• 文献检索
  • 文档翻译
  • 深度研究
  • 学术资讯
  • Suppr Zotero 插件Zotero 插件
  • 邀请有礼
  • 套餐&价格
  • 历史记录
应用&插件
Suppr Zotero 插件Zotero 插件浏览器插件Mac 客户端Windows 客户端微信小程序
定价
高级版会员购买积分包购买API积分包
服务
文献检索文档翻译深度研究API 文档MCP 服务
关于我们
关于 Suppr公司介绍联系我们用户协议隐私条款
关注我们

Suppr 超能文献

核心技术专利:CN118964589B侵权必究
粤ICP备2023148730 号-1Suppr @ 2026

文献检索

告别复杂PubMed语法,用中文像聊天一样搜索,搜遍4000万医学文献。AI智能推荐,让科研检索更轻松。

立即免费搜索

文件翻译

保留排版,准确专业,支持PDF/Word/PPT等文件格式,支持 12+语言互译。

免费翻译文档

深度研究

AI帮你快速写综述,25分钟生成高质量综述,智能提取关键信息,辅助科研写作。

立即免费体验

顺铂聚合物胶束(NC-6004)治疗实体瘤的 I 期临床研究。

A Phase I clinical study of cisplatin-incorporated polymeric micelles (NC-6004) in patients with solid tumours.

机构信息

Northern Institute for Cancer Research, Paul O'Gorman Building, Framlington Place, Newcastle upon Tyne NE2 4AD, UK.

出版信息

Br J Cancer. 2011 Feb 15;104(4):593-8. doi: 10.1038/bjc.2011.6. Epub 2011 Feb 1.

DOI:10.1038/bjc.2011.6
PMID:21285987
原文链接:https://pmc.ncbi.nlm.nih.gov/articles/PMC3049602/
Abstract

BACKGROUND

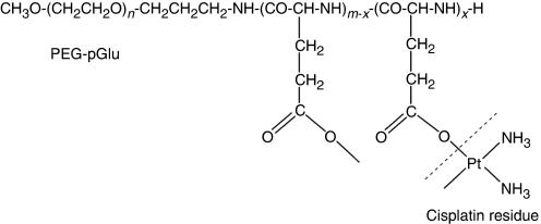
On the basis of preclinical studies of NC-6004, a cisplatin-incorporated micellar formulation, we hypothesised that NC-6004 could show lower toxicity than cisplatin and show greater anti-tumour activity in phase I study.

METHODS

A total of 17 patients were recruited in a range of advanced solid tumour types. NC-6004 was administered intravenously (i.v.) every 3 weeks. The dose escalation started at 10 mg m(-2) and was increased up to 120 mg m(-2) according to the accelerated titration method and modified Fibonacci method.

RESULTS

One dose-limiting toxicity (DLT) occurred in a patient who was given 90 mg m(-2) of NC-6004, otherwise any significant cisplatin-related toxicity was not observed or generally mild toxicity was observed. Despite the implementation of post-hydration and pre-medication regimen, renal impairment and hypersensitivity reactions still developed at 120 mg m(-2), which led to the conclusion that the maximum tolerated dose was 120 mg m(-2), and the recommended dose was 90 mg m(-2), although DLT was not defined as per protocol. Stable disease was observed in seven patients. The maximum concentration and area under the concentration-time curve of ultrafilterable platinum at 120 mg m(-2) NC-6004 were 34-fold smaller and 8.5-fold larger, respectively, than those for cisplatin.

CONCLUSION

The delayed and sustained release of cisplatin after i.v. administration contributes to the low toxicity of NC-6004.

