Suppr超能文献

胡椒根的抗菌活性及其与不同抗生素的协同作用。

Antimicrobial activity of Piper gaudichaudianum Kuntze and its synergism with different antibiotics.

机构信息

Programa de Pós-graduação em Ciências Farmacêuticas, Universidade Estadual de Maringá, PR CEP 87020-900, Brazil.

出版信息

Molecules. 2011 Dec 1;16(12):9925-38. doi: 10.3390/molecules16129925.

Abstract

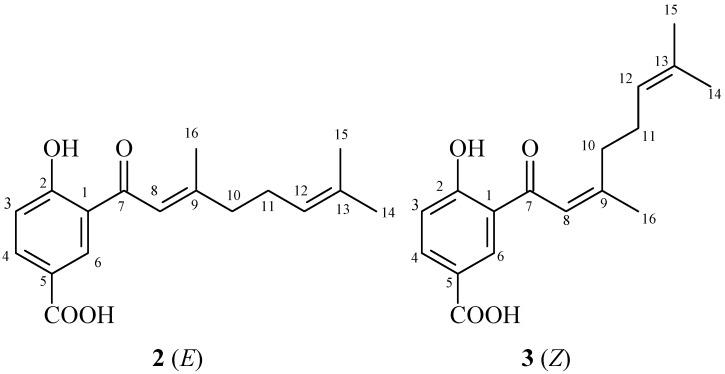
One of the oldest forms of medical practice is the use of plants for the treatment and prevention of diseases that affect humans. We have studied the antimicrobial activity and synergism of Piper gaudichaudianum Kuntze with different antibiotics. The crude extract from the leaves of P. gaudichaudianum was submitted to chromatographic separation, resulting in five fractions. Fraction F3 contained a chromone (2,2-dimethyl-6-carboxycroman-4-one), and fraction F2 contained isomers that are prenylated derivatives of benzoic acid [4-hydroxy-(3',7'-dimethyl-1'-oxo-octa-E-2'-6'-dienyl)benzoic acid and 4-hydroxy-(3',7'-dimethyl-1'-oxo-octa-2'-Z-6'-dienyl) benzoic acid]. The chemical structures of both compounds were determined by analysis of ¹H-NMR, ¹³C-NMR, COZY, DEPT, HMQC, and HMBC spectral data, and by comparison with data in the literature. The crude extract, fraction F2, and fraction F3 showed good activity against Staphylococcus aureus, Bacillus subtilis, and Candida tropicalis. The two benzoic acid derivatives only showed activity against S. aureus and B. subtilis. The bioauthographic analysis showed an inhibition zone only in fraction F2. Fractions F2 and F3 showed synergism in combination with ceftriaxone, tetracycline, and vancomycin. Morphological changes in form and structure were found by scanning electron microscopy in S. aureus treated with the combination of fraction F2 with vancomycin.

摘要

植物被用于治疗和预防影响人类的疾病,这是最古老的医疗实践形式之一。我们研究了 Piper gaudichaudianum Kuntze 与不同抗生素的协同抗菌活性。从 P. gaudichaudianum 的叶子中提取的粗提物进行了色谱分离,得到了五个馏分。馏分 F3 含有一种色酮(2,2-二甲基-6-羧基铬曼-4-酮),而馏分 F2 含有两种异物体,它们是苯甲酸的prenylated 衍生物[4-羟基-(3',7'-二甲基-1'-氧代-octa-E-2'-6'-二烯基)苯甲酸和 4-羟基-(3',7'-二甲基-1'-氧代-octa-2'-Z-6'-二烯基)苯甲酸]。通过分析 ¹H-NMR、¹³C-NMR、COZY、DEPT、HMQC 和 HMBC 光谱数据,并与文献数据进行比较,确定了这两种化合物的化学结构。粗提物、馏分 F2 和馏分 F3 对金黄色葡萄球菌、枯草芽孢杆菌和热带假丝酵母表现出良好的活性。两种苯甲酸衍生物仅对金黄色葡萄球菌和枯草芽孢杆菌表现出活性。生物鉴定分析显示仅在馏分 F2 中显示出抑制区。馏分 F2 和 F3 与头孢曲松、四环素和万古霉素联合使用显示出协同作用。用馏分 F2 与万古霉素联合处理金黄色葡萄球菌时,通过扫描电子显微镜观察到形态和结构的变化。

https://cdn.ncbi.nlm.nih.gov/pmc/blobs/473f/6264199/8faf18c938f8/molecules-16-09925-g001.jpg

文献AI研究员

20分钟写一篇综述,助力文献阅读效率提升50倍。

立即体验

用中文搜PubMed

大模型驱动的PubMed中文搜索引擎

马上搜索

文档翻译

学术文献翻译模型,支持多种主流文档格式。

立即体验