• 文献检索
  • 文档翻译
  • 深度研究
  • 学术资讯
  • Suppr Zotero 插件Zotero 插件
  • 邀请有礼
  • 套餐&价格
  • 历史记录
应用&插件
Suppr Zotero 插件Zotero 插件浏览器插件Mac 客户端Windows 客户端微信小程序
定价
高级版会员购买积分包购买API积分包
服务
文献检索文档翻译深度研究API 文档MCP 服务
关于我们
关于 Suppr公司介绍联系我们用户协议隐私条款
关注我们

Suppr 超能文献

核心技术专利:CN118964589B侵权必究
粤ICP备2023148730 号-1Suppr @ 2026

文献检索

告别复杂PubMed语法,用中文像聊天一样搜索,搜遍4000万医学文献。AI智能推荐,让科研检索更轻松。

立即免费搜索

文件翻译

保留排版,准确专业,支持PDF/Word/PPT等文件格式,支持 12+语言互译。

免费翻译文档

深度研究

AI帮你快速写综述,25分钟生成高质量综述,智能提取关键信息,辅助科研写作。

立即免费体验

二氯乙酸与5-氟尿嘧啶联合应用对结直肠癌的协同抗肿瘤作用。

Synergistic antitumor effect of dichloroacetate in combination with 5-fluorouracil in colorectal cancer.

作者信息

Tong Jingtao, Xie Ganfeng, He Jinxia, Li Jianjun, Pan Feng, Liang Houjie

机构信息

Department of Oncology, Southwest Hospital, Third Military Medical University, 29 Gaotanyan Street, Chongqing 400038, China.

出版信息

J Biomed Biotechnol. 2011;2011:740564. doi: 10.1155/2011/740564. Epub 2011 Feb 20.

DOI:10.1155/2011/740564
PMID:21403907
原文链接:https://pmc.ncbi.nlm.nih.gov/articles/PMC3043319/
Abstract

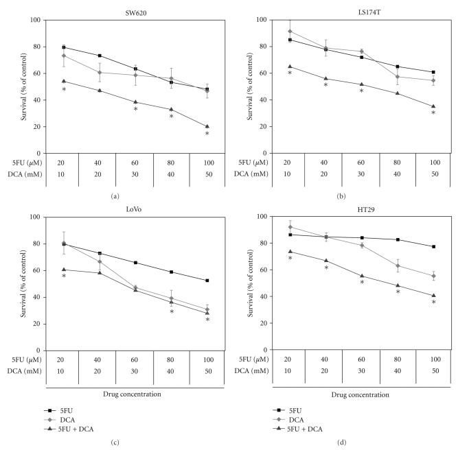
Dichloroacetate (DCA), an inhibitor of pyruvate dehydrogenase kinase (PDK), has been recently demonstrated as a promising nontoxic antineoplastic agent that promotes apoptosis of cancer cells. In the present study, we aimed to investigate the antitumor effect of DCA combined with 5-Fluorouracil (5-FU) on colorectal cancer (CRC) cells. Four human CRC cell lines were treated with DCA or 5-FU, or a combination of DCA and 5-FU. The cell viability was determined by 3-(4,5-dimethylthiazol-2-yl)-2,5-diphenyltetrazolium bromide assay. The interaction between DCA and 5-FU was evaluated by the median effect principle. Immunocytochemistry with bromodeoxyuridine (BrdU) was carried out to determine the proliferation of CRC cells. Cell cycle and apoptosis were measured by flow cytometry, and the expression of apoptosis-related molecules was assessed by western blot. Our results demonstrated that DCA inhibited the viability of CRC cells and had synergistic antiproliferation in combination with 5-FU. Moreover, compared with 5-FU alone, the apoptosis of CRC cells treated with DCA and 5-FU was enhanced and demonstrated with the changes of Bcl-2, Bax, and caspase-3 proteins. Our results suggest that DCA has a synergistic antitumor effect with 5-FU on CRC cell lines in vitro.

