• 文献检索
  • 文档翻译
  • 深度研究
  • 学术资讯
  • Suppr Zotero 插件Zotero 插件
  • 邀请有礼
  • 套餐&价格
  • 历史记录
应用&插件
Suppr Zotero 插件Zotero 插件浏览器插件Mac 客户端Windows 客户端微信小程序
定价
高级版会员购买积分包购买API积分包
服务
文献检索文档翻译深度研究API 文档MCP 服务
关于我们
关于 Suppr公司介绍联系我们用户协议隐私条款
关注我们

Suppr 超能文献

核心技术专利:CN118964589B侵权必究
粤ICP备2023148730 号-1Suppr @ 2026

文献检索

告别复杂PubMed语法,用中文像聊天一样搜索,搜遍4000万医学文献。AI智能推荐,让科研检索更轻松。

立即免费搜索

文件翻译

保留排版,准确专业,支持PDF/Word/PPT等文件格式,支持 12+语言互译。

免费翻译文档

深度研究

AI帮你快速写综述,25分钟生成高质量综述,智能提取关键信息,辅助科研写作。

立即免费体验

2,2'-[1,1'-(癸烷-1,10-二氧二亚氨基)二亚乙基]二苯酚

2,2'-[1,1'-(Decane-1,10-diyldioxy-dinitrilo)diethyl-idyne]diphenol.

作者信息

Wang Xiao-Qiang, Tong Jun-Feng, Dong Wen-Kui, Gong Shang-Sheng, Wu Jian-Chao

机构信息

School of Chemical and Biological Engineering, Lanzhou Jiaotong University, Lanzhou 730070, People's Republic of China.

出版信息

Acta Crystallogr Sect E Struct Rep Online. 2009 Jul 29;65(Pt 8):o2013. doi: 10.1107/S1600536809029341.

DOI:10.1107/S1600536809029341
PMID:21583684
原文链接:https://pmc.ncbi.nlm.nih.gov/articles/PMC2977177/
Abstract

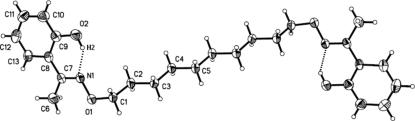
The salen-type bis-oxime title compound, C(26)H(36)N(2)O(4), lies about a crystallographic inversion centre. Classical intra-molecular O-H⋯N hydrogen bonds generate two S(6) ring motifs. In the crystal structure, pairs of weak inter-molecular C-H⋯O hydrogen bonds link adjacent mol-ecules into an infinite one-dimensional supra-molecular structure.

摘要

标题为C(26)H(36)N(2)O(4)的萨伦型双肟化合物位于一个晶体学反演中心上。经典的分子内O-H⋯N氢键产生了两个S(6)环 motif。在晶体结构中,成对的弱分子间C-H⋯O氢键将相邻分子连接成无限的一维超分子结构。

https://cdn.ncbi.nlm.nih.gov/pmc/blobs/f6b1/2977177/1cf72b375f2d/e-65-o2013-fig2.jpg
https://cdn.ncbi.nlm.nih.gov/pmc/blobs/f6b1/2977177/d6b61e2edf5a/e-65-o2013-fig1.jpg
https://cdn.ncbi.nlm.nih.gov/pmc/blobs/f6b1/2977177/1cf72b375f2d/e-65-o2013-fig2.jpg
https://cdn.ncbi.nlm.nih.gov/pmc/blobs/f6b1/2977177/d6b61e2edf5a/e-65-o2013-fig1.jpg
https://cdn.ncbi.nlm.nih.gov/pmc/blobs/f6b1/2977177/1cf72b375f2d/e-65-o2013-fig2.jpg

