Suppr超能文献

Rnnotator:一种从 RNA-Seq 测序reads 中自动进行从头转录组组装的流水线。

Rnnotator: an automated de novo transcriptome assembly pipeline from stranded RNA-Seq reads.

机构信息

Genomics Division, Lawrence Berkeley National Laboratory, Berkeley, California, USA.

出版信息

BMC Genomics. 2010 Nov 24;11:663. doi: 10.1186/1471-2164-11-663.

Abstract

BACKGROUND

Comprehensive annotation and quantification of transcriptomes are outstanding problems in functional genomics. While high throughput mRNA sequencing (RNA-Seq) has emerged as a powerful tool for addressing these problems, its success is dependent upon the availability and quality of reference genome sequences, thus limiting the organisms to which it can be applied.

RESULTS

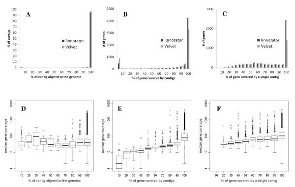
Here, we describe Rnnotator, an automated software pipeline that generates transcript models by de novo assembly of RNA-Seq data without the need for a reference genome. We have applied the Rnnotator assembly pipeline to two yeast transcriptomes and compared the results to the reference gene catalogs of these organisms. The contigs produced by Rnnotator are highly accurate (95%) and reconstruct full-length genes for the majority of the existing gene models (54.3%). Furthermore, our analyses revealed many novel transcribed regions that are absent from well annotated genomes, suggesting Rnnotator serves as a complementary approach to analysis based on a reference genome for comprehensive transcriptomics.

CONCLUSIONS

These results demonstrate that the Rnnotator pipeline is able to reconstruct full-length transcripts in the absence of a complete reference genome.

摘要

背景

综合注释和定量转录组学是功能基因组学中的突出问题。虽然高通量 mRNA 测序(RNA-Seq)已成为解决这些问题的有力工具,但它的成功取决于参考基因组序列的可用性和质量,因此限制了它的应用范围。

结果

在这里,我们描述了 Rnnotator,这是一种自动化软件管道,可通过从头组装 RNA-Seq 数据生成转录本模型,而无需参考基因组。我们已经将 Rnnotator 组装管道应用于两个酵母转录组,并将结果与这些生物体的参考基因目录进行了比较。Rnnotator 生成的连续序列非常准确(95%),并且为大多数现有基因模型(54.3%)重建全长基因。此外,我们的分析还揭示了许多来自注释良好基因组的缺失的新型转录区域,这表明 Rnnotator 是基于参考基因组进行综合转录组学分析的补充方法。

结论

这些结果表明,在缺乏完整参考基因组的情况下,Rnnotator 管道能够重建全长转录本。

https://cdn.ncbi.nlm.nih.gov/pmc/blobs/01fe/3152782/281f92e29c02/1471-2164-11-663-1.jpg

文献AI研究员

20分钟写一篇综述,助力文献阅读效率提升50倍。

立即体验

用中文搜PubMed

大模型驱动的PubMed中文搜索引擎

马上搜索

文档翻译

学术文献翻译模型,支持多种主流文档格式。

立即体验