取决于个体的基因型。本文还提出了一些结合这两种方法的方法,并讨论了在这两种框架中处理真实模型形式不确定性的贝叶斯模型平均方法。生物标志物测量可以纳入此类分析中,并且基于疾病、基因和暴露的某种组合进行分层的两阶段抽样设计可以是一种高效的方法,可以获得在全候选基因样本中过于昂贵或难以获得的数据。本文以关于途径在全基因组关联研究中的潜在用途的一些想法作为结论。

https://cdn.ncbi.nlm.nih.gov/pmc/blobs/2167/3500186/5d7589c628af/1479-7364-4-1-21-4.jpg
https://cdn.ncbi.nlm.nih.gov/pmc/blobs/2167/3500186/183d8326dfe8/1479-7364-4-1-21-1.jpg
https://cdn.ncbi.nlm.nih.gov/pmc/blobs/2167/3500186/0ccbe55360ff/1479-7364-4-1-21-2.jpg
https://cdn.ncbi.nlm.nih.gov/pmc/blobs/2167/3500186/9fb66a7c4a63/1479-7364-4-1-21-3.jpg
https://cdn.ncbi.nlm.nih.gov/pmc/blobs/2167/3500186/5d7589c628af/1479-7364-4-1-21-4.jpg
https://cdn.ncbi.nlm.nih.gov/pmc/blobs/2167/3500186/183d8326dfe8/1479-7364-4-1-21-1.jpg
https://cdn.ncbi.nlm.nih.gov/pmc/blobs/2167/3500186/0ccbe55360ff/1479-7364-4-1-21-2.jpg
https://cdn.ncbi.nlm.nih.gov/pmc/blobs/2167/3500186/9fb66a7c4a63/1479-7364-4-1-21-3.jpg
https://cdn.ncbi.nlm.nih.gov/pmc/blobs/2167/3500186/5d7589c628af/1479-7364-4-1-21-4.jpg

相似文献

1
Use of pathway information in molecular epidemiology.在分子流行病学中使用途径信息。
Hum Genomics. 2009 Oct;4(1):21-42. doi: 10.1186/1479-7364-4-1-21.
2
Folic acid supplementation and malaria susceptibility and severity among people taking antifolate antimalarial drugs in endemic areas.在流行地区,服用抗叶酸抗疟药物的人群中,叶酸补充剂与疟疾易感性和严重程度的关系。
Cochrane Database Syst Rev. 2022 Feb 1;2(2022):CD014217. doi: 10.1002/14651858.CD014217.
3
Bayesian mixture modeling of gene-environment and gene-gene interactions.贝叶斯混合模型基因-环境和基因-基因相互作用。
Genet Epidemiol. 2010 Jan;34(1):16-25. doi: 10.1002/gepi.20429.
4
Genome-wide association studies for discrete traits.全基因组关联研究离散性状。
Genet Epidemiol. 2009;33 Suppl 1(Suppl 1):S8-12. doi: 10.1002/gepi.20465.
5
Selection of influential genetic markers among a large number of candidates based on effect estimation rather than hypothesis testing: an approach for genome-wide association studies.基于效应估计而非假设检验从大量候选基因中选择有影响力的遗传标记:一种全基因组关联研究方法
Epidemiology. 2008 Mar;19(2):302-8. doi: 10.1097/EDE.0b013e3181632c3d.
6
Tetra primer ARMS-PCR relates folate/homocysteine pathway genes and ACE gene polymorphism with coronary artery disease.四引物扩增受阻突变体系聚合酶链反应与叶酸/同型半胱氨酸通路基因和 ACE 基因多态性与冠心病的关系。
Mol Cell Biochem. 2011 Sep;355(1-2):289-97. doi: 10.1007/s11010-011-0866-6. Epub 2011 May 13.
7
Using Bayes model averaging to leverage both gene main effects and G ×  E interactions to identify genomic regions in genome-wide association studies.在全基因组关联研究中,使用贝叶斯模型平均法来利用基因主效应和基因×环境相互作用以识别基因组区域。
Genet Epidemiol. 2019 Mar;43(2):150-165. doi: 10.1002/gepi.22171. Epub 2018 Nov 19.
8
Reprioritizing genetic associations in hit regions using LASSO-based resample model averaging.基于 LASSO 重抽样模型平均的命中区域中遗传关联的优先级调整。
Genet Epidemiol. 2012 Jul;36(5):451-62. doi: 10.1002/gepi.21639. Epub 2012 Apr 30.
9
Gene, pathway and network frameworks to identify epistatic interactions of single nucleotide polymorphisms derived from GWAS data.用于识别源自全基因组关联研究(GWAS)数据的单核苷酸多态性上位性相互作用的基因、通路和网络框架。
BMC Syst Biol. 2012;6 Suppl 3(Suppl 3):S15. doi: 10.1186/1752-0509-6-S3-S15. Epub 2012 Dec 17.
10
Detecting purely epistatic multi-locus interactions by an omnibus permutation test on ensembles of two-locus analyses.通过对两基因座分析集合进行整体置换检验来检测纯上位多基因座相互作用。
BMC Bioinformatics. 2009 Sep 17;10:294. doi: 10.1186/1471-2105-10-294.

