• 文献检索
  • 文档翻译
  • 深度研究
  • 学术资讯
  • Suppr Zotero 插件Zotero 插件
  • 邀请有礼
  • 套餐&价格
  • 历史记录
应用&插件
Suppr Zotero 插件Zotero 插件浏览器插件Mac 客户端Windows 客户端微信小程序
定价
高级版会员购买积分包购买API积分包
服务
文献检索文档翻译深度研究API 文档MCP 服务
关于我们
关于 Suppr公司介绍联系我们用户协议隐私条款
关注我们

Suppr 超能文献

核心技术专利:CN118964589B侵权必究
粤ICP备2023148730 号-1Suppr @ 2026

文献检索

告别复杂PubMed语法,用中文像聊天一样搜索,搜遍4000万医学文献。AI智能推荐,让科研检索更轻松。

立即免费搜索

文件翻译

保留排版,准确专业,支持PDF/Word/PPT等文件格式,支持 12+语言互译。

免费翻译文档

深度研究

AI帮你快速写综述,25分钟生成高质量综述,智能提取关键信息,辅助科研写作。

立即免费体验

使用(C57BL/6J×TALLYHO/JngJ)F2 小鼠进行高脂血症、肥胖和糖尿病的遗传和基因组分析。

Genetic and genomic analysis of hyperlipidemia, obesity and diabetes using (C57BL/6J × TALLYHO/JngJ) F2 mice.

机构信息

Department of Pharmacology, Physiology and Toxicology, Joan C, Edwards School of Medicine, Marshall University, Huntington, WV 25755, USA.

出版信息

BMC Genomics. 2010 Dec 19;11:713. doi: 10.1186/1471-2164-11-713.

DOI:10.1186/1471-2164-11-713
PMID:21167066
原文链接:https://pmc.ncbi.nlm.nih.gov/articles/PMC3022919/
Abstract

BACKGROUND

Type 2 diabetes (T2D) is the most common form of diabetes in humans and is closely associated with dyslipidemia and obesity that magnifies the mortality and morbidity related to T2D. The genetic contribution to human T2D and related metabolic disorders is evident, and mostly follows polygenic inheritance. The TALLYHO/JngJ (TH) mice are a polygenic model for T2D characterized by obesity, hyperinsulinemia, impaired glucose uptake and tolerance, hyperlipidemia, and hyperglycemia.

RESULTS

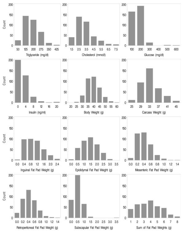
In order to determine the genetic factors that contribute to these T2D related characteristics in TH mice, we interbred TH mice with C57BL/6J (B6) mice. The parental, F1, and F2 mice were phenotyped at 8, 12, 16, 20, and 24 weeks of age for 4-hour fasting plasma triglyceride, cholesterol, insulin, and glucose levels and body, fat pad and carcass weights. The F2 mice were genotyped genome-wide and used for quantitative trait locus (QTL) mapping. We also applied a genetical genomic approach using a subset of the F2 mice to seek candidate genes underlying the QTLs. Major QTLs were detected on chromosomes (Chrs) 1, 11, 4, and 8 for hypertriglyceridemia, 1 and 3 for hypercholesterolemia, 4 for hyperglycemia, 11 and 1 for body weight, 1 for fat pad weight, and 11 and 14 for carcass weight. Most alleles, except for Chr 3 and 14 QTLs, increased phenotypic values when contributed by the TH strain. Fourteen pairs of interacting loci were detected, none of which overlapped the major QTLs. The QTL interval linked to hypercholesterolemia and hypertriglyceridemia on distal Chr 1 contains Apoa2 gene. Sequencing analysis revealed polymorphisms of Apoa2 in TH mice, suggesting Apoa2 as the candidate gene for the hyperlipidemia QTL. Gene expression analysis added novel information and aided in selection of candidates underlying the QTLs.

CONCLUSIONS

We identified several genetic loci that affect the quantitative variations of plasma lipid and glucose levels and obesity traits in a TH × B6 intercross. Polymorphisms in Apoa2 gene are suggested to be responsible for the Chr 1 QTL linked to hypercholesterolemia and hypertriglyceridemia. Further, genetical genomic analysis led to potential candidate genes for the QTLs.