摘要

二氯乙酸(DCA)是丙酮酸脱氢酶激酶(PDK)的抑制剂,最近已被证明是一种有前景的无毒抗肿瘤药物,可促进癌细胞凋亡。在本研究中,我们旨在研究DCA联合5-氟尿嘧啶(5-FU)对结直肠癌(CRC)细胞的抗肿瘤作用。用DCA或5-FU或DCA与5-FU的组合处理四种人CRC细胞系。通过3-(4,5-二甲基噻唑-2-基)-2,5-二苯基四氮唑溴盐法测定细胞活力。根据中位效应原理评估DCA与5-FU之间的相互作用。进行溴脱氧尿苷(BrdU)免疫细胞化学以确定CRC细胞的增殖。通过流式细胞术测量细胞周期和凋亡,并通过蛋白质印迹法评估凋亡相关分子的表达。我们的结果表明,DCA抑制CRC细胞的活力,并与5-FU联合具有协同抗增殖作用。此外,与单独使用5-FU相比,用DCA和5-FU处理的CRC细胞的凋亡增强,并通过Bcl-2、Bax和caspase-3蛋白的变化得到证实。我们的结果表明,DCA在体外对CRC细胞系与5-FU具有协同抗肿瘤作用。

https://cdn.ncbi.nlm.nih.gov/pmc/blobs/05cd/3043319/aafc47dd307d/JBB2011-740564.005.jpg
https://cdn.ncbi.nlm.nih.gov/pmc/blobs/05cd/3043319/a6f6012a1b65/JBB2011-740564.001.jpg
https://cdn.ncbi.nlm.nih.gov/pmc/blobs/05cd/3043319/b33af1356264/JBB2011-740564.002.jpg
https://cdn.ncbi.nlm.nih.gov/pmc/blobs/05cd/3043319/96773c40e384/JBB2011-740564.003.jpg
https://cdn.ncbi.nlm.nih.gov/pmc/blobs/05cd/3043319/427bf03a8c34/JBB2011-740564.004.jpg
https://cdn.ncbi.nlm.nih.gov/pmc/blobs/05cd/3043319/aafc47dd307d/JBB2011-740564.005.jpg
https://cdn.ncbi.nlm.nih.gov/pmc/blobs/05cd/3043319/a6f6012a1b65/JBB2011-740564.001.jpg
https://cdn.ncbi.nlm.nih.gov/pmc/blobs/05cd/3043319/b33af1356264/JBB2011-740564.002.jpg
https://cdn.ncbi.nlm.nih.gov/pmc/blobs/05cd/3043319/96773c40e384/JBB2011-740564.003.jpg
https://cdn.ncbi.nlm.nih.gov/pmc/blobs/05cd/3043319/427bf03a8c34/JBB2011-740564.004.jpg
https://cdn.ncbi.nlm.nih.gov/pmc/blobs/05cd/3043319/aafc47dd307d/JBB2011-740564.005.jpg

