• 文献检索
  • 文档翻译
  • 深度研究
  • 学术资讯
  • Suppr Zotero 插件Zotero 插件
  • 邀请有礼
  • 套餐&价格
  • 历史记录
应用&插件
Suppr Zotero 插件Zotero 插件浏览器插件Mac 客户端Windows 客户端微信小程序
定价
高级版会员购买积分包购买API积分包
服务
文献检索文档翻译深度研究API 文档MCP 服务
关于我们
关于 Suppr公司介绍联系我们用户协议隐私条款
关注我们

Suppr 超能文献

核心技术专利:CN118964589B侵权必究
粤ICP备2023148730 号-1Suppr @ 2026

文献检索

告别复杂PubMed语法,用中文像聊天一样搜索,搜遍4000万医学文献。AI智能推荐,让科研检索更轻松。

立即免费搜索

文件翻译

保留排版,准确专业,支持PDF/Word/PPT等文件格式,支持 12+语言互译。

免费翻译文档

深度研究

AI帮你快速写综述,25分钟生成高质量综述,智能提取关键信息,辅助科研写作。

立即免费体验

新型香豆素衍生物的抗氧化活性。

The antioxidant activity of new coumarin derivatives.

作者信息

Kadhum Abdul Amir H, Al-Amiery Ahmed A, Musa Ahmed Y, Mohamad Abu Bakar

机构信息

Department of Chemical and Process Engineering, Faculty of Engineering and Built Environment, Universiti Kebangsaan Malaysia, Bangi, Selangor 43600, Malaysia; E-Mails:

出版信息

Int J Mol Sci. 2011;12(9):5747-61. doi: 10.3390/ijms12095747. Epub 2011 Sep 7.

DOI:10.3390/ijms12095747
PMID:22016624
原文链接:https://pmc.ncbi.nlm.nih.gov/articles/PMC3189748/
Abstract

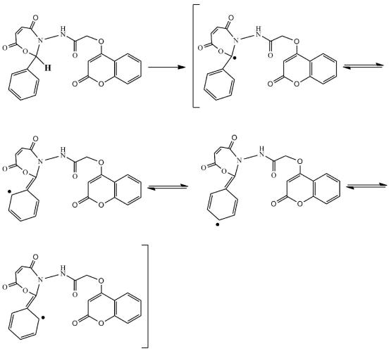
The antioxidant activity of two synthesized coumarins namely, N-(4,7-dioxo-2- phenyl-1,3-oxazepin-3(2H,4H,7H)-yl)-2-(2-oxo-2H-chromen-4-yloxy)acetamide 5 and N-(4-oxo-2-phenylthiazolidin-3-yl)-2-(2-oxo-2H-chromen-4-yloxy)acetamide 6 were studied with the DPPH, hydrogen peroxide and nitric oxide radical methods and compared with the known antioxidant ascorbic acid. Compounds 5 and 6 were synthesized in a good yield from the addition reaction of maleic anhydride or mercaptoacetic acid to compound 4, namely N'-benzylidene-2-(2-oxo-2H-chromen-4-yloxy)acetohydrazide. Compound 4 was synthesized by the condensation of compound 3, namely 2-(2-oxo-2H-chromen-4-yloxy) acetohydrazide, with benzaldehyde. Compound 3, however, was synthesized from the addition of hydrazine to compound 2, namely ethyl 2-(2-oxo-2H-chromen-4-yloxy)acetate, which was synthesized from the reaction of ethyl bromoacetate with 4-hydroxycoumarin 1. Structures for the synthesized coumarins 2-6 are proposed on the basis of spectroscopic evidence.

摘要

研究了两种合成香豆素,即N-(4,7-二氧代-2-苯基-1,3-恶唑并[3,2-a]氮杂卓-3(2H,4H,7H)-基)-2-(2-氧代-2H-色烯-4-基氧基)乙酰胺5和N-(4-氧代-2-苯基噻唑烷-3-基)-2-(2-氧代-2H-色烯-4-基氧基)乙酰胺6的抗氧化活性,采用DPPH、过氧化氢和一氧化氮自由基方法,并与已知抗氧化剂抗坏血酸进行比较。化合物5和6由马来酸酐或巯基乙酸与化合物4,即N'-亚苄基-2-(2-氧代-2H-色烯-4-基氧基)乙酰肼加成反应高产率合成。化合物4由化合物3,即2-(2-氧代-2H-色烯-4-基氧基)乙酰肼与苯甲醛缩合而成。然而,化合物3由肼与化合物2,即2-(2-氧代-2H-色烯-4-基氧基)乙酸乙酯加成反应合成,而该化合物由溴乙酸乙酯与4-羟基香豆素1反应合成。根据光谱证据提出了合成香豆素2-6的结构。

