Suppr超能文献

N'-(2-溴-亚苄基)-3,4,5-三甲氧基苯甲酰肼甲醇溶剂合物

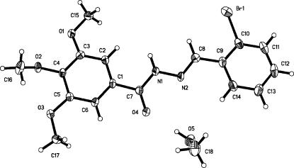
N'-(2-Bromo-benzyl-idene)-3,4,5-tri-methoxy-benzohydrazide methanol solvate.

作者信息

Zhu Yong-Chuang, He Dao-Hang

机构信息

School of Chemistry and Chemical Engineering, South China University of Technology, Guangzhou 510640, People's Republic of China.

出版信息

Acta Crystallogr Sect E Struct Rep Online. 2008 Jul 31;64(Pt 8):o1630. doi: 10.1107/S1600536808021764.

Abstract

The title compound, C(17)H(17)BrN(2)O(4)·CH(4)O, was synthesized by the condensation of 3,4,5-trimethoxy-benzohydrazide and 2-bromo-benzaldehyde. The two aromatic rings are approximately planar, the dihedral angle being 3.08 (9)°. The mol-ecules are linked by inter-molecular N-H⋯O and O-H⋯O hydrogen bonds into chains along the a axis.

摘要

标题化合物C(17)H(17)BrN(2)O(4)·CH(4)O是通过3,4,5-三甲氧基苯甲酰肼与2-溴苯甲醛缩合而成的。两个芳香环近似平面,二面角为3.08 (9)°。分子通过分子间的N-H⋯O和O-H⋯O氢键沿a轴连接成链。

https://cdn.ncbi.nlm.nih.gov/pmc/blobs/7ae6/2962239/3a1adbf04167/e-64-o1630-fig1.jpg

文献AI研究员

20分钟写一篇综述,助力文献阅读效率提升50倍。

立即体验

用中文搜PubMed

大模型驱动的PubMed中文搜索引擎

马上搜索

文档翻译

学术文献翻译模型,支持多种主流文档格式。

立即体验