• 文献检索
  • 文档翻译
  • 深度研究
  • 学术资讯
  • Suppr Zotero 插件Zotero 插件
  • 邀请有礼
  • 套餐&价格
  • 历史记录
应用&插件
Suppr Zotero 插件Zotero 插件浏览器插件Mac 客户端Windows 客户端微信小程序
定价
高级版会员购买积分包购买API积分包
服务
文献检索文档翻译深度研究API 文档MCP 服务
关于我们
关于 Suppr公司介绍联系我们用户协议隐私条款
关注我们

Suppr 超能文献

核心技术专利:CN118964589B侵权必究
粤ICP备2023148730 号-1Suppr @ 2026

文献检索

告别复杂PubMed语法,用中文像聊天一样搜索,搜遍4000万医学文献。AI智能推荐,让科研检索更轻松。

立即免费搜索

文件翻译

保留排版,准确专业,支持PDF/Word/PPT等文件格式,支持 12+语言互译。

免费翻译文档

深度研究

AI帮你快速写综述,25分钟生成高质量综述,智能提取关键信息,辅助科研写作。

立即免费体验

通过三次多项式回归校正定量 DNA 甲基化研究中的 PCR 偏倚。

Correction of PCR-bias in quantitative DNA methylation studies by means of cubic polynomial regression.

机构信息

Functional Genome Analysis, Deutsches Krebsforschungszentrum, Im Neuenheimer Feld 580, 69120 Heidelberg, Germany.

出版信息

Nucleic Acids Res. 2011 Jun;39(11):e77. doi: 10.1093/nar/gkr213. Epub 2011 Apr 12.

DOI:10.1093/nar/gkr213
PMID:21486748
原文链接:https://pmc.ncbi.nlm.nih.gov/articles/PMC3113592/
Abstract

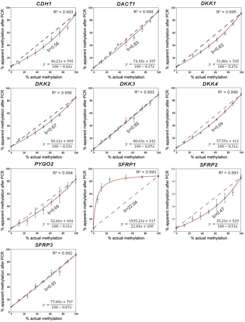
DNA methylation profiling has become an important aspect of biomedical molecular analysis. Polymerase chain reaction (PCR) amplification of bisulphite-treated DNA is a processing step that is common to many currently used methods of quantitative methylation analysis. Preferential amplification of unmethylated alleles-known as PCR-bias-may significantly affect the accuracy of quantification. To date, no universal experimental approach has been reported to overcome the problem. This study presents an effective method of correcting biased methylation data. The procedure includes a calibration performed in parallel to the analysis of the samples under investigation. DNA samples with defined degrees of methylation are analysed. The observed deviation of the experimental results from the expected values is used for calculating a regression curve. The equation of the best-fitting curve is then used for correction of the data obtained from the samples of interest. The process can be applied irrespective of the locus interrogated and the number of sites analysed, avoiding an optimization of the amplification conditions for each individual locus.

摘要

DNA 甲基化分析已成为生物医学分子分析的一个重要方面。亚硫酸氢盐处理的 DNA 的聚合酶链反应(PCR)扩增是许多目前使用的定量甲基化分析方法中常见的处理步骤。未甲基化等位基因的优先扩增——称为 PCR 偏倚——可能会显著影响定量的准确性。迄今为止,尚未报道任何通用的实验方法来克服该问题。本研究提出了一种纠正偏置甲基化数据的有效方法。该程序包括在分析研究样本的同时进行校准。分析具有定义程度甲基化的 DNA 样本。从观察到的实验结果与预期值的偏差中,计算出回归曲线。然后,使用最佳拟合曲线的方程来校正从感兴趣的样本中获得的数据。该过程可以应用于无论检测的基因座和分析的位点数量如何,避免了为每个单独的基因座优化扩增条件。

https://cdn.ncbi.nlm.nih.gov/pmc/blobs/0958/3113592/b56454102059/gkr213f5.jpg
https://cdn.ncbi.nlm.nih.gov/pmc/blobs/0958/3113592/d78848c541b8/gkr213f1.jpg
https://cdn.ncbi.nlm.nih.gov/pmc/blobs/0958/3113592/c3d692c1dc8d/gkr213f2.jpg
https://cdn.ncbi.nlm.nih.gov/pmc/blobs/0958/3113592/698254fe81f5/gkr213f3.jpg
https://cdn.ncbi.nlm.nih.gov/pmc/blobs/0958/3113592/f75b7fd549b0/gkr213f4.jpg
https://cdn.ncbi.nlm.nih.gov/pmc/blobs/0958/3113592/b56454102059/gkr213f5.jpg
https://cdn.ncbi.nlm.nih.gov/pmc/blobs/0958/3113592/d78848c541b8/gkr213f1.jpg
https://cdn.ncbi.nlm.nih.gov/pmc/blobs/0958/3113592/c3d692c1dc8d/gkr213f2.jpg
https://cdn.ncbi.nlm.nih.gov/pmc/blobs/0958/3113592/698254fe81f5/gkr213f3.jpg
https://cdn.ncbi.nlm.nih.gov/pmc/blobs/0958/3113592/f75b7fd549b0/gkr213f4.jpg
https://cdn.ncbi.nlm.nih.gov/pmc/blobs/0958/3113592/b56454102059/gkr213f5.jpg