摘要

背景

2 型糖尿病(T2D)是人类中最常见的糖尿病形式,与血脂异常和肥胖密切相关,这加剧了与 T2D 相关的死亡率和发病率。人类 T2D 及相关代谢紊乱的遗传贡献是明显的,并且主要遵循多基因遗传。TALLYHO/JngJ(TH)小鼠是一种多基因 T2D 模型,其特征为肥胖、高胰岛素血症、葡萄糖摄取和耐量受损、血脂异常和高血糖。

结果

为了确定导致 TH 小鼠出现这些 T2D 相关特征的遗传因素,我们将 TH 小鼠与 C57BL/6J(B6)小鼠进行杂交。在 8、12、16、20 和 24 周龄时,对亲代、F1 和 F2 小鼠进行 4 小时禁食血浆甘油三酯、胆固醇、胰岛素和葡萄糖水平以及体重、脂肪垫和胴体重量的表型分析。对 F2 小鼠进行全基因组基因型分析,并用于数量性状基因座(QTL)作图。我们还使用 F2 小鼠的一个亚群应用遗传基因组学方法,寻找 QTL 下的候选基因。在高甘油三酯血症方面,主要 QTL 位于第 1、11、4 和 8 号染色体上,在高胆固醇血症方面,主要 QTL 位于第 1 和 3 号染色体上,在高血糖症方面,主要 QTL 位于第 4 号染色体上,在体重方面,主要 QTL 位于第 11 和 1 号染色体上,在脂肪垫重量方面,主要 QTL 位于第 1 号染色体上,在胴体重量方面,主要 QTL 位于第 11 和 14 号染色体上。除了第 3 和 14 号染色体 QTL 外,TH 株的大多数等位基因都增加了表型值。检测到 14 对相互作用的基因座,没有一个与主要 QTL 重叠。位于远端第 1 号染色体上的与高胆固醇血症和高甘油三酯血症相关的 QTL 区间包含 Apoa2 基因。TH 小鼠的 Apoa2 基因序列分析显示存在多态性,提示 Apoa2 是该脂质 QTL 的候选基因。基因表达分析提供了新的信息,并有助于选择 QTL 下的候选基因。

结论

我们在 TH×B6 杂交中鉴定出几个影响血浆脂质和葡萄糖水平及肥胖特征的定量变化的遗传位点。Apoa2 基因的多态性被认为是与第 1 号染色体上与高胆固醇血症和高甘油三酯血症相关的 QTL 相关的候选基因。此外,遗传基因组学分析导致了 QTL 的潜在候选基因。

https://cdn.ncbi.nlm.nih.gov/pmc/blobs/fae1/3022919/5d5e8ee23c0d/1471-2164-11-713-5.jpg
https://cdn.ncbi.nlm.nih.gov/pmc/blobs/fae1/3022919/e4cb4d543be2/1471-2164-11-713-1.jpg
https://cdn.ncbi.nlm.nih.gov/pmc/blobs/fae1/3022919/092048b1c3c2/1471-2164-11-713-2.jpg
https://cdn.ncbi.nlm.nih.gov/pmc/blobs/fae1/3022919/b464652ddd56/1471-2164-11-713-3.jpg
https://cdn.ncbi.nlm.nih.gov/pmc/blobs/fae1/3022919/c12c6568f4be/1471-2164-11-713-4.jpg
https://cdn.ncbi.nlm.nih.gov/pmc/blobs/fae1/3022919/5d5e8ee23c0d/1471-2164-11-713-5.jpg
https://cdn.ncbi.nlm.nih.gov/pmc/blobs/fae1/3022919/e4cb4d543be2/1471-2164-11-713-1.jpg
https://cdn.ncbi.nlm.nih.gov/pmc/blobs/fae1/3022919/092048b1c3c2/1471-2164-11-713-2.jpg
https://cdn.ncbi.nlm.nih.gov/pmc/blobs/fae1/3022919/b464652ddd56/1471-2164-11-713-3.jpg
https://cdn.ncbi.nlm.nih.gov/pmc/blobs/fae1/3022919/c12c6568f4be/1471-2164-11-713-4.jpg
https://cdn.ncbi.nlm.nih.gov/pmc/blobs/fae1/3022919/5d5e8ee23c0d/1471-2164-11-713-5.jpg

