Suppr超能文献

体外药效动力学系统中莫西沙星联合利福平 7 天疗法与 5 天疗法治疗结核分枝杆菌的效果。

Effect of administration of moxifloxacin plus rifampin against Mycobacterium tuberculosis for 7 of 7 days versus 5 of 7 days in an in vitro pharmacodynamic system.

机构信息

Center for Biodefense and Emerging Infections, Ordway Research Institute, Albany, New York, USA.

出版信息

mBio. 2011 Jul 12;2(4):e00108-11. doi: 10.1128/mBio.00108-11. Print 2011.

Abstract

UNLABELLED

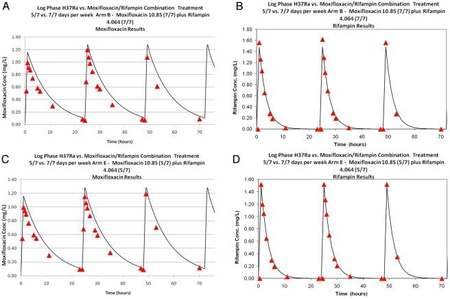
Some trials administered antituberculosis agents for 5 of 7 days (5/7-day regimen) to optimize adherence. Since moxifloxacin has a longer half-life than rifampin, rifampin concentrations are <1% of the maximum concentration in serum (C(max)) on day 6 and nondetectable on day 7, while concentrations of moxifloxacin remain and are able to induce error-prone replication. We determined if functional moxifloxacin monotherapy for 24 h/week caused resistance. In in vitro pharmacodynamic experiments, Mycobacterium tuberculosis was treated with mean area under the concentration-time curve (AUC) exposures for moxifloxacin and rifampin of 400 and 600 mg/kg/day and exposures equal to 1 standard deviation (SD) above and below the mean values. The drugs were administered on schedules of 7/7 days and 5/7 days. Over the 28-day experiments, bacteria were plated onto antibiotic-free agar to determine the effects of exposure and schedule on the total population. MICs were checked for emergence of resistance. At days 7 and 14, there was a 0.56- to 1.22-log(10)-CFU/ml greater cell kill with the 7/7-day regimen versus the 5/7-day regimen (low exposure). This difference was not seen for the larger exposures at day 21. At day 23, the low-exposure 5/7-day arm had breakthrough resistance, with the total count increasing to >2 log(10) CFU/ml above the low-exposure 7/7-day arm. Pharmacokinetic mismatching of drugs in the therapy of tuberculosis may result in emergence of resistance when a drug holiday is imposed during which there is functional monotherapy and where the remaining agent induces error-prone replication. This is particularly true for the portion of the population where the clearance is higher (1 SD above the mean).

IMPORTANCE

Directly observed therapy is a cornerstone of treatment of Mycobacterium tuberculosis. Patients are often given a drug holiday to facilitate the direct observation of therapy. With rifampin and moxifloxacin, there is a discordance between the half-lives of these agents (1.9 versus 6.5 h when employed in combination). In addition, moxifloxacin induces error-prone replication in Mycobacterium tuberculosis. In this experiment, we demonstrate that the drug holiday (5 of 7 days of therapy [5/7-day regimen]) allows the emergence of resistance to moxifloxacin, which was not seen with 7/7-day therapy. If drug holidays are used, it is imperative to better match pharmacokinetics to minimize the risk of emergence of resistance.

摘要

未加说明

一些试验将抗结核药物治疗方案缩短为 7 天中的 5 天(5/7 天方案),以优化患者的治疗依从性。由于莫西沙星的半衰期长于利福平,因此在第 6 天时,利福平在血清中的浓度<最大浓度(C(max))的 1%,第 7 天检测不到,而莫西沙星的浓度仍可诱导易出错的复制。我们确定每周莫西沙星单药治疗 24 小时是否会导致耐药性。在体外药效动力学实验中,用莫西沙星和利福平的 AUC 值(分别为 400 和 600mg/kg/天)和高于和低于平均值 1 个标准差的 AUC 值对结核分枝杆菌进行治疗。药物在 7/7 天和 5/7 天的治疗方案中进行给药。在 28 天的实验中,将细菌接种于无抗生素琼脂平板上,以确定暴露和方案对总菌群的影响。检查 MIC 以确定是否出现耐药性。在第 7 天和第 14 天,与 5/7 天方案相比,7/7 天方案的细胞杀伤率高 0.56 到 1.22 个对数(10)CFU/ml(低暴露)。在第 21 天,较大的暴露时未观察到这种差异。在第 23 天,低暴露的 5/7 天方案出现突破耐药,总计数比低暴露的 7/7 天方案增加了>2 个对数(10)CFU/ml。当在治疗期间实施药物假期,其中存在功能单药治疗且剩余药物诱导易出错的复制时,药物在治疗肺结核中的药代动力学不匹配可能导致耐药性的出现。对于清除率较高(高于平均值 1 个标准差)的人群,这一点尤其正确。

重要意义

直接观察治疗是治疗结核分枝杆菌的基石。经常给患者提供药物假期,以方便直接观察治疗。利福平与莫西沙星联合使用时,这两种药物的半衰期存在差异(1.9 与 6.5 小时)。此外,莫西沙星可诱导结核分枝杆菌产生易错复制。在这项实验中,我们证明药物假期(7 天治疗中的 5 天[5/7 天方案])会导致莫西沙星耐药性的出现,而在 7/7 天方案中没有观察到这种情况。如果使用药物假期,必须更好地匹配药代动力学,以最大程度降低耐药性出现的风险。

https://cdn.ncbi.nlm.nih.gov/pmc/blobs/2fa8/3132875/7e96d647aba4/mbo0041111330001.jpg

文献检索

告别复杂PubMed语法,用中文像聊天一样搜索,搜遍4000万医学文献。AI智能推荐,让科研检索更轻松。

立即免费搜索

文件翻译

保留排版,准确专业,支持PDF/Word/PPT等文件格式,支持 12+语言互译。

免费翻译文档

深度研究

AI帮你快速写综述,25分钟生成高质量综述,智能提取关键信息,辅助科研写作。

立即免费体验