https://cdn.ncbi.nlm.nih.gov/pmc/blobs/b1f0/3189748/e7b557bfbef4/ijms-12-05747f10.jpg
https://cdn.ncbi.nlm.nih.gov/pmc/blobs/b1f0/3189748/7bdb821881ca/ijms-12-05747f1.jpg
https://cdn.ncbi.nlm.nih.gov/pmc/blobs/b1f0/3189748/e4991c34028b/ijms-12-05747f2.jpg
https://cdn.ncbi.nlm.nih.gov/pmc/blobs/b1f0/3189748/f9e3062688bc/ijms-12-05747f3.jpg
https://cdn.ncbi.nlm.nih.gov/pmc/blobs/b1f0/3189748/67398355303a/ijms-12-05747f4.jpg
https://cdn.ncbi.nlm.nih.gov/pmc/blobs/b1f0/3189748/58e2ec722fda/ijms-12-05747f5.jpg
https://cdn.ncbi.nlm.nih.gov/pmc/blobs/b1f0/3189748/d79e26b7bf66/ijms-12-05747f6.jpg
https://cdn.ncbi.nlm.nih.gov/pmc/blobs/b1f0/3189748/b2fb92250830/ijms-12-05747f7.jpg
https://cdn.ncbi.nlm.nih.gov/pmc/blobs/b1f0/3189748/2c24c96d1c40/ijms-12-05747f8.jpg
https://cdn.ncbi.nlm.nih.gov/pmc/blobs/b1f0/3189748/b88bc16c9c3a/ijms-12-05747f9.jpg
https://cdn.ncbi.nlm.nih.gov/pmc/blobs/b1f0/3189748/e7b557bfbef4/ijms-12-05747f10.jpg
https://cdn.ncbi.nlm.nih.gov/pmc/blobs/b1f0/3189748/7bdb821881ca/ijms-12-05747f1.jpg
https://cdn.ncbi.nlm.nih.gov/pmc/blobs/b1f0/3189748/e4991c34028b/ijms-12-05747f2.jpg
https://cdn.ncbi.nlm.nih.gov/pmc/blobs/b1f0/3189748/f9e3062688bc/ijms-12-05747f3.jpg
https://cdn.ncbi.nlm.nih.gov/pmc/blobs/b1f0/3189748/67398355303a/ijms-12-05747f4.jpg
https://cdn.ncbi.nlm.nih.gov/pmc/blobs/b1f0/3189748/58e2ec722fda/ijms-12-05747f5.jpg
https://cdn.ncbi.nlm.nih.gov/pmc/blobs/b1f0/3189748/d79e26b7bf66/ijms-12-05747f6.jpg
https://cdn.ncbi.nlm.nih.gov/pmc/blobs/b1f0/3189748/b2fb92250830/ijms-12-05747f7.jpg
https://cdn.ncbi.nlm.nih.gov/pmc/blobs/b1f0/3189748/2c24c96d1c40/ijms-12-05747f8.jpg
https://cdn.ncbi.nlm.nih.gov/pmc/blobs/b1f0/3189748/b88bc16c9c3a/ijms-12-05747f9.jpg
https://cdn.ncbi.nlm.nih.gov/pmc/blobs/b1f0/3189748/e7b557bfbef4/ijms-12-05747f10.jpg

