Suppr超能文献

人参皂苷及其衍生物的体外结构相关抗癌活性。

The in vitro structure-related anti-cancer activity of ginsenosides and their derivatives.

机构信息

Shum Yiu Foon Shum Bik Chuen Memorial Centre for Cancer and Inflammation Research, School of Chinese Medicine, Hong Kong Baptist University, 7 Baptist University Road, Kowloon Tong, Hong Kong, China.

出版信息

Molecules. 2011 Dec 19;16(12):10619-30. doi: 10.3390/molecules161210619.

Abstract

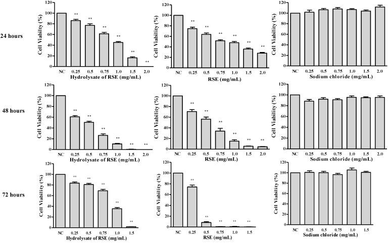
Panax ginseng has long been used in Asia as a herbal medicine for the prevention and treatment of various diseases, including cancer. The current study evaluated the cytotoxic potency against a variety of cancer cells by using ginseng ethanol extracts (RSE), protopanaxadiol (PPD)-type, protopanaxatriol (PPT)-type ginsenosides fractions, and their hydrolysates, which were prepared by stepwise hydrolysis of the sugar moieties of the ginsenosides. The results showed that the cytotoxic potency of the hydrolysates of RSE and total PPD-type or PPT-type ginsenoside fractions was much stronger than the original RSE and ginsenosides; especially the hydrolysate of PPD-type ginsenoside fractions. Subsequently, two derivatives of protopanaxadiol (1), compounds 2 and 3, were synthesized via hydrogenation and dehydration reactions of compound 1. Using those two derivatives and the original ginsenosides, a comparative study on various cancer cell lines was conducted; the results demonstrated that the cytotoxic potency was generally in the descending order of compound 3 > 20(S)-dihydroprotopanaxadiol (2) > PPD (1) > 20(S)-Rh2 > 20(R)-Rh2 ≈ 20(R)-Rg3 ≈ 20(S)-Rg3. The results clearly indicate the structure-related activities in which the compound with less polar chemical structures possesses higher cytotoxic activity towards cancer cells.

摘要

人参在亚洲长期以来一直被用作草药,用于预防和治疗各种疾病,包括癌症。本研究通过使用人参乙醇提取物(RSE)、原人参二醇(PPD)型、原人参三醇(PPT)型人参皂苷的各种类型、以及通过逐步水解人参皂苷的糖基制备的它们的水解产物,评估了其对各种癌细胞的细胞毒性效力。结果表明,RSE 和总 PPD 型或 PPT 型人参皂苷的水解产物的细胞毒性效力远远强于原始 RSE 和人参皂苷;特别是 PPD 型人参皂苷的水解产物。随后,通过化合物 1 的氢化和脱水反应合成了两种原人参二醇(1)的衍生物,化合物 2 和 3。使用这两种衍生物和原始人参皂苷,对各种癌细胞系进行了比较研究;结果表明,细胞毒性效力通常按以下顺序降低:化合物 3 > 20(S)-二氢原人参二醇(2)> PPD(1)> 20(R)-Rh2 > 20(S)-Rh2 ≈ 20(R)-Rg3 ≈ 20(S)-Rg3。结果清楚地表明了结构相关的活性,其中具有较少极性化学结构的化合物对癌细胞具有更高的细胞毒性活性。

https://cdn.ncbi.nlm.nih.gov/pmc/blobs/59c8/6264453/6cbee9b7b386/molecules-16-10619-g001.jpg

文献AI研究员

20分钟写一篇综述,助力文献阅读效率提升50倍。

立即体验

用中文搜PubMed

大模型驱动的PubMed中文搜索引擎

马上搜索

文档翻译

学术文献翻译模型,支持多种主流文档格式。

立即体验