• 文献检索
  • 文档翻译
  • 深度研究
  • 学术资讯
  • Suppr Zotero 插件Zotero 插件
  • 邀请有礼
  • 套餐&价格
  • 历史记录
应用&插件
Suppr Zotero 插件Zotero 插件浏览器插件Mac 客户端Windows 客户端微信小程序
定价
高级版会员购买积分包购买API积分包
服务
文献检索文档翻译深度研究API 文档MCP 服务
关于我们
关于 Suppr公司介绍联系我们用户协议隐私条款
关注我们

Suppr 超能文献

核心技术专利:CN118964589B侵权必究
粤ICP备2023148730 号-1Suppr @ 2026

文献检索

告别复杂PubMed语法,用中文像聊天一样搜索,搜遍4000万医学文献。AI智能推荐,让科研检索更轻松。

立即免费搜索

文件翻译

保留排版,准确专业,支持PDF/Word/PPT等文件格式,支持 12+语言互译。

免费翻译文档

深度研究

AI帮你快速写综述,25分钟生成高质量综述,智能提取关键信息,辅助科研写作。

立即免费体验

与年龄相关的周边视觉处理下降:眼球运动的作用。

Age-related decline of peripheral visual processing: the role of eye movements.

机构信息

Institute of Physiology and Anatomy, German Sport University, Am Sportpark Müngersdorf 6, 50933, Cologne, Germany.

出版信息

Exp Brain Res. 2012 Mar;217(1):117-24. doi: 10.1007/s00221-011-2978-3. Epub 2011 Dec 17.

DOI:10.1007/s00221-011-2978-3
PMID:22179529
原文链接:https://pmc.ncbi.nlm.nih.gov/articles/PMC3279647/
Abstract

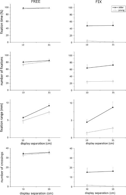
Earlier work suggests that the area of space from which useful visual information can be extracted (useful field of view, UFoV) shrinks in old age. We investigated whether this shrinkage, documented previously with a visual search task, extends to a bimanual tracking task. Young and elderly subjects executed two concurrent tracking tasks with their right and left arms. The separation between tracking displays varied from 3 to 35 cm. Subjects were asked to fixate straight ahead (condition FIX) or were free to move their eyes (condition FREE). Eye position was registered. In FREE, young subjects tracked equally well at all display separations. Elderly subjects produced higher tracking errors, and the difference between age groups increased with display separation. Eye movements were comparable across age groups. In FIX, elderly and young subjects tracked less well at large display separations. Seniors again produced higher tracking errors in FIX, but the difference between age groups did not increase reliably with display separation. However, older subjects produced a substantial number of illicit saccades, and when the effect of those saccades was factored out, the difference between young and older subjects' tracking did increase significantly with display separation in FIX. We conclude that the age-related shrinkage of UFoV, previously documented with a visual search task, is observable with a manual tracking task as well. Older subjects seem to partly compensate their deficit by illicit saccades. Since the deficit is similar in both conditions, it may be located downstream from the convergence of retinal and oculomotor signals.

摘要

先前的研究表明,人眼能够从中提取有用视觉信息的视野区域(有用视野,UFOV)会随着年龄的增长而缩小。我们研究了这种缩小是否会延伸到手眼协调的追踪任务中,而之前的研究是在视觉搜索任务中记录的。在这项研究中,年轻组和老年组被试分别用他们的右手和左手执行两个同时进行的追踪任务。追踪显示的分离距离从 3 厘米到 35 厘米不等。被试可以选择注视正前方(注视条件,FIX)或自由移动眼睛(自由条件,FREE)。记录眼睛位置。在 FREE 条件下,年轻组在所有显示分离距离上的追踪表现都一样好。老年组的追踪误差更高,并且年龄组之间的差异随着显示分离的增加而增加。眼动表现与年龄组无关。在 FIX 条件下,老年人和年轻人在大的显示分离时追踪表现更差。老年人在 FIX 条件下的追踪误差仍然更高,但是年龄组之间的差异并没有随着显示分离的增加而可靠地增加。然而,老年组产生了大量的非法扫视,当考虑这些扫视的影响时,在 FIX 条件下,年轻组和老年组的追踪差异随着显示分离的增加而显著增加。我们得出结论,先前在视觉搜索任务中记录的 UFOV 随年龄缩小的现象,在手眼协调的追踪任务中也可以观察到。老年组似乎通过非法扫视部分弥补了他们的缺陷。由于在两种条件下的缺陷相似,它可能位于视网膜和眼动信号融合的下游。