相似文献

1
The antioxidant activity of new coumarin derivatives.新型香豆素衍生物的抗氧化活性。
Int J Mol Sci. 2011;12(9):5747-61. doi: 10.3390/ijms12095747. Epub 2011 Sep 7.
2
Synthesis and characterization of new thiazolidinones containing coumarin moieties and their antibacterial and antioxidant activities.合成及表征含香豆素部分的新型噻唑烷酮及其抗菌和抗氧化活性。
Molecules. 2012 Aug 3;17(8):9321-34. doi: 10.3390/molecules17089321.
3
SYNTHESIS AND BIOLOGICAL EVALUATION OF NOVEL COUMARIN DERIVATIVES AS ANTIOXIDANT AGENTS.新型香豆素衍生物作为抗氧化剂的合成及生物学评价
Bioorg Khim. 2015 May-Jun;41(3):366-74. doi: 10.7868/s0132342315030082.
4
Synthesis and free radical scavenging activity of coumarin derivatives containing a 2-methylbenzothiazoline motif.含 2-甲基苯并噻唑啉基的香豆素衍生物的合成及自由基清除活性。
Arch Pharm (Weinheim). 2011 Sep;344(9):588-94. doi: 10.1002/ardp.201000271. Epub 2011 Aug 25.
5
Coumarins as Potential Antioxidant Agents Complemented with Suggested Mechanisms and Approved by Molecular Modeling Studies.香豆素作为潜在的抗氧化剂,辅以建议机制并经分子模拟研究验证。
Molecules. 2016 Jan 23;21(2):135. doi: 10.3390/molecules21020135.
6
Synthesis and screening of biologically significant 5-hydroxy isatin derivatives for antioxidant activity.具有生物活性的5-羟基异吲哚酮衍生物的合成及其抗氧化活性筛选
Adv Exp Med Biol. 2015;822:129-37. doi: 10.1007/978-3-319-08927-0_14.
7
Synthesis and antioxidant activities of novel 4-Schiff base-7-benzyloxy-coumarin derivatives.新型 4-席夫碱-7-苄氧基香豆素衍生物的合成与抗氧化活性研究。
Bioorg Med Chem Lett. 2011 Nov 15;21(22):6811-5. doi: 10.1016/j.bmcl.2011.09.029. Epub 2011 Sep 16.
8
Synthesis and antimicrobial activity of some derivatives of (7-hydroxy-2-oxo-2H-chromen-4-yl)-acetic acid hydrazide.(7-羟基-2-氧代-2H-色烯-4-基)-乙酰肼的某些衍生物的合成及其抗菌活性
Molecules. 2006 Mar 7;11(2):134-47. doi: 10.3390/11010134.
9
Synthesis of 4-methylcoumarin derivatives containing 4,5-dihydropyrazole moiety to scavenge radicals and to protect DNA.合成含 4,5-二氢吡唑部分的 4-甲基香豆素衍生物以清除自由基和保护 DNA。
Eur J Med Chem. 2012 Jul;53:159-67. doi: 10.1016/j.ejmech.2012.03.052. Epub 2012 Apr 5.
10
Investigation of the antioxidant properties of some new 4-hydroxycoumarin derivatives.某些新型4-羟基香豆素衍生物的抗氧化性能研究
Eur J Med Chem. 2009 Jul;44(7):3077-82. doi: 10.1016/j.ejmech.2008.07.007. Epub 2008 Jul 16.

引用本文的文献

1
Coumarin: A natural solution for alleviating inflammatory disorders.香豆素:缓解炎症性疾病的天然解决方案。
Curr Res Pharmacol Drug Discov. 2024 Sep 25;7:100202. doi: 10.1016/j.crphar.2024.100202. eCollection 2024.
2
Coumarin derivatives ameliorate the intestinal inflammation and pathogenic gut microbiome changes in the model of infectious colitis through antibacterial activity.香豆素衍生物通过抗菌活性改善感染性结肠炎模型中的肠道炎症和致病肠道微生物组变化。
Front Cell Infect Microbiol. 2024 Jul 15;14:1362773. doi: 10.3389/fcimb.2024.1362773. eCollection 2024.
3
Novel Coumarin Derivatives as Potential Urease Inhibitors for Kidney Stone Prevention and Antiulcer Therapy: From Synthesis to In Vivo Evaluation.