相似文献

1
2,2'-[1,1'-(Decane-1,10-diyldioxy-dinitrilo)diethyl-idyne]diphenol.2,2'-[1,1'-(癸烷-1,10-二氧二亚氨基)二亚乙基]二苯酚
Acta Crystallogr Sect E Struct Rep Online. 2009 Jul 29;65(Pt 8):o2013. doi: 10.1107/S1600536809029341.
2
2,2'-[1,1'-(Octane-1,8-diyldioxy-dinitrilo)diethyl-idyne]diphenol.2,2'-[1,1'-(辛烷-1,8-二氧基二腈基)二亚乙基]二苯酚。
Acta Crystallogr Sect E Struct Rep Online. 2009 Sep 5;65(Pt 10):o2311. doi: 10.1107/S1600536809033959.
3
2,2'-[1,1'-(Propane-1,3-diyldioxy-dinitrilo)diethyl-idyne]di-1-naphthol.2,2'-[1,1'-(丙烷-1,3-二氧基-二腈基)二亚乙基]二-1-萘酚。
Acta Crystallogr Sect E Struct Rep Online. 2009 Jun 20;65(Pt 7):o1657. doi: 10.1107/S1600536809023241.
4
2,2'-[1,1'-(Hexane-1,6-diyldioxy-dinitrilo)diethyl-idyne]diphenol.2,2'-[1,1'-(己烷-1,6-二氧基二腈基)二亚乙基]二苯酚
Acta Crystallogr Sect E Struct Rep Online. 2008 Aug 9;64(Pt 9):o1726. doi: 10.1107/S1600536808024902.
5
2,2'-[Octane-1,8-diyldioxy-bis(nitrilo-methyl-idyne)]diphenol.2,2'-[辛烷-1,8-二氧基-双(腈基亚甲基)]二苯酚
Acta Crystallogr Sect E Struct Rep Online. 2009 Dec 24;66(Pt 1):o238. doi: 10.1107/S160053680905466X.
6
2,2'-[1,1'-(Propane-1,3-diyldioxy-dinitrilo)diethyl-idyne]diphenol.2,2'-[1,1'-(丙烷-1,3-二氧基-二腈基)二亚乙基]二苯酚
Acta Crystallogr Sect E Struct Rep Online. 2008 May 17;64(Pt 6):o1098. doi: 10.1107/S1600536808012701.
7
2,2'-[1,1'-(Heptane-1,7-diyldioxy-dinitrilo)diethyl-idyne]di-1-naphthol.2,2'-[1,1'-(庚烷-1,7-二基二氧基-二腈基)二亚乙基]二-1-萘酚。
Acta Crystallogr Sect E Struct Rep Online. 2009 Jun 20;65(Pt 7):o1627. doi: 10.1107/S1600536809022727.
8
5,5'-Dimeth-oxy-2,2'-[(pentane-1,5-diyl-dioxy)bis-(nitrilo-methyl-idyne)]diphenol.5,5'-二甲氧基-2,2'-[(戊烷-1,5-二基二氧基)双-(亚氨甲基亚基)]二苯酚。
Acta Crystallogr Sect E Struct Rep Online. 2009 Apr 30;65(Pt 5):o1160. doi: 10.1107/S1600536809014986.
9
6,6'-Dihydr-oxy-2,2'-[(propane-1,3-diyl-dioxy)bis-(nitrilo-methyl-idyne)]diphenol.6,6'-二羟基-2,2'-[(丙烷-1,3-二氧基双(亚氨甲基亚基)]二苯酚。
Acta Crystallogr Sect E Struct Rep Online. 2008 Aug 23;64(Pt 9):o1810. doi: 10.1107/S1600536808026731.
10
5,5'-Dimeth-oxy-2,2'-[(nonane-1,9-diyldi-oxy)bis-(nitrilo-methyl-idyne)]diphenol.5,5'-二甲氧基-2,2'-[(壬烷-1,9-二氧基双(亚氨甲基亚基)]二苯酚。
Acta Crystallogr Sect E Struct Rep Online. 2009 Oct 17;65(Pt 11):o2771. doi: 10.1107/S1600536809041038.

引用本文的文献

1
4-Bromo-2-{(E)-3-[1-(hydroxy-imino)eth-yl]phenyl-imino-meth-yl}phenol.4-溴-2-{(E)-3-[1-(羟基亚氨基)乙基]苯基亚氨基甲基}苯酚
Acta Crystallogr Sect E Struct Rep Online. 2009 Nov 21;65(Pt 12):o3154. doi: 10.1107/S1600536809048855.

本文引用的文献

1
The C-h···o hydrogen bond:  structural implications and supramolecular design.C-H···O氢键:结构影响与超分子设计
Acc Chem Res. 1996 Sep;29(9):441-9. doi: 10.1021/ar950135n.
2
6,6'-Dihydr-oxy-2,2'-[(pentane-1,5-diyl-dioxy)bis-(nitrilo-methyl-idyne)]diphenol.6,6'-二羟基-2,2'-[(戊烷-1,5-二基二氧基)双(亚氨甲基亚基)]二苯酚。
Acta Crystallogr Sect E Struct Rep Online. 2008 Jul 26;64(Pt 8):o1600-1. doi: 10.1107/S1600536808023064.
3
1,1'-[(Hexane-1,6-diyldi-oxy)bis-(nitrilo-methyl-idyne)]dinaphthalene.1,1'-[(己烷-1,6-二基二氧基)双-(腈基亚甲基)]二萘
Acta Crystallogr Sect E Struct Rep Online. 2008 Jul 5;64(Pt 8):o1405. doi: 10.1107/S160053680801920X.
4
A short history of SHELX.SHELX简史。
Acta Crystallogr A. 2008 Jan;64(Pt 1):112-22. doi: 10.1107/S0108767307043930. Epub 2007 Dec 21.
5
A heterometal single-molecule magnet of [MnIII2NiII2Cl2(salpa)2].
J Am Chem Soc. 2005 Apr 6;127(13):4568-9. doi: 10.1021/ja042217p.
6
Antiferromagnetic FeIII6 ring and single-molecule magnet MnII3MnIII4 wheel.反铁磁FeIII6环和单分子磁体MnII3MnIII4轮。
Inorg Chem. 2005 Mar 7;44(5):1208-10. doi: 10.1021/ic0484203.
7
Ferromagnetic and antiferromagnetic intermolecular interactions in a new family of Mn4 complexes with an energy barrier to magnetization reversal.具有磁化反转能垒的新型锰四核配合物中的铁磁和反铁磁分子间相互作用。
J Am Chem Soc. 2003 Nov 19;125(46):14046-58. doi: 10.1021/ja0367086.