https://cdn.ncbi.nlm.nih.gov/pmc/blobs/1bfa/3279647/cc41dbc10966/221_2011_2978_Fig3_HTML.jpg
https://cdn.ncbi.nlm.nih.gov/pmc/blobs/1bfa/3279647/6041ff529fd7/221_2011_2978_Fig1_HTML.jpg
https://cdn.ncbi.nlm.nih.gov/pmc/blobs/1bfa/3279647/018e58841a3f/221_2011_2978_Fig2_HTML.jpg
https://cdn.ncbi.nlm.nih.gov/pmc/blobs/1bfa/3279647/cc41dbc10966/221_2011_2978_Fig3_HTML.jpg
https://cdn.ncbi.nlm.nih.gov/pmc/blobs/1bfa/3279647/6041ff529fd7/221_2011_2978_Fig1_HTML.jpg
https://cdn.ncbi.nlm.nih.gov/pmc/blobs/1bfa/3279647/018e58841a3f/221_2011_2978_Fig2_HTML.jpg
https://cdn.ncbi.nlm.nih.gov/pmc/blobs/1bfa/3279647/cc41dbc10966/221_2011_2978_Fig3_HTML.jpg

相似文献

1
Age-related decline of peripheral visual processing: the role of eye movements.与年龄相关的周边视觉处理下降:眼球运动的作用。
Exp Brain Res. 2012 Mar;217(1):117-24. doi: 10.1007/s00221-011-2978-3. Epub 2011 Dec 17.
2
The role of eye movements, attention, and hand movements on age-related differences in pegboard tests.眼球运动、注意力和手部运动对插板测试中与年龄相关的差异的作用。
J Neurophysiol. 2021 Nov 1;126(5):1710-1722. doi: 10.1152/jn.00629.2020. Epub 2021 Oct 13.
3
Comparing eye movements during position tracking and identity tracking: No evidence for separate systems.比较位置追踪和身份追踪过程中的眼动:无证据支持存在独立系统。
Atten Percept Psychophys. 2018 Feb;80(2):453-460. doi: 10.3758/s13414-017-1447-x.
4
Suppression of reflexive saccades in younger and older adults: age comparisons on an antisaccade task.年轻人和老年人中反射性扫视的抑制:反扫视任务中的年龄比较
Mem Cognit. 1999 Jul;27(4):584-91. doi: 10.3758/bf03211552.
5
Altered visual strategies and attention are related to increased force fluctuations during a pinch grip task in older adults.视觉策略和注意力的改变与老年人捏握任务期间力量波动增加有关。
J Neurophysiol. 2017 Nov 1;118(5):2537-2548. doi: 10.1152/jn.00928.2016. Epub 2017 Jul 12.
6
Magnifying visual target information and the role of eye movements in motor sequence learning.放大视觉目标信息及眼动在运动序列学习中的作用。
Acta Psychol (Amst). 2016 Jan;163:59-64. doi: 10.1016/j.actpsy.2015.11.004. Epub 2015 Nov 22.
7
The role of eye movements in visuo-manual adaptation.眼动在视觉-手动适应中的作用。
Exp Brain Res. 2006 Jun;171(4):524-9. doi: 10.1007/s00221-005-0301-x. Epub 2006 Jan 18.
8
Visual signals contribute to the coding of gaze direction.视觉信号有助于注视方向的编码。
Exp Brain Res. 2002 Jun;144(3):281-92. doi: 10.1007/s00221-002-1029-5. Epub 2002 Apr 13.
9
Blur, eye movements and performance on a driving visual recognition slide test.视力模糊、眼球运动与驾驶视觉识别幻灯片测试的表现
Ophthalmic Physiol Opt. 2015 Sep;35(5):522-9. doi: 10.1111/opo.12230. Epub 2015 Jul 17.
10
Transcranial magnetic stimulation of the human frontal eye field: effects on visual perception and attention.经颅磁刺激人类额叶眼区:对视觉感知和注意力的影响。
J Cogn Neurosci. 2002 Oct 1;14(7):1109-20. doi: 10.1162/089892902320474553.

引用本文的文献

1
Cautionary response strategy and impairment of post-conflict response selection underlie age-related differences in a location-based Stroop task.在基于位置的Stroop任务中,年龄相关差异的基础是警示反应策略和冲突后反应选择的受损。
Front Psychol. 2025 Jul 21;16:1565846. doi: 10.3389/fpsyg.2025.1565846. eCollection 2025.
2
Estimating the Impact of Aging on Visual Function Using Useful Field of View (UFOV) with a Focus on the Population of Gangwon-do in Korea.利用有用视野(UFOV)评估衰老对视觉功能的影响,重点关注韩国江原道人群。
Brain Sci. 2024 Dec 29;15(1):29. doi: 10.3390/brainsci15010029.
3
The Effects of Cognition and Vision While Walking in Younger and Older Adults.

