University of Split Faculty of Philosophy, Split, Croatia.
PLoS One. 2011 Mar 30;6(3):e17406. doi: 10.1371/journal.pone.0017406.
Moral reasoning is important for developing medical professionalism but current evidence for the relationship between education and moral reasoning does not clearly apply to medical students. We used a combined study design to test the effect of clinical teaching on moral reasoning.
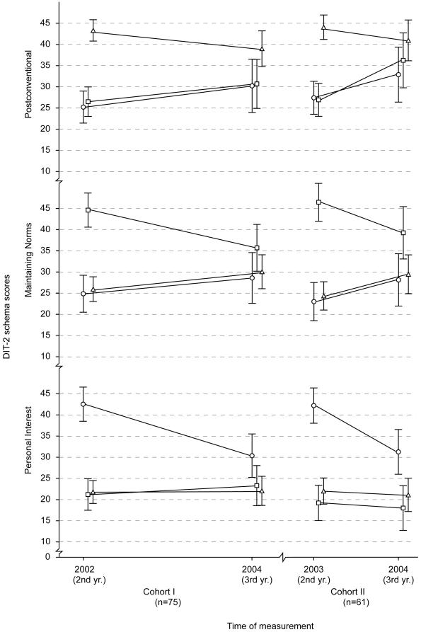
We used the Defining Issues Test-2 as a measure of moral judgment, with 3 general moral schemas: Personal Interest, Maintaining Norms, and Postconventional Schema. The test was applied to 3 consecutive cohorts of second year students in 2002 (n = 207), 2003 (n = 192), and 2004 (n = 139), and to 707 students of all 6 study years in 2004 cross-sectional study. We also tested 298 age-matched controls without university education.
In the cross-sectional study, there was significant main effect of the study year for Postconventional (F(5,679) = 3.67, P = 0.003) and Personal Interest scores (F(5,679) = 3.38, P = 0.005). There was no effect of the study year for Maintaining Norms scores. 3(rd) year medical students scored higher on Postconventional schema score than all other study years (p<0.001). There were no statistically significant differences among 3 cohorts of 2(nd) year medical students, demonstrating the absence of cohort or point-of-measurement effects. Longitudinal study of 3 cohorts demonstrated that students regressed from Postconventional to Maintaining Norms schema-based reasoning after entering the clinical part of the curriculum.
Our study demonstrated direct causative relationship between the regression in moral reasoning development and clinical teaching during medical curriculum. The reasons may include hierarchical organization of clinical practice, specific nature of moral dilemmas faced by medical students, and hidden medical curriculum.
道德推理对于培养医学专业精神很重要,但目前关于教育与道德推理之间关系的证据并不完全适用于医学生。我们采用综合研究设计来检验临床教学对道德推理的影响。
我们使用《道德判断测试-2》作为衡量道德判断的标准,其中有 3 种一般道德模式:个人利益、维护规范和后习俗模式。该测试应用于 2002 年(n = 207)、2003 年(n = 192)和 2004 年(n = 139)连续三批二年级学生,以及 2004 年的 6 个学习年级的 707 名学生进行了横断面研究。我们还测试了 298 名年龄匹配的无大学教育对照组。
在横断面研究中,后习俗(F(5,679)= 3.67,P = 0.003)和个人利益得分(F(5,679)= 3.38,P = 0.005)均存在研究年份的显著主效应。维护规范得分不受研究年份的影响。三年级医学生在后习俗模式得分上高于其他所有学习年份(p<0.001)。二年级医学生的三个队列之间没有统计学上的显著差异,表明没有队列或测量点效应。对三个队列的纵向研究表明,学生在进入医学课程的临床部分后,从后习俗推理回归到基于维护规范的推理。
我们的研究表明,道德推理发展的倒退与医学课程中的临床教学之间存在直接的因果关系。原因可能包括临床实践的等级组织、医学生面临的道德困境的特定性质以及隐性医学课程。