相似文献

1
Synergistic antitumor effect of dichloroacetate in combination with 5-fluorouracil in colorectal cancer.二氯乙酸与5-氟尿嘧啶联合应用对结直肠癌的协同抗肿瘤作用。
J Biomed Biotechnol. 2011;2011:740564. doi: 10.1155/2011/740564. Epub 2011 Feb 20.
2
The combined effect of dichloroacetate and 3-bromopyruvate on glucose metabolism in colorectal cancer cell line, HT-29; the mitochondrial pathway apoptosis.二氯乙酸和 3-溴丙酮酸联合作用对结直肠癌细胞系 HT-29 葡萄糖代谢的影响;线粒体凋亡途径。
BMC Cancer. 2021 Aug 7;21(1):903. doi: 10.1186/s12885-021-08564-3.
3
DCA increases the antitumor effects of capecitabine in a mouse B16 melanoma allograft and a human non-small cell lung cancer A549 xenograft.地西他滨增强卡培他滨在小鼠 B16 黑色素瘤异体移植瘤和人非小细胞肺癌 A549 异种移植瘤中的抗肿瘤作用。
Cancer Chemother Pharmacol. 2013 Nov;72(5):1031-41. doi: 10.1007/s00280-013-2281-z. Epub 2013 Sep 17.
4
Dichloroacetate restores colorectal cancer chemosensitivity through the p53/miR-149-3p/PDK2-mediated glucose metabolic pathway.二氯乙酸通过 p53/miR-149-3p/PDK2 介导的葡萄糖代谢途径恢复结直肠癌的化疗敏感性。
Oncogene. 2020 Jan;39(2):469-485. doi: 10.1038/s41388-019-1035-8. Epub 2019 Oct 9.
5
Expression of pyruvate dehydrogenase kinase-1 in gastric cancer as a potential therapeutic target.丙酮酸脱氢酶激酶-1 在胃癌中的表达:一种潜在的治疗靶点。
Int J Oncol. 2013 Jan;42(1):44-54. doi: 10.3892/ijo.2012.1687. Epub 2012 Nov 6.
6
Dichloroacetate enhances apoptotic cell death via oxidative damage and attenuates lactate production in metformin-treated breast cancer cells.二氯乙酸通过氧化损伤增强凋亡性细胞死亡,并减弱二甲双胍处理的乳腺癌细胞中的乳酸生成。
Breast Cancer Res Treat. 2014 Oct;147(3):539-50. doi: 10.1007/s10549-014-3128-y. Epub 2014 Sep 12.
7
Tenacissoside G synergistically potentiates inhibitory effects of 5-fluorouracil to human colorectal cancer.千里光宁 G 协同增强氟尿嘧啶对人结直肠癌细胞的抑制作用。
Phytomedicine. 2021 Jun;86:153553. doi: 10.1016/j.phymed.2021.153553. Epub 2021 Mar 23.
8
Synergistic antitumor effect of 5-fluorouracil in combination with parthenolide in human colorectal cancer.5-氟尿嘧啶联合小白菊内酯对人结直肠癌细胞的协同抗肿瘤作用。
Cancer Lett. 2013 Jul 28;335(2):479-86. doi: 10.1016/j.canlet.2013.03.007. Epub 2013 Mar 16.
9
Acidosis-induced metabolic reprogramming in tumor cells enhances the anti-proliferative activity of the PDK inhibitor dichloroacetate.酸中毒诱导肿瘤细胞代谢重编程增强 PDK 抑制剂二氯醋酸盐的抗增殖活性。
Cancer Lett. 2020 Feb 1;470:18-28. doi: 10.1016/j.canlet.2019.12.003. Epub 2019 Dec 5.
10
Synergistic anticancer potential of dichloroacetate and estradiol analogue exerting their effect via ROS-JNK-Bcl-2-mediated signalling pathways.二氯乙酸酯与雌二醇类似物通过ROS-JNK-Bcl-2介导的信号通路发挥协同抗癌作用。
Cell Physiol Biochem. 2015;35(4):1499-526. doi: 10.1159/000369710. Epub 2015 Mar 12.

引用本文的文献

1
Colorectal Cancer: Pathogenesis and Targeted Therapy.结直肠癌:发病机制与靶向治疗
MedComm (2020). 2025 Mar 6;6(3):e70127. doi: 10.1002/mco2.70127. eCollection 2025 Mar.
2
Targeting metabolic pathways alleviates bortezomib-induced neuropathic pain without compromising anticancer efficacy in a sex-specific manner.靶向代谢途径可减轻硼替佐米诱导的神经性疼痛,且不会以性别特异性方式影响抗癌疗效。
Front Pain Res (Lausanne). 2024 Jun 24;5:1424348. doi: 10.3389/fpain.2024.1424348. eCollection 2024.
3
Dichloroacetate for Cancer Treatment: Some Facts and Many Doubts.