相似文献

1
Genetic and genomic analysis of hyperlipidemia, obesity and diabetes using (C57BL/6J × TALLYHO/JngJ) F2 mice.使用(C57BL/6J×TALLYHO/JngJ)F2 小鼠进行高脂血症、肥胖和糖尿病的遗传和基因组分析。
BMC Genomics. 2010 Dec 19;11:713. doi: 10.1186/1471-2164-11-713.
2
Congenic mice demonstrate the presence of QTLs conferring obesity and hypercholesterolemia on chromosome 1 in the TALLYHO mouse.同源近交系小鼠表明在TALLYHO小鼠的1号染色体上存在导致肥胖和高胆固醇血症的数量性状基因座。
Mamm Genome. 2017 Dec;28(11-12):487-497. doi: 10.1007/s00335-017-9719-2. Epub 2017 Oct 5.
3
Quantitative trait locus analysis of plasma cholesterol levels and body weight by controlling the effects of the Apoa2 allele in mice.通过控制小鼠中Apoa2等位基因的效应进行血浆胆固醇水平和体重的数量性状基因座分析。
J Vet Med Sci. 2007 Apr;69(4):385-92. doi: 10.1292/jvms.69.385.
4
The TALLYHO mouse as a model of human type 2 diabetes.塔利霍小鼠作为人类2型糖尿病的模型。
Methods Mol Biol. 2012;933:75-87. doi: 10.1007/978-1-62703-068-7_6.
5
Genome-wide scan identifies novel QTLs for cholesterol and LDL levels in F2[Dahl RxS]-intercross rats.全基因组扫描在F2[达尔R×S]杂交大鼠中鉴定出影响胆固醇和低密度脂蛋白水平的新数量性状基因座。
Circ Res. 2004 Mar 5;94(4):446-52. doi: 10.1161/01.RES.0000117770.03168.E7. Epub 2004 Jan 22.
6
Quantitative trait locus analysis of plasma cholesterol and triglyceride levels in C57BL/6J x RR F2 mice.C57BL/6J×RR F2小鼠血浆胆固醇和甘油三酯水平的数量性状基因座分析
Biochem Genet. 2004 Oct;42(9-10):347-63. doi: 10.1023/b:bigi.0000039809.40228.d3.
7
Phenotypic characterization of polygenic type 2 diabetes in TALLYHO/JngJ mice.TALLYHO/JngJ小鼠中多基因2型糖尿病的表型特征
J Endocrinol. 2006 Nov;191(2):437-46. doi: 10.1677/joe.1.06647.
8
Type 2 diabetes mouse model TallyHo carries an obesity gene on chromosome 6 that exaggerates dietary obesity.2型糖尿病小鼠模型TallyHo在6号染色体上携带一个肥胖基因,该基因会加剧饮食性肥胖。
Physiol Genomics. 2005 Jul 14;22(2):171-81. doi: 10.1152/physiolgenomics.00197.2004. Epub 2005 May 3.
9
Genetic loci affecting body weight and fatness in a C57BL/6J x PWK/PhJ mouse intercross.在C57BL/6J×PWK/PhJ小鼠杂交中影响体重和肥胖的基因位点。
Mamm Genome. 2007 Dec;18(12):839-51. doi: 10.1007/s00335-007-9069-6. Epub 2007 Nov 16.
10
Genetic analysis of a new mouse model for non-insulin-dependent diabetes.一种新型非胰岛素依赖型糖尿病小鼠模型的遗传分析
Genomics. 2001 Jun 15;74(3):273-86. doi: 10.1006/geno.2001.6569.

引用本文的文献

1
Tachol1 QTL on mouse chromosome 1 is responsible for hypercholesterolemia and diet-induced obesity.Tachol1 基因座位于小鼠 1 号染色体上,与高胆固醇血症及饮食诱导肥胖相关。
Mamm Genome. 2024 Sep;35(3):324-333. doi: 10.1007/s00335-024-10045-4. Epub 2024 Jun 5.
2
Diet, sex, and genetic predisposition to obesity and type 2 diabetes modulate motor and anxiety-related behaviors in mice, and alter cerebellar gene expression.饮食、性别以及肥胖症和 2 型糖尿病的遗传易感性会影响小鼠的运动和焦虑相关行为,并改变小脑的基因表达。
Behav Brain Res. 2023 May 8;445:114376. doi: 10.1016/j.bbr.2023.114376. Epub 2023 Mar 1.
3
DEPP Deficiency Contributes to Browning of White Adipose Tissue.