摘要

背景

基于 NC-6004(一种载顺铂胶束制剂)的临床前研究,我们假设 NC-6004 可能比顺铂毒性更低,并在 I 期研究中表现出更强的抗肿瘤活性。

方法

共招募了 17 名患有多种晚期实体瘤的患者。NC-6004 以静脉滴注(i.v.)的方式给药,每 3 周一次。剂量递增起始于 10mg/m²,并根据加速滴定法和改良 Fibonacci 法增加至 120mg/m²。

结果

1 名患者在接受 90mg/m² 的 NC-6004 时出现 1 例剂量限制性毒性(DLT),否则未观察到任何显著的顺铂相关毒性,或观察到一般为轻度的毒性。尽管实施了补液和预处理方案,但在 120mg/m² 时仍会发生肾功能损害和过敏反应,这导致得出结论,最大耐受剂量为 120mg/m²,推荐剂量为 90mg/m²,尽管根据方案未定义 DLT。7 名患者观察到疾病稳定。120mg/m² NC-6004 时超滤液中顺铂的最大浓度和浓度-时间曲线下面积分别比顺铂小 34 倍和大 8.5 倍。

结论

静脉给药后顺铂的延迟和持续释放导致 NC-6004 的低毒性。

https://cdn.ncbi.nlm.nih.gov/pmc/blobs/2616/3049602/eecba4f67a8d/bjc20116f3.jpg
https://cdn.ncbi.nlm.nih.gov/pmc/blobs/2616/3049602/e343794a1ab1/bjc20116f1.jpg
https://cdn.ncbi.nlm.nih.gov/pmc/blobs/2616/3049602/252b99b258e5/bjc20116f2.jpg
https://cdn.ncbi.nlm.nih.gov/pmc/blobs/2616/3049602/eecba4f67a8d/bjc20116f3.jpg
https://cdn.ncbi.nlm.nih.gov/pmc/blobs/2616/3049602/e343794a1ab1/bjc20116f1.jpg
https://cdn.ncbi.nlm.nih.gov/pmc/blobs/2616/3049602/252b99b258e5/bjc20116f2.jpg
https://cdn.ncbi.nlm.nih.gov/pmc/blobs/2616/3049602/eecba4f67a8d/bjc20116f3.jpg

相似文献

1
A Phase I clinical study of cisplatin-incorporated polymeric micelles (NC-6004) in patients with solid tumours.顺铂聚合物胶束(NC-6004)治疗实体瘤的 I 期临床研究。
Br J Cancer. 2011 Feb 15;104(4):593-8. doi: 10.1038/bjc.2011.6. Epub 2011 Feb 1.
2
NC-6004 Phase I study in combination with gemcitabine for advanced solid tumors and population PK/PD analysis.NC-6004联合吉西他滨用于晚期实体瘤的I期研究及群体药代动力学/药效学分析。
Cancer Chemother Pharmacol. 2017 Mar;79(3):569-578. doi: 10.1007/s00280-017-3254-4. Epub 2017 Feb 21.
3
A phase I and pharmacokinetic study of irofulven and cisplatin administered in a 30-min infusion every two weeks to patients with advanced solid tumors.一项针对晚期实体瘤患者的Ⅰ期药代动力学研究,每两周对患者进行一次30分钟的伊罗氟文和顺铂静脉输注。
Invest New Drugs. 2006 Jul;24(4):311-9. doi: 10.1007/s10637-005-5055-6.
4
Docetaxel, ifosfamide and cisplatin in solid tumour treatment: a phase I study.多西他赛、异环磷酰胺和顺铂治疗实体瘤:I 期研究。