本文引用的文献

1
Antimicrobial and antioxidant activities of new metal complexes derived from 3-aminocoumarin.新型 3-氨基香豆素衍生金属配合物的抗菌和抗氧化活性。
Molecules. 2011 Aug 15;16(8):6969-84. doi: 10.3390/molecules16086969.
2
The use of umbelliferone in the synthesis of new heterocyclic compounds.利用伞形酮合成新杂环化合物。
Molecules. 2011 Aug 10;16(8):6833-43. doi: 10.3390/molecules16086833.
3
Synthesis, Characterization, Theoretical Crystal Structure, and Antibacterial Activities of Some Transition Metal Complexes of the Thiosemicarbazone (Z)-2-(pyrrolidin-2-ylidene)hydrazinecarbothioamide.
新型香豆素衍生物作为预防肾结石和抗溃疡治疗的潜在脲酶抑制剂:从合成到体内评价
Pharmaceuticals (Basel). 2023 Nov 2;16(11):1552. doi: 10.3390/ph16111552.
4
Bactericidal activity of esculetin is associated with impaired cell wall synthesis by targeting glutamate racemase of Neisseria gonorrhoeae.七叶亭的杀菌活性与通过靶向淋病奈瑟菌的谷氨酸消旋酶导致细胞壁合成受损有关。
Mol Divers. 2024 Oct;28(5):3181-3198. doi: 10.1007/s11030-023-10745-0. Epub 2023 Oct 25.
5
Synthesis, characterization and application of a novel polyazo dye as a universal acid-base indicator.一种新型聚偶氮染料作为通用酸碱指示剂的合成、表征及应用
RSC Adv. 2022 Oct 3;12(43):28034-28042. doi: 10.1039/d2ra04930a. eCollection 2022 Sep 28.
6
Synthesis of Coumarin and Homoisoflavonoid Derivatives and Analogs: The Search for New Antifungal Agents.香豆素和高异黄酮衍生物及类似物的合成:新型抗真菌剂的探索
Pharmaceuticals (Basel). 2022 Jun 3;15(6):712. doi: 10.3390/ph15060712.
7
Atypical antioxidant activity of non-phenolic amino-coumarins.非酚类氨基香豆素的非典型抗氧化活性。
RSC Adv. 2018 Jan 9;8(4):1927-1933. doi: 10.1039/c7ra12000a. eCollection 2018 Jan 5.
8
Comparison Between Hesperidin, Coumarin, and Deferoxamine Iron Chelation and Antioxidant Activity Against Excessive Iron in the Iron Overloaded Mice.橙皮苷、香豆素和去铁胺对铁过载小鼠体内过量铁的螯合及抗氧化活性比较
Front Neurosci. 2022 Feb 1;15:811080. doi: 10.3389/fnins.2021.811080. eCollection 2021.
9
Mechanism of Antiradical Activity of Newly Synthesized 4,7-Dihydroxycoumarin Derivatives-Experimental and Kinetic DFT Study.新型 4,7-二羟基香豆素衍生物抗氧化活性的作用机制——实验和动力学密度泛函理论研究。
Int J Mol Sci. 2021 Dec 9;22(24):13273. doi: 10.3390/ijms222413273.
10
Natural Coumarins: Exploring the Pharmacological Complexity and Underlying Molecular Mechanisms.天然香豆素:探索药理学复杂性及潜在分子机制。
Oxid Med Cell Longev. 2021 Aug 23;2021:6492346. doi: 10.1155/2021/6492346. eCollection 2021.
希夫碱(Z)-2-(吡咯烷-2-亚基)腙二硫代甲酰胺的一些过渡金属配合物的合成、表征、理论晶体结构和抗菌活性
Bioinorg Chem Appl. 2011;2011:483101. doi: 10.1155/2011/483101. Epub 2011 Jul 24.
4
Knoevenagel reaction in [MMIm][MSO₄]: synthesis of coumarins.[MMIm][MSO₄]中的 Knoevenagel 反应:香豆素的合成。
Molecules. 2011 May 27;16(6):4379-88. doi: 10.3390/molecules16064379.
5
Synthesis and study of novel coumarin derivatives potentially utilizable as memory media.新型香豆素衍生物的合成与研究,可能可用作存储介质。
Molecules. 2009 Nov 25;14(12):4838-48. doi: 10.3390/molecules14124838.
6
In vitro and in vivo antioxidant properties and DNA damage protective activity of green fruit of Ficus glomerata.榕属植物绿色果实的体外和体内抗氧化特性及 DNA 损伤保护活性。
Food Chem Toxicol. 2010 Feb;48(2):704-9. doi: 10.1016/j.fct.2009.11.052. Epub 2009 Nov 29.
7
Design and synthesis of some thiazolidin-4-ones based on (7-hydroxy-2-oxo-2H-chromen-4-yl) acetic acid.基于(7-羟基-2-氧代-2H-色烯-4-基)乙酸的一些噻唑烷-4-酮的设计与合成
Molecules. 2009 Jul 10;14(7):2501-13. doi: 10.3390/molecules14072501.
8
A coumarin-derived fluorescence probe selective for magnesium.一种对镁具有选择性的香豆素衍生荧光探针。
Inorg Chem. 2008 Apr 7;47(7):2252-4. doi: 10.1021/ic702388z. Epub 2008 Mar 11.
9
Design and synthesis of a coumarin-based acidichromic colorant.一种基于香豆素的酸致变色着色剂的设计与合成。
Molecules. 2007 Jul 6;12(7):1316-24. doi: 10.3390/12071316.
10
Synthesis of coumarins, 4-hydroxycoumarins, and 4-hydroxyquinolinones by tellurium-triggered cyclizations.碲引发环化合成香豆素、4-羟基香豆素和4-羟基喹啉酮。
J Org Chem. 2005 Jun 10;70(12):4682-6. doi: 10.1021/jo050070u.