Suppr超能文献

辐射诱导的DNA损伤在幼龄动物中的诱导和持续比在老龄动物中更明显。

Induction and persistence of radiation-induced DNA damage is more pronounced in young animals than in old animals.

作者信息

Hudson Darryl, Kovalchuk Igor, Koturbash Igor, Kolb Bryan, Martin Olga A, Kovalchuk Olga

机构信息

Department of Biological Sciences, University of Lethbridge, Lethbridge, AB, T1K 3M4 Canada.

出版信息

Aging (Albany NY). 2011 Jun;3(6):609-20. doi: 10.18632/aging.100340.

Abstract

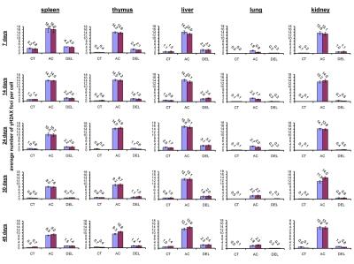
Younger individuals are more prone to develop cancer upon ionizing radiation (IR) exposure. Radiation-induced tumors are associated with inefficient repair of IR-induced DNA damage and genome instability. Phosphorylation of histone H2AX (γ-H2AX) is the initial event in repair of IR-induced DNA damage on the chromatin flanking the DNA strand breaks. This step is crucially important for the repair of DNA strand breaks and for the maintenance of genome stability. We studied the molecular underpinnings of the age-related IR effects using an animal model. By assaying for IR-induced γ-H2AX foci we analyzed the induction and repair of the DNA strand breaks in spleen, thymus, liver, lung, kidney, cerebellum, hippocampus, frontal cortex and olfactory bulb of 7, 14, 24, 30 and 45 days old male and female mice as a function of age. We demonstrate that tissues of younger animals are much more susceptible to IR-induced DNA damage. Younger animals exhibited higher levels of γ-H2AX formation which partially correlated with cellular proliferation and expression of DNA repair proteins. Induction and persistence of γ-H2AX foci was the highest in lymphoid organs (thymus and spleen) of 7 and 14 day old mice. The lowest focal induction was seen in lung and brain of young animals. The mechanisms of cell and tissue-specificity of in vivo IR responses need to be further dissected. This study provides a roadmap for the future analyses of DNA damage and repair induction in young individuals.

摘要

较年轻的个体在受到电离辐射(IR)照射后更容易患癌症。辐射诱导的肿瘤与IR诱导的DNA损伤修复效率低下和基因组不稳定有关。组蛋白H2AX(γ-H2AX)的磷酸化是修复DNA链断裂侧翼染色质上IR诱导的DNA损伤的初始事件。这一步骤对于DNA链断裂的修复和基因组稳定性的维持至关重要。我们使用动物模型研究了与年龄相关的IR效应的分子基础。通过检测IR诱导的γ-H2AX病灶,我们分析了7、14、24、30和45日龄雄性和雌性小鼠的脾脏、胸腺、肝脏、肺、肾脏、小脑、海马体、额叶皮质和嗅球中DNA链断裂的诱导和修复情况,并将其作为年龄的函数。我们证明,较年轻动物的组织对IR诱导的DNA损伤更为敏感。较年轻的动物表现出更高水平的γ-H2AX形成,这与细胞增殖和DNA修复蛋白的表达部分相关。γ-H2AX病灶的诱导和持续存在在7日龄和14日龄小鼠的淋巴器官(胸腺和脾脏)中最高。在年轻动物的肺和脑中观察到最低的病灶诱导。体内IR反应的细胞和组织特异性机制需要进一步剖析。这项研究为未来分析年轻个体中的DNA损伤和修复诱导提供了路线图。

https://cdn.ncbi.nlm.nih.gov/pmc/blobs/fa00/3164369/c5695c29e8de/aging-03-609-g001.jpg

文献检索

告别复杂PubMed语法,用中文像聊天一样搜索,搜遍4000万医学文献。AI智能推荐,让科研检索更轻松。

立即免费搜索

文件翻译

保留排版,准确专业,支持PDF/Word/PPT等文件格式,支持 12+语言互译。

免费翻译文档

深度研究

AI帮你快速写综述,25分钟生成高质量综述,智能提取关键信息,辅助科研写作。

立即免费体验