Anticancer Drugs. 2010 Mar;21(3):306-12. doi: 10.1097/CAD.0b013e3283349994.
5
Phase I trial of intravenous cisplatin-topotecan chemotherapy for three consecutive days in patients with advanced solid tumors: parallel topotecan escalation in two fixed platinum dosing schemes.晚期实体瘤患者连续三天静脉注射顺铂-拓扑替康化疗的I期试验:在两种固定铂剂量方案中并行递增拓扑替康剂量
Chemotherapy. 2005 May;51(2-3):154-61. doi: 10.1159/000085624. Epub 2005 May 9.
6
Phase I studies of CBP501, a G2 checkpoint abrogator, as monotherapy and in combination with cisplatin in patients with advanced solid tumors.CBP501(一种 G2 检验点抑制剂)单药及联合顺铂治疗晚期实体瘤的 I 期临床研究。
Clin Cancer Res. 2011 May 15;17(10):3431-42. doi: 10.1158/1078-0432.CCR-10-2345. Epub 2011 Jan 10.
7
A phase I and pharmacokinetic study of capecitabine in combination with epirubicin and cisplatin in patients with inoperable oesophago-gastric adenocarcinoma.卡培他滨联合表柔比星和顺铂治疗不可切除食管胃腺癌患者的I期药代动力学研究
Ann Oncol. 2002 Sep;13(9):1469-78. doi: 10.1093/annonc/mdf243.
8
A phase I study of 1,2-diamminomethyl-cyclobutane-platinum (II)-lactate (D-19466; lobaplatin) administered daily for 5 days.一项关于乳酸-1,2-二氨甲基环丁烷铂(II)(D-19466;洛铂)连续5天每日给药的I期研究。
Br J Cancer. 1993 Feb;67(2):396-401. doi: 10.1038/bjc.1993.73.
9
Phase I dose escalation and pharmacokinetic study on the nanoparticle formulation of polymeric micellar paclitaxel for injection in patients with advanced solid malignancies.注射用聚合物胶束紫杉醇纳米粒在晚期实体瘤患者中的 I 期剂量递增和药代动力学研究。
Invest New Drugs. 2018 Apr;36(2):269-277. doi: 10.1007/s10637-017-0506-4. Epub 2017 Sep 4.
10
First-in-man phase I study assessing the safety and pharmacokinetics of a 1-hour intravenous infusion of the doxorubicin prodrug DTS-201 every 3 weeks in patients with advanced or metastatic solid tumours.在晚期或转移性实体瘤患者中开展的一项首次人体I期研究,评估每3周静脉输注1小时阿霉素前药DTS-201的安全性和药代动力学。
Eur J Cancer. 2017 Nov;86:240-247. doi: 10.1016/j.ejca.2017.09.009. Epub 2017 Oct 19.

