• 文献检索
  • 文档翻译
  • 深度研究
  • 学术资讯
  • Suppr Zotero 插件Zotero 插件
  • 邀请有礼
  • 套餐&价格
  • 历史记录
应用&插件
Suppr Zotero 插件Zotero 插件浏览器插件Mac 客户端Windows 客户端微信小程序
定价
高级版会员购买积分包购买API积分包
服务
文献检索文档翻译深度研究API 文档MCP 服务
关于我们
关于 Suppr公司介绍联系我们用户协议隐私条款
关注我们

Suppr 超能文献

核心技术专利:CN118964589B侵权必究
粤ICP备2023148730 号-1Suppr @ 2026

文献检索

告别复杂PubMed语法,用中文像聊天一样搜索,搜遍4000万医学文献。AI智能推荐,让科研检索更轻松。

立即免费搜索

文件翻译

保留排版,准确专业,支持PDF/Word/PPT等文件格式,支持 12+语言互译。

免费翻译文档

深度研究

AI帮你快速写综述,25分钟生成高质量综述,智能提取关键信息,辅助科研写作。

立即免费体验

两种腰鞭毛虫——Ochromonas sp. 和 Poterioochromonas malhamensis——之间的竞争结果取决于 pH 值。

The outcome of competition between the two chrysomonads Ochromonas sp. and Poterioochromonas malhamensis depends on pH.

机构信息

Institute for Limnology of the Austrian Academy of Sciences, Herzog Odilostraße.

出版信息

Eur J Protistol. 2011 May;47(2):79-85. doi: 10.1016/j.ejop.2011.01.001. Epub 2011 Feb 21.

DOI:10.1016/j.ejop.2011.01.001
PMID:21334865
原文链接:https://pmc.ncbi.nlm.nih.gov/articles/PMC3117142/
Abstract

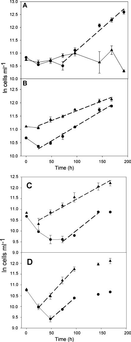
We investigated the effect of pH on the competition of two closely related chrysomonad species, Poterioochromonas malhamensis originating from circumneutral Lake Constance, and Ochromonas sp. isolated from a highly acidic mining lake in Austria (pH ∼2.6). We performed pairwise growth experiments between these two species at four different pH ranging from 2.5 to 7.0. Heterotrophic bacteria served as food for both flagellates. Results were compared to growth rates measured earlier in single species experiments over the same pH range. We tested the hypothesis that the acidotolerant species benefits from competitive release under conditions of acid stress. The neutrophilic strain numerically dominated over the acidotolerant strain at pH 7.0, but was the inferior competitor at pH 2.5. At pH 3.5 and 5.0 both strains coexisted. Surprisingly, P. malhamensis prevailed over Ochromonas sp. under moderately acidic conditions, i.e. at the pH where growth rates of the latter peaked when grown alone. Since bacterial food was not limiting, resource competition is improbable. It appears more likely that P. malhamensis ingested cells of its slightly smaller competitor. Adverse effects mediated via allelopathy, either directly on the competing flagellate or indirectly by affecting its bacterial food, might also have affected the outcome of competition.

摘要

我们研究了 pH 值对两种密切相关的金滴虫的竞争的影响,一种是源自中性湖泊康斯坦茨的 Poterioochromonas malhamensis,另一种是从奥地利高度酸性的采矿湖中分离出来的 Ochromonas sp.。我们在四个不同的 pH 值(2.5 到 7.0)下进行了这两种生物之间的成对生长实验。异养细菌作为两种鞭毛虫的食物。结果与在相同 pH 值范围内进行的单一物种实验中测量的生长速率进行了比较。我们检验了这样一个假设,即在酸性胁迫条件下,耐酸性物种通过竞争释放而受益。在 pH 值为 7.0 时,中性菌株在数量上超过了耐酸性菌株,但在 pH 值为 2.5 时,它是较差的竞争者。在 pH 值为 3.5 和 5.0 时,两种菌株共存。令人惊讶的是,P. malhamensis 在中度酸性条件下胜过 Ochromonas sp.,即在后者单独生长时生长速率达到峰值的 pH 值下。由于细菌食物不缺乏,资源竞争不太可能。更有可能的是,P. malhamensis 吞噬了其稍小的竞争对手的细胞。通过化感作用介导的不利影响,无论是直接对竞争的鞭毛虫,还是间接通过影响其细菌食物,也可能影响竞争的结果。

https://cdn.ncbi.nlm.nih.gov/pmc/blobs/31fc/3117142/bc526c9fadd2/gr2.jpg
https://cdn.ncbi.nlm.nih.gov/pmc/blobs/31fc/3117142/b2fda41b0809/gr1.jpg
https://cdn.ncbi.nlm.nih.gov/pmc/blobs/31fc/3117142/bc526c9fadd2/gr2.jpg
https://cdn.ncbi.nlm.nih.gov/pmc/blobs/31fc/3117142/b2fda41b0809/gr1.jpg
https://cdn.ncbi.nlm.nih.gov/pmc/blobs/31fc/3117142/bc526c9fadd2/gr2.jpg

