Suppr超能文献

在不同心动周期时长下的收缩强度取决于物种和前负荷。

Contractile strength during variable heart duration is species and preload dependent.

作者信息

Torres Carlos A A, Janssen Paul M L

机构信息

Department of Physiology and Cell Biology, The Ohio State University, Columbus, OH 43210, USA.

出版信息

J Biomed Biotechnol. 2011;2011:294204. doi: 10.1155/2011/294204. Epub 2011 Oct 26.

Abstract

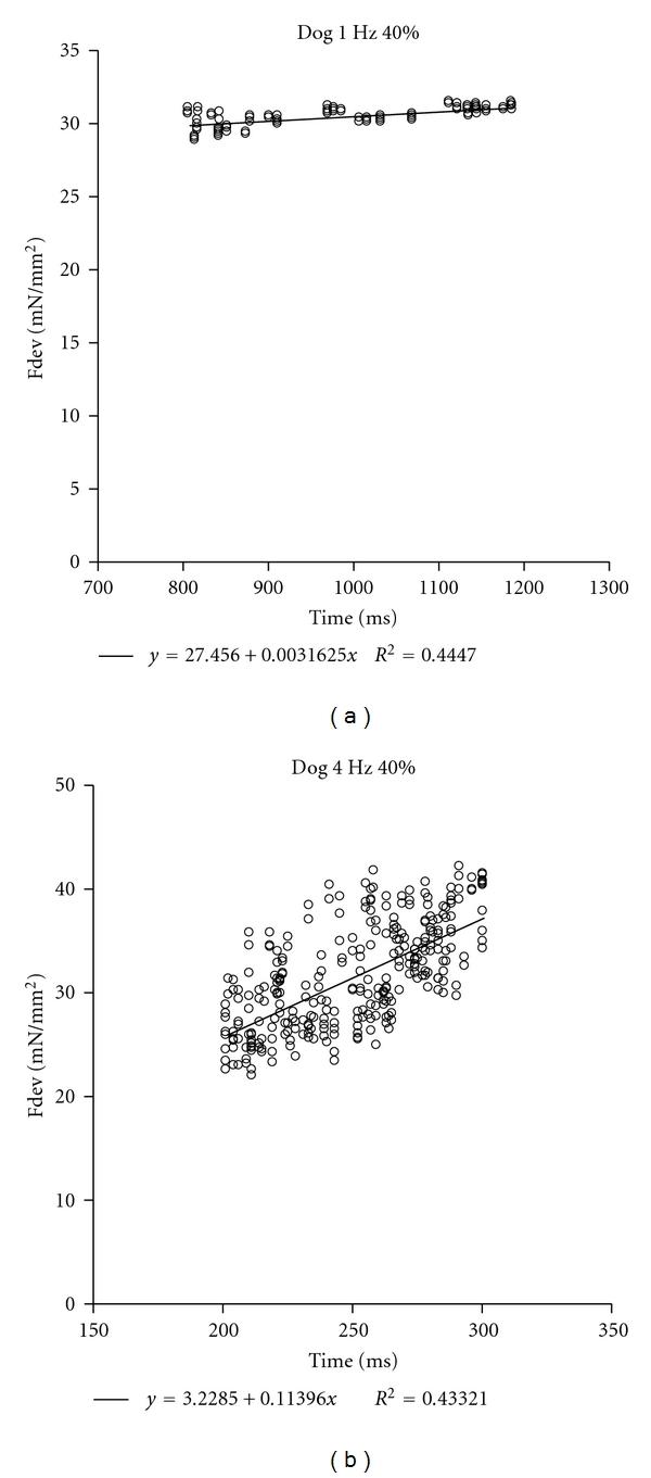
We investigate the effect of beat-to-beat variability on cardiac contractility. Cardiac trabeculae were isolated from the right ventricle of rabbits and beagle dogs and stimulated to isometrically contract, alternating between fixed steady state versus variable interbeat intervals. Trabeculae were stimulated at physiologically relevant frequencies for each species (dog 1 and 4 Hz; rabbit 2 and 4 Hz) intercalating fixed periods with 40% variability. A subset of the trabeculae (at 90% of optimal length) was stretched prior to stimulation between 5 and 13% and stimulated at the same frequencies with a fixed versus 40% variation. Fixed rate response at the same base frequency was measured before and after each variable period and the average force reported. In canine preparations no change in force was observed as a result of the imposed variability in beat-to-beat duration. In the rabbit, we observed a nonsignificant decrease in force between fixed and variable pacing at both 2 and 4 Hz (n = 8) when 40% variability was introduced. When a 5% and 13% stretch was applied, the correlation coefficient sharply increased, indicating a more prominent impact of the prebeat duration on the following cycle with higher preload.

摘要

我们研究了逐搏变异性对心脏收缩性的影响。从兔和比格犬的右心室分离出心脏小梁,刺激其进行等长收缩,在固定稳态与可变心动周期间期之间交替。以与每个物种生理相关的频率(犬为1和4Hz;兔为2和4Hz)刺激小梁,插入40%变异性的固定周期。在刺激前,将一部分小梁(处于最佳长度的90%)拉伸5%至13%,并以相同频率进行固定刺激与40%变化的刺激。在每个可变周期前后测量相同基础频率下的固定频率反应,并报告平均力。在犬的标本中,未观察到因逐搏持续时间的强制变异性而导致的力的变化。在兔中,当引入40%的变异性时,我们观察到在2Hz和4Hz时(n = 8),固定起搏与可变起搏之间的力有不显著的下降。当施加5%和13%的拉伸时,相关系数急剧增加,表明在更高前负荷下,前搏持续时间对后续周期有更显著的影响。

https://cdn.ncbi.nlm.nih.gov/pmc/blobs/d33c/3205780/b44985c38c45/JBB2011-294204.001.jpg

文献AI研究员

20分钟写一篇综述,助力文献阅读效率提升50倍。

立即体验

用中文搜PubMed

大模型驱动的PubMed中文搜索引擎

马上搜索

文档翻译

学术文献翻译模型,支持多种主流文档格式。

立即体验