本文引用的文献

1
Metabolic modulation of glioblastoma with dichloroacetate.二氯乙酸对神经胶质瘤的代谢调节。
Sci Transl Med. 2010 May 12;2(31):31ra34. doi: 10.1126/scitranslmed.3000677.
2
Pharmacokinetically guided dose adjustment of 5-fluorouracil: a rational approach to improving therapeutic outcomes.5-氟尿嘧啶的药代动力学指导剂量调整:一种改善治疗效果的合理方法。
J Natl Cancer Inst. 2009 Nov 18;101(22):1543-52. doi: 10.1093/jnci/djp328. Epub 2009 Oct 19.
3
Oxygen consumption can regulate the growth of tumors, a new perspective on the Warburg effect.
用于癌症治疗的二氯乙酸:一些事实与诸多疑问
Pharmaceuticals (Basel). 2024 Jun 6;17(6):744. doi: 10.3390/ph17060744.
4
4-O-Methylascochlorin Synergistically Enhances 5-Fluorouracil-Induced Apoptosis by Inhibiting the Wnt/β-Catenin Signaling Pathway in Colorectal Cancer Cells.4-O-甲基阿佐克拉林通过抑制结直肠癌细胞中的 Wnt/β-连环蛋白信号通路协同增强 5-氟尿嘧啶诱导的细胞凋亡。
Int J Mol Sci. 2024 May 25;25(11):5746. doi: 10.3390/ijms25115746.
5
Disturbance of the Warburg effect by dichloroacetate and niclosamide suppresses the growth of different sub-types of malignant pleural mesothelioma and .二氯乙酸和氯硝柳胺对瓦伯格效应的干扰可抑制不同亚型恶性胸膜间皮瘤的生长。
Front Pharmacol. 2022 Oct 11;13:1020343. doi: 10.3389/fphar.2022.1020343. eCollection 2022.
6
Bioactive Platinum(IV) Complexes Incorporating Halogenated Phenylacetates.含卤素苯乙酸的生物活性铂(IV)配合物。
Molecules. 2022 Oct 21;27(20):7120. doi: 10.3390/molecules27207120.
7
A novel strategy to fuel cancer immunotherapy: targeting glucose metabolism to remodel the tumor microenvironment.推动癌症免疫治疗的新策略:靶向葡萄糖代谢以重塑肿瘤微环境。
Front Oncol. 2022 Jul 18;12:931104. doi: 10.3389/fonc.2022.931104. eCollection 2022.
8
Impact of Sodium Dichloroacetate Alone and in Combination Therapies on Lung Tumor Growth and Metastasis.单独使用二氯醋酸钠和联合治疗对肺肿瘤生长和转移的影响。
Int J Mol Sci. 2021 Nov 21;22(22):12553. doi: 10.3390/ijms222212553.
9
The Potential Role of Changes in the Glucose and Lipid Metabolic Pathways in Gastrointestinal Cancer Progression: Strategy in Cancer Therapy.葡萄糖和脂质代谢途径变化在胃肠道癌进展中的潜在作用:癌症治疗策略
Gastrointest Tumors. 2021 Aug 5;8(4):169-176. doi: 10.1159/000517771. eCollection 2021 Oct.
10
The combined effect of dichloroacetate and 3-bromopyruvate on glucose metabolism in colorectal cancer cell line, HT-29; the mitochondrial pathway apoptosis.二氯乙酸和 3-溴丙酮酸联合作用对结直肠癌细胞系 HT-29 葡萄糖代谢的影响;线粒体凋亡途径。
BMC Cancer. 2021 Aug 7;21(1):903. doi: 10.1186/s12885-021-08564-3.
氧气消耗可以调节肿瘤的生长,这是对瓦博格效应的新视角。
PLoS One. 2009 Sep 15;4(9):e7033. doi: 10.1371/journal.pone.0007033.
4
Cancer statistics, 2009.2009年癌症统计数据。
CA Cancer J Clin. 2009 Jul-Aug;59(4):225-49. doi: 10.3322/caac.20006. Epub 2009 May 27.
5
Predictors of survival and toxicity in patients on adjuvant therapy with 5-fluorouracil for colorectal cancer.接受5-氟尿嘧啶辅助治疗的结直肠癌患者生存及毒性的预测因素
Br J Cancer. 2009 May 19;100(10):1549-57. doi: 10.1038/sj.bjc.6605052. Epub 2009 Apr 21.
6
Dichloroacetate (DCA) as a potential metabolic-targeting therapy for cancer.二氯乙酸(DCA)作为一种潜在的癌症代谢靶向治疗方法。
Br J Cancer. 2008 Oct 7;99(7):989-94. doi: 10.1038/sj.bjc.6604554. Epub 2008 Sep 2.
7
Dichloroacetate (DCA) sensitizes both wild-type and over expressing Bcl-2 prostate cancer cells in vitro to radiation.二氯乙酸(DCA)在体外使野生型和过表达Bcl-2的前列腺癌细胞对辐射敏感。
Prostate. 2008 Aug 1;68(11):1223-31. doi: 10.1002/pros.20788.
8
Dichloroacetate induces apoptosis in endometrial cancer cells.二氯乙酸可诱导子宫内膜癌细胞凋亡。
Gynecol Oncol. 2008 Jun;109(3):394-402. doi: 10.1016/j.ygyno.2008.01.038. Epub 2008 Apr 18.
9
The Warburg effect and its cancer therapeutic implications.瓦伯格效应及其癌症治疗意义。
J Bioenerg Biomembr. 2007 Jun;39(3):267-74. doi: 10.1007/s10863-007-9086-x.
10
A mitochondria-K+ channel axis is suppressed in cancer and its normalization promotes apoptosis and inhibits cancer growth.线粒体 - 钾离子通道轴在癌症中受到抑制,使其正常化可促进细胞凋亡并抑制癌症生长。
Cancer Cell. 2007 Jan;11(1):37-51. doi: 10.1016/j.ccr.2006.10.020.