Suppr超能文献

重度抑郁症患者的白细胞端粒长度:与慢性、炎症和氧化应激的相关性——初步发现。

Leukocyte telomere length in major depression: correlations with chronicity, inflammation and oxidative stress--preliminary findings.

机构信息

Department of Psychiatry, University of California San Francisco School of Medicine, San Francisco, California, United States of America.

出版信息

PLoS One. 2011 Mar 23;6(3):e17837. doi: 10.1371/journal.pone.0017837.

Abstract

BACKGROUND

Depression is associated with an unusually high rate of aging-related illnesses and early mortality. One aspect of "accelerated aging" in depression may be shortened leukocyte telomeres. When telomeres critically shorten, as often occurs with repeated mitoses or in response to oxidation and inflammation, cells may die. Indeed, leukocyte telomere shortening predicts early mortality and medical illnesses in non-depressed populations. We sought to determine if leukocyte telomeres are shortened in Major Depressive Disorder (MDD), whether this is a function of lifetime depression exposure and whether this is related to putative mediators, oxidation and inflammation.

METHODOLOGY

Leukocyte telomere length was compared between 18 unmedicated MDD subjects and 17 controls and was correlated with lifetime depression chronicity and peripheral markers of oxidation (F2-isoprostane/Vitamin C ratio) and inflammation (IL-6). Analyses were controlled for age and sex.

PRINCIPAL FINDINGS

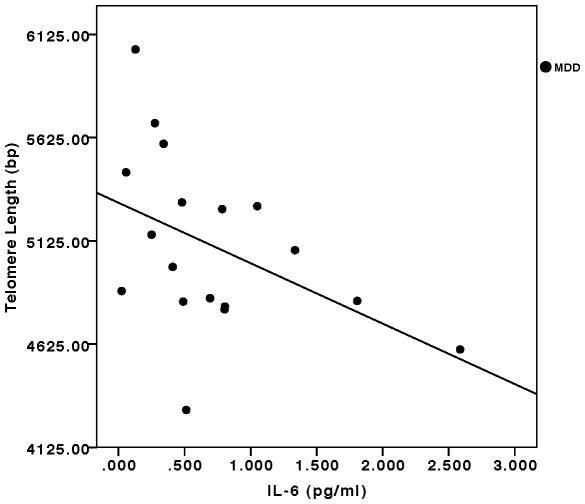
The depressed group, as a whole, did not differ from the controls in telomere length. However, telomere length was significantly inversely correlated with lifetime depression exposure, even after controlling for age (p<0.05). Average telomere length in the depressed subjects who were above the median of lifetime depression exposure (≥9.2 years' cumulative duration) was 281 base pairs shorter than that in controls (p<0.05), corresponding to approximately seven years of "accelerated cell aging." Telomere length was inversely correlated with oxidative stress in the depressed subjects (p<0.01) and in the controls (p<0.05) and with inflammation in the depressed subjects (p<0.05).

CONCLUSIONS

These preliminary data indicate that accelerated aging at the level of leukocyte telomeres is proportional to lifetime exposure to MDD. This might be related to cumulative exposure to oxidative stress and inflammation in MDD. This suggest that telomere shortening does not antedate depression and is not an intrinsic feature. Rather, telomere shortening may progress in proportion to lifetime depression exposure.

摘要

背景

抑郁与与衰老相关疾病和早逝的发生率异常高有关。抑郁中“加速衰老”的一个方面可能是白细胞端粒缩短。当端粒因多次有丝分裂或氧化和炎症反应而临界缩短时,细胞可能会死亡。事实上,白细胞端粒缩短可预测非抑郁人群的早逝和疾病。我们试图确定白细胞端粒是否在重度抑郁症(MDD)中缩短,这是否是终生抑郁暴露的功能,以及这是否与假定的介质、氧化和炎症有关。

方法

比较了 18 名未经治疗的 MDD 患者和 17 名对照者的白细胞端粒长度,并将其与终生抑郁慢性期和外周氧化标志物(F2-异前列腺素/维生素 C 比值)和炎症(IL-6)相关联。分析时控制了年龄和性别。

主要发现

作为一个整体,抑郁组的端粒长度与对照组无差异。然而,端粒长度与终生抑郁暴露呈显著负相关,即使在控制年龄后也是如此(p<0.05)。在终生抑郁暴露中位数以上(≥9.2 年累积持续时间)的抑郁患者中,端粒长度比对照组短 281 个碱基对(p<0.05),相当于大约七年的“细胞加速衰老”。端粒长度与抑郁患者的氧化应激呈负相关(p<0.01)和对照组(p<0.05)以及抑郁患者的炎症呈负相关(p<0.05)。

结论

这些初步数据表明,白细胞端粒水平的加速衰老与 MDD 的终生暴露成正比。这可能与 MDD 中氧化应激和炎症的累积暴露有关。这表明端粒缩短不是发生在抑郁之前,也不是固有特征。相反,端粒缩短可能与终生抑郁暴露成比例地进展。

https://cdn.ncbi.nlm.nih.gov/pmc/blobs/2eb3/3063175/69dbac2dbccc/pone.0017837.g001.jpg

文献AI研究员

20分钟写一篇综述,助力文献阅读效率提升50倍。

立即体验

用中文搜PubMed

大模型驱动的PubMed中文搜索引擎

马上搜索

文档翻译

学术文献翻译模型,支持多种主流文档格式。

立即体验