Suppr超能文献

建立血吸虫病和艾滋病的动力学模型。

Modeling schistosomiasis and HIV/AIDS codynamics.

机构信息

Modelling Biomedical Systems Research Group, Department of Applied Mathematics, National University of Science and Technology, P.O. Box 939 Ascot, Bulawayo, Zimbabwe.

出版信息

Comput Math Methods Med. 2011;2011:846174. doi: 10.1155/2011/846174. Epub 2011 Feb 13.

Abstract

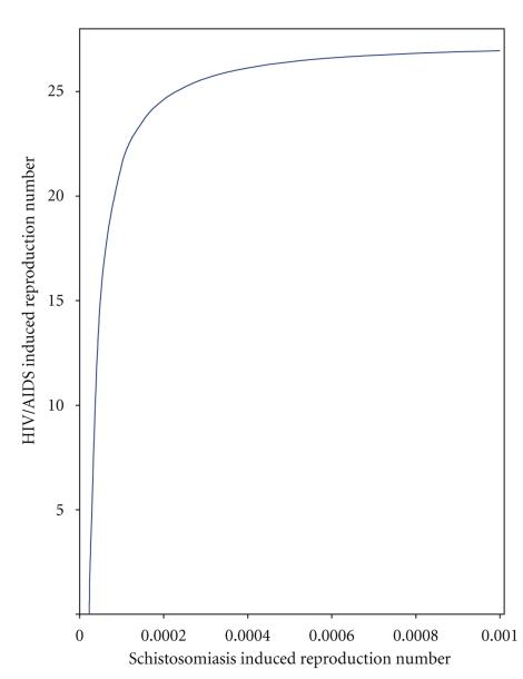
We formulate a mathematical model for the cointeraction of schistosomiasis and HIV/AIDS in order to assess their synergistic relationship in the presence of therapeutic measures. Comprehensive mathematical techniques are used to analyze the model steady states. The disease-free equilibrium is shown to be locally asymptotically stable when the associated disease threshold parameter known as the basic reproduction number for the model is less than unity. Centre manifold theory is used to show that the schistosomiasis-only and HIV/AIDS-only endemic equilibria are locally asymptotically stable when the associated reproduction numbers are greater than unity. The impact of schistosomiasis and its treatment on the dynamics of HIV/AIDS is also investigated. To illustrate the analytical results, numerical simulations using a set of reasonable parameter values are provided, and the results suggest that schistosomiasis treatment will always have a positive impact on the control of HIV/AIDS.

摘要

我们建立了一个关于血吸虫病和艾滋病共同作用的数学模型,以评估在治疗措施存在的情况下它们的协同关系。综合运用数学技术分析了模型的平衡点。当模型的基本再生数(疾病阈值参数)小于 1 时,无病平衡点被证明是局部渐近稳定的。中心流形理论表明,当相关的再生数大于 1 时,仅存在血吸虫病和仅存在艾滋病的地方平衡点是局部渐近稳定的。我们还研究了血吸虫病及其治疗对艾滋病动力学的影响。为了说明分析结果,我们使用一组合理的参数值进行了数值模拟,结果表明,血吸虫病治疗总是对艾滋病的控制产生积极影响。

https://cdn.ncbi.nlm.nih.gov/pmc/blobs/4293/3042740/96b1b6c60400/CMMM2011-846174.001.jpg

文献AI研究员

20分钟写一篇综述,助力文献阅读效率提升50倍。

立即体验

用中文搜PubMed

大模型驱动的PubMed中文搜索引擎

马上搜索

文档翻译

学术文献翻译模型,支持多种主流文档格式。

立即体验