本文引用的文献

1
Old age affects gaze and postural coordination.老年会影响眼球运动和姿势协调。
Gait Posture. 2011 Feb;33(2):227-32. doi: 10.1016/j.gaitpost.2010.11.010. Epub 2010 Dec 4.
2
Attentional landscapes in reaching and grasping.伸手和抓握过程中的注意力格局。
Vision Res. 2010 Jun 1;50(11):999-1013. doi: 10.1016/j.visres.2010.02.008. Epub 2010 Feb 26.
3
Comparing visual performance and useful field of view of older and younger drivers - biomed 2009.比较老年和年轻驾驶员的视觉性能与有用视野——生物医学2009年
年轻人和老年人行走时认知与视觉的影响
Sensors (Basel). 2024 Dec 5;24(23):7789. doi: 10.3390/s24237789.
4
Reduced spatial attentional distribution in older adults.老年人空间注意力分布减少。
J Vis. 2024 Apr 1;24(4):8. doi: 10.1167/jov.24.4.8.
5
Could driving help us to "see better"? A comparative assessment of saccadic efficiency, visual speed, and attention.开车能帮助我们“看得更清楚”吗?扫视效率、视觉速度和注意力的比较评估。
BMC Ophthalmol. 2024 Feb 27;24(1):90. doi: 10.1186/s12886-024-03349-1.
6
The impact of perceptual complexity on road crossing decisions in younger and older adults.感知复杂性对年轻和老年成年人道路穿越决策的影响。
Sci Rep. 2024 Jan 4;14(1):479. doi: 10.1038/s41598-023-49456-9.
7
Tai Chi practice enables prefrontal cortex bilateral activation and gait performance prioritization during dual-task negotiating obstacle in older adults.太极拳练习能使老年人在双任务通过障碍物时双侧激活前额叶皮层并优先考虑步态表现。
Front Aging Neurosci. 2022 Nov 18;14:1000427. doi: 10.3389/fnagi.2022.1000427. eCollection 2022.
8
Profiles of Motor-Cognitive Interference in Parkinson's Disease-The Trail-Walking-Test to Discriminate between Motor Phenotypes.帕金森病中运动-认知干扰的特征——用于区分运动表型的步行测试
Brain Sci. 2022 Sep 9;12(9):1217. doi: 10.3390/brainsci12091217.
9
Enhanced vection in older adults: Evidence for age-related effects in multisensory vection experiences.老年人增强的运动错觉:多感官运动错觉体验中与年龄相关影响的证据。
Perception. 2022 Aug 9;51(10):3010066221113770. doi: 10.1177/03010066221113770.
10
The Relative Contribution of Executive Functions and Aging on Attentional Control During Road Crossing.执行功能和衰老对过马路时注意力控制的相对贡献
Front Psychol. 2022 May 12;13:912446. doi: 10.3389/fpsyg.2022.912446. eCollection 2022.
Biomed Sci Instrum. 2009;45:83-8.
4
The role of binocular vision in walking.双眼视觉在行走中的作用。
Vis Neurosci. 2009 Jan-Feb;26(1):73-80. doi: 10.1017/S0952523808080838. Epub 2009 Jan 20.
5
Differential effects of aging on executive and automatic inhibition.衰老对执行性抑制和自动抑制的不同影响。
Dev Neuropsychol. 2008;33(2):101-23. doi: 10.1080/87565640701884212.
6
Visual attention during the preparation of bimanual movements.双手运动准备过程中的视觉注意力。
Vision Res. 2008 Feb;48(4):549-63. doi: 10.1016/j.visres.2007.11.023.
7
Age-related differences in visual search in dynamic displays.动态显示中视觉搜索的年龄相关差异。
Psychol Aging. 2007 Mar;22(1):67-74. doi: 10.1037/0882-7974.22.1.67.
8
Look-ahead fixations: anticipatory eye movements in natural tasks.前瞻性注视:自然任务中的预期眼动。
Exp Brain Res. 2007 May;179(3):427-42. doi: 10.1007/s00221-006-0804-0. Epub 2006 Dec 15.
9
Horizontal saccade dynamics across the human life span.人类生命周期中的水平扫视运动动力学。
Invest Ophthalmol Vis Sci. 2006 Jun;47(6):2478-84. doi: 10.1167/iovs.05-1311.
10
Eye-hand coordination: learning a new trick.眼手协调:学习一项新技能。
Curr Biol. 2005 Dec 6;15(23):R955-6. doi: 10.1016/j.cub.2005.11.014.