Suppr超能文献

辐射和旁观者成纤维细胞中基因表达的时间序列聚类:FBPA 聚类的应用。

Time-series clustering of gene expression in irradiated and bystander fibroblasts: an application of FBPA clustering.

机构信息

Center for Radiological Research, Columbia University, New York, NY 10032, USA.

出版信息

BMC Genomics. 2011 Jan 4;12:2. doi: 10.1186/1471-2164-12-2.

Abstract

BACKGROUND

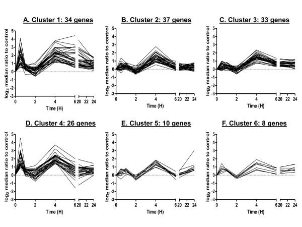
The radiation bystander effect is an important component of the overall biological response of tissues and organisms to ionizing radiation, but the signaling mechanisms between irradiated and non-irradiated bystander cells are not fully understood. In this study, we measured a time-series of gene expression after α-particle irradiation and applied the Feature Based Partitioning around medoids Algorithm (FBPA), a new clustering method suitable for sparse time series, to identify signaling modules that act in concert in the response to direct irradiation and bystander signaling. We compared our results with those of an alternate clustering method, Short Time series Expression Miner (STEM).

RESULTS

While computational evaluations of both clustering results were similar, FBPA provided more biological insight. After irradiation, gene clusters were enriched for signal transduction, cell cycle/cell death and inflammation/immunity processes; but only FBPA separated clusters by function. In bystanders, gene clusters were enriched for cell communication/motility, signal transduction and inflammation processes; but biological functions did not separate as clearly with either clustering method as they did in irradiated samples. Network analysis confirmed p53 and NF-κB transcription factor-regulated gene clusters in irradiated and bystander cells and suggested novel regulators, such as KDM5B/JARID1B (lysine (K)-specific demethylase 5B) and HDACs (histone deacetylases), which could epigenetically coordinate gene expression after irradiation.

CONCLUSIONS

In this study, we have shown that a new time series clustering method, FBPA, can provide new leads to the mechanisms regulating the dynamic cellular response to radiation. The findings implicate epigenetic control of gene expression in addition to transcription factor networks.

摘要

背景

辐射旁效应是组织和生物体对电离辐射整体生物反应的一个重要组成部分,但辐照和非辐照旁观者细胞之间的信号转导机制尚未完全了解。在这项研究中,我们测量了α粒子辐照后基因表达的时间序列,并应用了一种新的聚类方法——基于特征的中位数分区算法(FBPA),这是一种适用于稀疏时间序列的聚类方法,以识别在直接辐照和旁观者信号响应中协同作用的信号模块。我们将我们的结果与另一种聚类方法——短时间序列表达挖掘器(STEM)的结果进行了比较。

结果

虽然两种聚类结果的计算评估相似,但 FBPA 提供了更多的生物学见解。辐照后,基因簇富集了信号转导、细胞周期/细胞死亡和炎症/免疫过程;但只有 FBPA 按功能对簇进行了分离。在旁观者中,基因簇富集了细胞通讯/迁移、信号转导和炎症过程;但与辐照样本相比,无论是哪种聚类方法,生物学功能都没有像在辐照样本中那样清晰地区分开来。网络分析证实了 p53 和 NF-κB 转录因子调节的基因簇在辐照和旁观者细胞中,并提出了新的调节剂,如 KDM5B/JARID1B(赖氨酸(K)特异性去甲基酶 5B)和组蛋白脱乙酰酶(HDACs),它们可以在辐照后通过表观遗传调控基因表达。

结论

在这项研究中,我们表明,一种新的时间序列聚类方法 FBPA 可以为调节细胞对辐射的动态反应的机制提供新的线索。研究结果表明,除了转录因子网络外,还存在表观遗传控制基因表达的机制。

https://cdn.ncbi.nlm.nih.gov/pmc/blobs/0585/3022823/97caa379099f/1471-2164-12-2-1.jpg

文献AI研究员

20分钟写一篇综述,助力文献阅读效率提升50倍。

立即体验

用中文搜PubMed

大模型驱动的PubMed中文搜索引擎

马上搜索

文档翻译

学术文献翻译模型,支持多种主流文档格式。

立即体验