引用本文的文献

1
Bayesian matrix completion for hypothesis testing.用于假设检验的贝叶斯矩阵填充
J R Stat Soc Ser C Appl Stat. 2023 Mar 15;72(2):254-270. doi: 10.1093/jrsssc/qlac005. eCollection 2023 May.
2
Generalized infinite factorization models.广义无限分解模型。
Biometrika. 2022 Sep;109(3):817-835. doi: 10.1093/biomet/asab056. Epub 2022 Jan 19.
3
A Hierarchical Approach Using Marginal Summary Statistics for Multiple Intermediates in a Mendelian Randomization or Transcriptome Analysis.基于边缘汇总统计量的分层方法在孟德尔随机化或转录组分析中用于多个中介。

本文引用的文献

1
A systems biology network model for genetic association studies of nicotine addiction and treatment.一种用于尼古丁成瘾与治疗基因关联研究的系统生物学网络模型。
Pharmacogenet Genomics. 2009 Jul;19(7):538-51. doi: 10.1097/FPC.0b013e32832e2ced.
2
Strategies and issues in the detection of pathway enrichment in genome-wide association studies.全基因组关联研究中通路富集检测的策略与问题
Hum Genet. 2009 Aug;126(2):289-301. doi: 10.1007/s00439-009-0676-z. Epub 2009 May 1.
3
Pathway and network-based analysis of genome-wide association studies in multiple sclerosis.
Am J Epidemiol. 2021 Jun 1;190(6):1148-1158. doi: 10.1093/aje/kwaa287.
4
Association of Fish Consumption and Mercury Exposure During Pregnancy With Metabolic Health and Inflammatory Biomarkers in Children.孕期鱼类摄入和汞暴露与儿童代谢健康和炎症生物标志物的关联。
JAMA Netw Open. 2020 Mar 2;3(3):e201007. doi: 10.1001/jamanetworkopen.2020.1007.
5
A Novel Unsupervised Algorithm for Biological Process-based Analysis on Cancer.一种用于癌症的基于生物学过程的无监督分析的新算法。
Sci Rep. 2017 Jul 5;7(1):4671. doi: 10.1038/s41598-017-04961-6.
6
Untangling the role of one-carbon metabolism in colorectal cancer risk: a comprehensive Bayesian network analysis.解析一碳代谢在结直肠癌风险中的作用:全面的贝叶斯网络分析。
Sci Rep. 2017 Feb 24;7:43434. doi: 10.1038/srep43434.
7
Using mathematical models to understand metabolism, genes, and disease.运用数学模型来理解新陈代谢、基因与疾病。
BMC Biol. 2015 Sep 23;13:79. doi: 10.1186/s12915-015-0189-2.
8
A Candidate-Pathway Approach to Identify Gene-Environment Interactions: Analyses of Colon Cancer Risk and Survival.候选途径法识别基因-环境交互作用:结肠癌风险和生存分析。
J Natl Cancer Inst. 2015 Jun 13;107(9). doi: 10.1093/jnci/djv160. Print 2015 Sep.
9
Two-phase and family-based designs for next-generation sequencing studies.用于下一代测序研究的两阶段和基于家系的设计。
Front Genet. 2013 Dec 13;4:276. doi: 10.3389/fgene.2013.00276.
10
Multiple comparisons in genetic association studies: a hierarchical modeling approach.基因关联研究中的多重比较:一种分层建模方法。
Stat Appl Genet Mol Biol. 2014 Feb;13(1):35-48. doi: 10.1515/sagmb-2012-0040.
多发性硬化症全基因组关联研究的通路和基于网络的分析
Hum Mol Genet. 2009 Jun 1;18(11):2078-90. doi: 10.1093/hmg/ddp120. Epub 2009 Mar 13.
4
Genome-wide association study of smoking initiation and current smoking.吸烟起始与当前吸烟行为的全基因组关联研究
Am J Hum Genet. 2009 Mar;84(3):367-79. doi: 10.1016/j.ajhg.2009.02.001. Epub 2009 Mar 5.
5
Interrogating type 2 diabetes genome-wide association data using a biological pathway-based approach.使用基于生物通路的方法对2型糖尿病全基因组关联数据进行探究。
Diabetes. 2009 Jun;58(6):1463-7. doi: 10.2337/db08-1378. Epub 2009 Feb 27.
6
The search for genetic polymorphisms in the homocysteine/folate pathway that contribute to the etiology of human neural tube defects.寻找同型半胱氨酸/叶酸代谢途径中导致人类神经管缺陷病因的基因多态性。
Birth Defects Res A Clin Mol Teratol. 2009 Apr;85(4):285-94. doi: 10.1002/bdra.20566.
7
Using genome-wide pathway analysis to unravel the etiology of complex diseases.利用全基因组通路分析揭示复杂疾病的病因。
Genet Epidemiol. 2009 Jul;33(5):419-31. doi: 10.1002/gepi.20395.
8
Biofilter: a knowledge-integration system for the multi-locus analysis of genome-wide association studies.生物过滤器:一种用于全基因组关联研究多位点分析的知识整合系统。
Pac Symp Biocomput. 2009:368-79.
9
Approaches to complex pathways in molecular epidemiology: summary of a special conference of the American Association for Cancer Research.分子流行病学中复杂途径的研究方法:美国癌症研究协会特别会议综述
Cancer Res. 2008 Dec 15;68(24):10028-30. doi: 10.1158/0008-5472.CAN-08-1690.
10
GSEA-SNP: applying gene set enrichment analysis to SNP data from genome-wide association studies.GSEA-SNP:将基因集富集分析应用于全基因组关联研究的SNP数据。
Bioinformatics. 2008 Dec 1;24(23):2784-5. doi: 10.1093/bioinformatics/btn516. Epub 2008 Oct 14.