相似文献

1
Correction of PCR-bias in quantitative DNA methylation studies by means of cubic polynomial regression.通过三次多项式回归校正定量 DNA 甲基化研究中的 PCR 偏倚。
Nucleic Acids Res. 2011 Jun;39(11):e77. doi: 10.1093/nar/gkr213. Epub 2011 Apr 12.
2
BiasCorrector: Fast and accurate correction of all types of experimental biases in quantitative DNA methylation data derived by different technologies.BiasCorrector:快速准确地校正不同技术衍生的定量 DNA 甲基化数据中所有类型的实验偏差。
Int J Cancer. 2021 Sep 1;149(5):1150-1165. doi: 10.1002/ijc.33681. Epub 2021 May 26.
3
Cubic regression-based degree of correction predicts the performance of whole bisulfitome amplified DNA methylation analysis.基于三次回归的校正程度预测全亚硫酸氢盐扩增 DNA 甲基化分析的性能。
Epigenetics. 2012 Dec 1;7(12):1349-54. doi: 10.4161/epi.22846. Epub 2012 Nov 15.
4
Detection and measurement of PCR bias in quantitative methylation analysis of bisulphite-treated DNA.亚硫酸氢盐处理DNA的定量甲基化分析中PCR偏差的检测与测量
Nucleic Acids Res. 1997 Nov 1;25(21):4422-6. doi: 10.1093/nar/25.21.4422.
5
Closed-tube PCR methods for locus-specific DNA methylation analysis.用于位点特异性DNA甲基化分析的闭管PCR方法。
Methods Mol Biol. 2011;791:55-71. doi: 10.1007/978-1-61779-316-5_5.
6
Real-time PCR-based assay for quantitative determination of methylation status.基于实时荧光定量PCR的甲基化状态定量检测方法。
Methods Mol Biol. 2004;287:207-18. doi: 10.1385/1-59259-828-5:207.
7
MethySYBR, a novel quantitative PCR assay for the dual analysis of DNA methylation and CpG methylation density.MethySYBR,一种用于DNA甲基化和CpG甲基化密度双重分析的新型定量PCR检测方法。
J Mol Diagn. 2009 Sep;11(5):400-14. doi: 10.2353/jmoldx.2009.080126.
8
Primer design versus PCR bias in methylation independent PCR amplifications.甲基化非依赖性PCR扩增中引物设计与PCR偏差
Epigenetics. 2009 May 16;4(4):231-4. doi: 10.4161/epi.9020. Epub 2009 May 14.
9
In-tube DNA methylation profiling by fluorescence melting curve analysis.通过荧光熔解曲线分析进行管内DNA甲基化谱分析。
Clin Chem. 2001;47(7):1183-9.
10
Assessing alternative base substitutions at primer CpG sites to optimise unbiased PCR amplification of methylated sequences.评估引物CpG位点处的替代碱基替换,以优化甲基化序列的无偏PCR扩增。
Clin Epigenetics. 2017 Apr 4;9:31. doi: 10.1186/s13148-017-0328-4. eCollection 2017.

引用本文的文献

1
Limited association between HRR gene alterations and HRD in molecular tumor board cancer samples: Who should be tested for HRD?分子肿瘤委员会癌症样本中HRR基因改变与HRD之间的关联有限:谁应该接受HRD检测?
Int J Cancer. 2025 Sep 1;157(5):964-979. doi: 10.1002/ijc.35457. Epub 2025 Apr 25.
2
Double and single stranded detection of 5-methylcytosine and 5-hydroxymethylcytosine with nanopore sequencing.利用纳米孔测序技术对5-甲基胞嘧啶和5-羟甲基胞嘧啶进行双链和单链检测。
Commun Biol. 2025 Feb 15;8(1):243. doi: 10.1038/s42003-025-07681-0.
3
A Ge.F.I. Collaborative Study: Evaluating Reproducibility and Accuracy of a DNA-Methylation-Based Age-Predictive Assay for Routine Implementation in Forensic Casework.