相似文献

1
The outcome of competition between the two chrysomonads Ochromonas sp. and Poterioochromonas malhamensis depends on pH.两种腰鞭毛虫——Ochromonas sp. 和 Poterioochromonas malhamensis——之间的竞争结果取决于 pH 值。
Eur J Protistol. 2011 May;47(2):79-85. doi: 10.1016/j.ejop.2011.01.001. Epub 2011 Feb 21.
2
Combined stress effect of pH and temperature narrows the niche width of flagellates in acid mining lakes.pH值和温度的综合胁迫效应缩小了酸性采矿湖泊中鞭毛虫的生态位宽度。
J Plankton Res. 2011 Jul;33(7):1023-1032. doi: 10.1093/plankt/fbr014. Epub 2011 Mar 10.
3
Light affects picocyanobacterial grazing and growth response of the mixotrophic flagellate Poterioochromonas malhamensis.光照影响了微囊藻的摄食和混养鞭毛藻类新月菱形藻的生长响应。
J Microbiol. 2020 Apr;58(4):268-278. doi: 10.1007/s12275-020-9567-8. Epub 2020 Jan 28.
4
Antibiotic effects of three strains of chrysophytes (Ochromonas, Poterioochromonas) on freshwater bacterial isolates.三种金藻(眼虫藻、褐指藻)菌株对淡水细菌分离物的抗生素作用。
FEMS Microbiol Ecol. 2010 Feb;71(2):281-90. doi: 10.1111/j.1574-6941.2009.00800.x. Epub 2009 Oct 23.
5
Identification and feeding characteristics of the mixotrophic flagellate Poterioochromonas malhamensis, a microalgal predator isolated from planting water of Pontederia cordata.从梭鱼草种植水中分离出的微藻捕食者——兼养型鞭毛虫马尔姆帕氏藻的鉴定及摄食特性
Environ Sci Pollut Res Int. 2022 Jun;29(27):40599-40611. doi: 10.1007/s11356-022-18614-3. Epub 2022 Jan 27.
6
High-cell-density cultivation of the flagellate alga Poterioochromonas malhamensis for biomanufacturing the water-soluble β-1,3-glucan with multiple biological activities.高密度培养鞭毛藻类小球藻(Poterioochromonas malhamensis)以生物制造具有多种生物活性的水溶性β-1,3-葡聚糖。
Bioresour Technol. 2021 Oct;337:125447. doi: 10.1016/j.biortech.2021.125447. Epub 2021 Jun 24.
7
The most acidified Austrian lake in comparison to a neutralized mining lake.与经过中和处理的采矿湖相比,奥地利酸化程度最高的湖泊。
Limnologica. 2011 Dec;41(4):303-315. doi: 10.1016/j.limno.2011.01.002.
8
Effects of Nutritional Mode on the Physiological and Biochemical Characteristics of the Mixotrophic Flagellate and the Potential Ecological Implications.营养模式对混合营养鞭毛虫生理生化特性的影响及潜在生态意义
Microorganisms. 2022 Apr 20;10(5):852. doi: 10.3390/microorganisms10050852.
9
Light-dependent niche differentiation in two mixotrophic bacterivores.光依赖性小生境分化在两种混合营养型食细菌生物中。
Environ Microbiol Rep. 2022 Aug;14(4):530-537. doi: 10.1111/1758-2229.13071. Epub 2022 May 4.
10
Effective fucoxanthin production in the flagellate alga by coupling heterotrophic high-cell-density fermentation with illumination.通过将异养高细胞密度发酵与光照相结合,在鞭毛藻中高效生产岩藻黄质。
Front Bioeng Biotechnol. 2022 Dec 2;10:1074850. doi: 10.3389/fbioe.2022.1074850. eCollection 2022.