引用本文的文献

1
Advances in platinum-based cancer therapy: overcoming platinum resistance through rational combinatorial strategies.铂类癌症治疗的进展:通过合理的联合策略克服铂耐药性
Med Oncol. 2025 Jun 16;42(7):262. doi: 10.1007/s12032-025-02812-3.
2
Liposomal Formulation of an Organogold Complex Enhancing Its Activity as Antimelanoma Agent-In Vitro and In Vivo Studies.一种有机金配合物的脂质体制剂增强其作为抗黑色素瘤药物的活性——体外和体内研究
Pharmaceutics. 2024 Dec 6;16(12):1566. doi: 10.3390/pharmaceutics16121566.
3
Functionalized Polymeric Micelles for Targeted Cancer Therapy: Steps from Conceptualization to Clinical Trials.

本文引用的文献

1
Cisplatin-incorporating polymeric micelles (NC-6004) can reduce nephrotoxicity and neurotoxicity of cisplatin in rats.含顺铂的聚合物胶束(NC - 6004)可降低顺铂对大鼠的肾毒性和神经毒性。
Br J Cancer. 2005 Sep 19;93(6):678-87. doi: 10.1038/sj.bjc.6602772.
2
Novel cisplatin-incorporated polymeric micelles can eradicate solid tumors in mice.新型顺铂包载聚合物胶束可根除小鼠体内的实体瘤。
Cancer Res. 2003 Dec 15;63(24):8977-83.
3
Toxicity of platinum compounds.铂化合物的毒性。
用于靶向癌症治疗的功能化聚合物胶束:从概念化到临床试验的历程
Pharmaceutics. 2024 Aug 6;16(8):1047. doi: 10.3390/pharmaceutics16081047.
4
Polymer Conjugate as the New Promising Drug Delivery System for Combination Therapy against Cancer.聚合物偶联物作为联合治疗癌症的新型有前途的药物传递系统。
Curr Top Med Chem. 2024;24(13):1101-1119. doi: 10.2174/0115680266280603240321064308.
5
Platinum-Based Nanoformulations for Glioblastoma Treatment: The Resurgence of Platinum Drugs?用于胶质母细胞瘤治疗的铂基纳米制剂:铂类药物的复兴?
Nanomaterials (Basel). 2023 May 12;13(10):1619. doi: 10.3390/nano13101619.
6
Glucosamine-Modified Reduction-Responsive Polymeric Micelles for Liver Cancer Therapy.基于葡萄糖胺的还原响应性聚合物胶束用于肝癌治疗。
Molecules. 2023 Apr 30;28(9):3824. doi: 10.3390/molecules28093824.
7
Exploring the Application of Micellar Drug Delivery Systems in Cancer Nanomedicine.探索胶束药物递送系统在癌症纳米医学中的应用。
Pharmaceuticals (Basel). 2023 Mar 12;16(3):433. doi: 10.3390/ph16030433.
8
(Nano)platforms in bladder cancer therapy: Challenges and opportunities.膀胱癌治疗中的(纳米)平台:挑战与机遇
Bioeng Transl Med. 2022 Jun 17;8(1):e10353. doi: 10.1002/btm2.10353. eCollection 2023 Jan.
9
Cyclodextrin nanoparticles for diagnosis and potential cancer therapy: A systematic review.用于诊断和潜在癌症治疗的环糊精纳米颗粒:一项系统综述。
Front Cell Dev Biol. 2022 Sep 8;10:984311. doi: 10.3389/fcell.2022.984311. eCollection 2022.
10
Synthesis of doxorubicin-loaded peptosomes hybridized with gold nanorod for targeted drug delivery and CT imaging of metastatic breast cancer.载阿霉素的肽泡体与金纳米棒杂交用于转移性乳腺癌的靶向药物递送和 CT 成像。
J Nanobiotechnology. 2022 Aug 31;20(1):391. doi: 10.1186/s12951-022-01607-2.
Expert Opin Pharmacother. 2003 Jun;4(6):889-901. doi: 10.1517/14656566.4.6.889.
4
Retention of activity by the new generation platinum agent AMD0473 in four human tumour cell lines possessing acquired resistance to oxaliplatin.新一代铂类药物AMD0473在四种对奥沙利铂产生获得性耐药的人类肿瘤细胞系中的活性保留情况。
Eur J Cancer. 2002 Nov;38(17):2309-15. doi: 10.1016/s0959-8049(02)00244-7.
5
A comparison of two prophylactic regimens for hypersensitivity reactions to paclitaxel.两种预防紫杉醇过敏反应方案的比较
Gynecol Oncol. 2002 Mar;84(3):420-5. doi: 10.1006/gyno.2001.6546.
6
Cisplatin-loaded polymer-metal complex micelle with time-modulated decaying property as a novel drug delivery system.具有时间调制衰减特性的载顺铂聚合物-金属络合物胶束作为一种新型药物递送系统。
Pharm Res. 2001 Jul;18(7):1035-41. doi: 10.1023/a:1010908916184.
7
Preparation and characterization of size-controlled polymeric micelle containing cis-dichlorodiammineplatinum(II) in the core.核心含有顺二氯二氨铂(II)的尺寸可控聚合物胶束的制备与表征
J Control Release. 2001 Jul 6;74(1-3):83-94. doi: 10.1016/s0168-3659(01)00314-5.
8
Mechanisms of resistance to cisplatin.顺铂耐药机制。
Mutat Res. 2001 Jul 1;478(1-2):23-43. doi: 10.1016/s0027-5107(01)00141-5.
9
The enhanced permeability and retention (EPR) effect in tumor vasculature: the key role of tumor-selective macromolecular drug targeting.肿瘤血管中的高通透性和滞留(EPR)效应:肿瘤选择性大分子药物靶向的关键作用。
Adv Enzyme Regul. 2001;41:189-207. doi: 10.1016/s0065-2571(00)00013-3.
10
New developments and approaches in the platinum arena.铂领域的新进展与新方法。
Drugs. 2000;59 Suppl 4:29-36; discussion 37-8. doi: 10.2165/00003495-200059004-00004.