本文引用的文献

1
Degradation of IRS1 leads to impaired glucose uptake in adipose tissue of the type 2 diabetes mouse model TALLYHO/Jng.在2型糖尿病小鼠模型TALLYHO/Jng的脂肪组织中,胰岛素受体底物1(IRS1)的降解导致葡萄糖摄取受损。
J Endocrinol. 2009 Oct;203(1):65-74. doi: 10.1677/JOE-09-0026. Epub 2009 Jul 8.
2
Distinct genetic regulation of progression of diabetes and renal disease in the Goto-Kakizaki rat.Goto-Kakizaki 大鼠糖尿病和肾病进展的独特遗传调控。
Physiol Genomics. 2009 Sep 9;39(1):38-46. doi: 10.1152/physiolgenomics.90389.2008. Epub 2009 Jul 7.
3
Positional cloning of zinc finger domain transcription factor Zfp69, a candidate gene for obesity-associated diabetes contributed by mouse locus Nidd/SJL.
DEPP 缺乏导致白色脂肪组织的褐色化。
Int J Mol Sci. 2022 Jun 12;23(12):6563. doi: 10.3390/ijms23126563.
4
An automated multi-modal graph-based pipeline for mouse genetic discovery.基于自动化多模态图的小鼠遗传发现管道。
Bioinformatics. 2022 Jun 27;38(13):3385-3394. doi: 10.1093/bioinformatics/btac356.
5
MD2 deficiency prevents high-fat diet-induced AMPK suppression and lipid accumulation through regulating TBK1 in non-alcoholic fatty liver disease.MD2 缺乏通过调节非酒精性脂肪肝病中的 TBK1 来防止高脂肪饮食诱导的 AMPK 抑制和脂质积累。
Clin Transl Med. 2022 Mar;12(3):e777. doi: 10.1002/ctm2.777.
6
Prediction performance of linear models and gradient boosting machine on complex phenotypes in outbred mice.线性模型和梯度提升机在外交小鼠复杂表型上的预测性能。
G3 (Bethesda). 2022 Apr 4;12(4). doi: 10.1093/g3journal/jkac039.
7
Multi-Omic Approaches to Identify Genetic Factors in Metabolic Syndrome.用于识别代谢综合征遗传因素的多组学方法。
Compr Physiol. 2021 Dec 29;12(1):3045-3084. doi: 10.1002/cphy.c210010.
8
The genomics of rapid climatic adaptation and parallel evolution in North American house mice.北美家鼠快速气候适应和并行进化的基因组学。
PLoS Genet. 2021 Apr 29;17(4):e1009495. doi: 10.1371/journal.pgen.1009495. eCollection 2021 Apr.
9
Comparative and Functional Analyses of Two Sequenced Genomes Provides Insights Into Their Potential Genes Related to Plant Growth-Promoting Features and Biocontrol Mechanisms.对两个已测序基因组的比较和功能分析为了解其与促进植物生长特性和生物防治机制相关的潜在基因提供了见解。
Front Genet. 2020 Dec 17;11:564939. doi: 10.3389/fgene.2020.564939. eCollection 2020.
10
ABCA12 regulates insulin secretion from β-cells.ABCA12 调节β细胞胰岛素分泌。
EMBO Rep. 2020 Mar 4;21(3):e48692. doi: 10.15252/embr.201948692. Epub 2020 Feb 18.
锌指结构域转录因子Zfp69的定位克隆,它是由小鼠基因座Nidd/SJL导致的肥胖相关糖尿病的候选基因。
PLoS Genet. 2009 Jul;5(7):e1000541. doi: 10.1371/journal.pgen.1000541. Epub 2009 Jul 3.
4
Characterization of Nob3, a major quantitative trait locus for obesity and hyperglycemia on mouse chromosome 1.Nob3的特征分析,Nob3是小鼠1号染色体上肥胖和高血糖的一个主要数量性状位点。
Physiol Genomics. 2009 Jul 9;38(2):226-32. doi: 10.1152/physiolgenomics.00011.2009. Epub 2009 May 26.
5
Genetic dissection of type 2 diabetes.2型糖尿病的基因剖析
Mol Cell Endocrinol. 2009 Jan 15;297(1-2):10-7. doi: 10.1016/j.mce.2008.10.002. Epub 2008 Oct 19.
6
Recent advances in the genetics of diabetes.糖尿病遗传学的最新进展。
Prim Care Diabetes. 2008 Jun;2(2):67-72. doi: 10.1016/j.pcd.2007.12.005. Epub 2008 Feb 12.
7
CC chemokine and CC chemokine receptor profiles in visceral and subcutaneous adipose tissue are altered in human obesity.在人类肥胖症中,内脏和皮下脂肪组织中的CC趋化因子和CC趋化因子受体谱会发生改变。
J Clin Endocrinol Metab. 2008 Aug;93(8):3215-21. doi: 10.1210/jc.2007-2630. Epub 2008 May 20.
8
A meta-analysis of QTL for diabetes-related traits in rodents.啮齿动物糖尿病相关性状数量性状基因座的荟萃分析。
Physiol Genomics. 2008 Jun 12;34(1):42-53. doi: 10.1152/physiolgenomics.00267.2007. Epub 2008 Apr 8.
9
On the replication of genetic associations: timing can be everything!关于基因关联的复制:时机至关重要!
Am J Hum Genet. 2008 Apr;82(4):849-58. doi: 10.1016/j.ajhg.2008.01.018.
10
Genetic and environmental interactions in obesity and type 2 diabetes.肥胖与2型糖尿病中的基因与环境相互作用
J Am Diet Assoc. 2008 Apr;108(4 Suppl 1):S24-8. doi: 10.1016/j.jada.2008.01.022.