引用本文的文献

1
Primary succession of microbial communities in an aquifer from the Covey Hill formation in Quebec, Canada.加拿大魁北克省科维山组含水层中微生物群落的原生演替。
Front Microbiol. 2025 May 21;16:1568469. doi: 10.3389/fmicb.2025.1568469. eCollection 2025.
2
The combined impact of low temperatures and shifting phosphorus availability on the competitive ability of cyanobacteria.低温和磷可利用性变化对蓝藻竞争力的综合影响。
Sci Rep. 2022 Sep 30;12(1):16409. doi: 10.1038/s41598-022-20580-2.
3
Periphytic Microbial Response to Environmental Phosphate (P) Bioavailability and Its Relevance to P Management in Paddy Fields.

本文引用的文献

1
Relationship between phototrophy and phagotrophy in the mixotrophic chrysophytePoterioochromonas malhamensis.混养性金藻Poterioochromonas malhamensis 中的光养和吞噬养之间的关系。
Microb Ecol. 1990 Jan;19(1):97-109. doi: 10.1007/BF02015056.
2
Lake morphometry and wind exposure may shape the plankton community structure in acidic mining lakes.湖泊形态测量学和风力暴露可能会塑造酸性采矿湖泊中的浮游生物群落结构。
Limnologica. 2010 May;40(2):161-166. doi: 10.1016/j.limno.2009.11.002.
3
The most acidified Austrian lake in comparison to a neutralized mining lake.
底栖微生物对环境磷(P)生物可利用性的响应及其在稻田 P 管理中的意义。
Appl Environ Microbiol. 2021 Sep 28;87(20):e0120121. doi: 10.1128/AEM.01201-21. Epub 2021 Aug 4.
4
Microeukaryotic and Prokaryotic Diversity of Anchialine Caves from Eastern Adriatic Sea Islands.东地中海水域岩穴中超微型真核生物和原核生物多样性。
Microb Ecol. 2022 Feb;83(2):257-270. doi: 10.1007/s00248-021-01760-5. Epub 2021 Apr 26.
5
Multiple environmental stressors confine the ecological niche of the rotifer .多种环境压力因素限制了轮虫的生态位。
Freshw Biol. 2013 May;58(5):1008-1015. doi: 10.1111/fwb.12104.
6
Systematics and species-specific response to pH of Oxytricha acidotolerans sp. nov. and Urosomoida sp. (Ciliophora, Hypotricha) from acid mining lakes.嗜酸异毛类一新种(Oxytricha acidotolerans sp. nov.)和 Urosomoida 属(纤毛门,寡毛目)对酸性矿山湖的系统分类学和种特异性对 pH 的响应。
Eur J Protistol. 2013 May;49(2):255-71. doi: 10.1016/j.ejop.2012.08.001. Epub 2012 Sep 26.
7
The most acidified Austrian lake in comparison to a neutralized mining lake.与经过中和处理的采矿湖相比,奥地利酸化程度最高的湖泊。
Limnologica. 2011 Dec;41(4):303-315. doi: 10.1016/j.limno.2011.01.002.
与经过中和处理的采矿湖相比,奥地利酸化程度最高的湖泊。
Limnologica. 2011 Dec;41(4):303-315. doi: 10.1016/j.limno.2011.01.002.
4
Combined stress effect of pH and temperature narrows the niche width of flagellates in acid mining lakes.pH值和温度的综合胁迫效应缩小了酸性采矿湖泊中鞭毛虫的生态位宽度。
J Plankton Res. 2011 Jul;33(7):1023-1032. doi: 10.1093/plankt/fbr014. Epub 2011 Mar 10.
5
Antibiotic effects of three strains of chrysophytes (Ochromonas, Poterioochromonas) on freshwater bacterial isolates.三种金藻(眼虫藻、褐指藻)菌株对淡水细菌分离物的抗生素作用。
FEMS Microbiol Ecol. 2010 Feb;71(2):281-90. doi: 10.1111/j.1574-6941.2009.00800.x. Epub 2009 Oct 23.
6
High diversity of the 'Spumella-like' flagellates: an investigation based on the SSU rRNA gene sequences of isolates from habitats located in six different geographic regions.“类泡沫虫属”鞭毛虫的高度多样性:基于来自六个不同地理区域栖息地分离株的小亚基核糖体RNA基因序列的调查
Environ Microbiol. 2005 May;7(5):685-97. doi: 10.1111/j.1462-2920.2005.00743.x.
7
Mixotrophs combine resource use to outcompete specialists: implications for aquatic food webs.混合营养生物通过综合资源利用在竞争中胜过专性生物:对水生食物网的影响
Proc Natl Acad Sci U S A. 2003 Oct 28;100(22):12776-81. doi: 10.1073/pnas.2130696100. Epub 2003 Oct 20.