本文引用的文献

1
The implications of heterogeneous DNA methylation for the accurate quantification of methylation.异质 DNA 甲基化对甲基化精确定量的影响。
Epigenomics. 2010 Aug;2(4):561-73. doi: 10.2217/epi.10.32.
2
BISMA--fast and accurate bisulfite sequencing data analysis of individual clones from unique and repetitive sequences.BISMA——用于从独特和重复序列中的单个克隆进行快速准确的亚硫酸氢盐测序数据分析。
BMC Bioinformatics. 2010 May 6;11:230. doi: 10.1186/1471-2105-11-230.
3
Whole methylome analysis by ultra-deep sequencing using two-base encoding.
一项Ge.F.I.合作研究:评估基于DNA甲基化的年龄预测分析方法在法医案件工作中常规应用的可重复性和准确性。
Electrophoresis. 2025 Jan;46(1-2):76-91. doi: 10.1002/elps.202400190. Epub 2025 Jan 6.
4
Maternal distress, DNA methylation, and fetal programing of stress physiology in Brazilian mother-infant pairs.巴西母婴对子中母体不适、DNA 甲基化与胎儿应激生理学编程。
Dev Psychobiol. 2023 Jan;65(1):e22352. doi: 10.1002/dev.22352.
5
() Gene Methylation in Human Breast Cancer: Critical Appraisal of a Long and Twisted Story.()人类乳腺癌中的基因甲基化:对一个漫长而曲折故事的批判性评估。
Cancers (Basel). 2022 Sep 8;14(18):4377. doi: 10.3390/cancers14184377.
6
Therapeutically expanded human regulatory T-cells are super-suppressive due to HIF1A induced expression of CD73.治疗性扩增的人调节性 T 细胞由于 HIF1A 诱导的 CD73 表达而具有超强的抑制作用。
Commun Biol. 2021 Oct 14;4(1):1186. doi: 10.1038/s42003-021-02721-x.
7
Increased Sensitivity of Detection of and DNA Fragments in Serum of Prostate Cancer Patients: Optimisation of Diagnostics Using OBBPA-ddPCR.前列腺癌患者血清中及DNA片段检测灵敏度的提高:使用OBBPA-ddPCR优化诊断
Cancers (Basel). 2021 Sep 4;13(17):4459. doi: 10.3390/cancers13174459.
8
Measuring and mitigating PCR bias in microbiota datasets.测量和减轻微生物组数据集的 PCR 偏倚。
PLoS Comput Biol. 2021 Jul 6;17(7):e1009113. doi: 10.1371/journal.pcbi.1009113. eCollection 2021 Jul.
9
MethPanel: a parallel pipeline and interactive analysis tool for multiplex bisulphite PCR sequencing to assess DNA methylation biomarker panels for disease detection.甲基化分析面板(MethPanel):一种用于多重亚硫酸氢盐PCR测序的并行流程和交互式分析工具,用于评估用于疾病检测的DNA甲基化生物标志物面板。
Bioinformatics. 2021 Aug 9;37(15):2198-2200. doi: 10.1093/bioinformatics/btaa1060.
10
DNA hypermethylation/boundary control loss identified in retinoblastomas associated with genetic and epigenetic inactivation of the gene promoter.在与基因启动子的遗传和表观遗传失活相关的视网膜母细胞瘤中鉴定出 DNA 超甲基化/边界控制丧失。
Epigenetics. 2021 Sep;16(9):940-954. doi: 10.1080/15592294.2020.1834911. Epub 2020 Dec 1.
采用双碱基编码的超高深度测序进行全甲基组分析。
PLoS One. 2010 Feb 22;5(2):e9320. doi: 10.1371/journal.pone.0009320.
4
High-throughput assessment of CpG site methylation for distinguishing between HCV-cirrhosis and HCV-associated hepatocellular carcinoma.高通量评估 CpG 位点甲基化,以区分 HCV 肝硬化和 HCV 相关肝细胞癌。
Mol Genet Genomics. 2010 Apr;283(4):341-9. doi: 10.1007/s00438-010-0522-y. Epub 2010 Feb 18.
5
Genomic screening for genes upregulated by demethylation revealed novel targets of epigenetic silencing in breast cancer.基因组筛选发现受去甲基化作用上调的基因,揭示了乳腺癌中表观遗传沉默的新靶点。
Breast Cancer Res Treat. 2010 Aug;122(3):699-710. doi: 10.1007/s10549-009-0600-1. Epub 2009 Oct 27.
6
Frequent loss of endothelin-3 (EDN3) expression due to epigenetic inactivation in human breast cancer.人类乳腺癌中由于表观遗传失活导致内皮素-3(EDN3)表达频繁丧失。
Breast Cancer Res. 2009;11(3):R34. doi: 10.1186/bcr2319. Epub 2009 Jun 15.
7
Primer design versus PCR bias in methylation independent PCR amplifications.甲基化非依赖性PCR扩增中引物设计与PCR偏差
Epigenetics. 2009 May 16;4(4):231-4. doi: 10.4161/epi.9020. Epub 2009 May 14.
8
Massive parallel bisulfite sequencing of CG-rich DNA fragments reveals that methylation of many X-chromosomal CpG islands in female blood DNA is incomplete.富含CG的DNA片段的大规模平行亚硫酸氢盐测序显示,女性血液DNA中许多X染色体CpG岛的甲基化是不完全的。
Hum Mol Genet. 2009 Apr 15;18(8):1439-48. doi: 10.1093/hmg/ddp054. Epub 2009 Feb 17.
9
Methylation-sensitive high-resolution melting.甲基化敏感的高分辨率熔解分析
Nat Protoc. 2008;3(12):1903-8. doi: 10.1038/nprot.2008.191.
10
A new approach to primer design for the control of PCR bias in methylation studies.一种用于控制甲基化研究中PCR偏差的引物设计新方法。
BMC Res Notes. 2008 Jul 28;1:54. doi: 10.1186/1756-0500-1-54.