Suppr超能文献

富含人参皂苷原人参二醇的大米(DJ-PPD)对免疫调节的作用。

Effect of Ginseng Sapogenin Protopanaxadiol-Enriched Rice (DJ-PPD) on Immunomodulation.

作者信息

Monmai Chaiwat, Kim Jin-Suk, Baek So-Hyeon

机构信息

Department of Agricultural Life Science, Sunchon National University, Suncheon 59722, Republic of Korea.

出版信息

Plants (Basel). 2023 Feb 8;12(4):767. doi: 10.3390/plants12040767.

Abstract

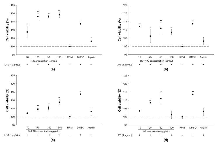
Protopanaxadiol (PPD), a gut microbiome-induced ginseng metabolite, has positive immune effects. We previously reported the immune-boosting and anti-inflammatory effects of PPD-enricshed rice seed extracts in normal and inflammatory cell environments, respectively. In the present study, the immunomodulatory activity of PPD-enriched transgenic rice seed extract (DJ-PPD), which exhibited the highest immune-related activity among all available extracts, was compared with that of commercially synthesized 20s-PPD (S-PPD) and natural ginseng root extract (GE), in RAW264.7 cells. Compared with S-PPD and GE treatment, DJ-PPD treatment (i) significantly promoted NF-κB p65 and c-Jun N-terminal protein kinase (JNK) phosphorylation; (ii) upregulated , , , , and expression; (iii) and increased prostaglandin E (PGE) production. However, there were no significant differences in the effects of the three treatments containing PPD-type sapogenin or saponins on nitric oxide (NO) production and phagocytic activity. In the inflammatory cell environment, DJ-PPD treatment markedly decreased the production of LPS-induced inflammatory factors, including NO and PGE, as well as proinflammatory cytokine expression, by decreasing phosphorylated (p-)NF-κB p65, p-p38 MAPK, and p-JNK levels. Thus, DJ-PPD that does not require complex intestinal microbial processes to exert higher anti-inflammatory effects compared with S-PPD and GE. However, DJ-PPD exerted similar or higher immune-boosting effects (depending on inflammatory biomarkers) than S-PPD and GE. These findings indicate the potential of PPD-enriched transgenic rice as an alternative immunomodulatory agent.

摘要

原人参二醇(PPD)是一种由肠道微生物群诱导产生的人参代谢产物,具有积极的免疫作用。我们之前分别报道了富含PPD的水稻种子提取物在正常细胞环境和炎症细胞环境中的免疫增强和抗炎作用。在本研究中,在RAW264.7细胞中,将具有最高免疫相关活性的富含PPD的转基因水稻种子提取物(DJ-PPD)的免疫调节活性与商业合成的20s-PPD(S-PPD)和天然人参根提取物(GE)进行了比较。与S-PPD和GE处理相比,DJ-PPD处理(i)显著促进了NF-κB p65和c-Jun N端蛋白激酶(JNK)的磷酸化;(ii)上调了 、 、 、 和 的表达;(iii)并增加了前列腺素E(PGE)的产生。然而,三种含有PPD型皂苷元或皂苷的处理对一氧化氮(NO)产生和吞噬活性的影响没有显著差异。在炎症细胞环境中,DJ-PPD处理通过降低磷酸化(p-)NF-κB p65、p-p38 MAPK和p-JNK水平,显著降低了LPS诱导的炎症因子的产生,包括NO和PGE,以及促炎细胞因子的表达。因此,与S-PPD和GE相比,DJ-PPD不需要复杂的肠道微生物过程就能发挥更高的抗炎作用。然而,DJ-PPD发挥了与S-PPD和GE相似或更高的免疫增强作用(取决于炎症生物标志物)。这些发现表明富含PPD的转基因水稻作为一种替代免疫调节剂的潜力。

https://cdn.ncbi.nlm.nih.gov/pmc/blobs/a5a0/9959806/980a31a40caa/plants-12-00767-g008.jpg

相似文献

1
Effect of Ginseng Sapogenin Protopanaxadiol-Enriched Rice (DJ-PPD) on Immunomodulation.
Plants (Basel). 2023 Feb 8;12(4):767. doi: 10.3390/plants12040767.
4
Protopanaxadiol-Enriched Rice Extracts Suppressed Oxidative and Melanogenic Activities in Melan-a Cells.
Antioxidants (Basel). 2023 Jan 10;12(1):166. doi: 10.3390/antiox12010166.
9
Genetically modified rice produces ginsenoside aglycone (protopanaxadiol).
Planta. 2019 Oct;250(4):1103-1110. doi: 10.1007/s00425-019-03204-4. Epub 2019 Jun 5.

本文引用的文献

1
Protopanaxadiol-Enriched Rice Extracts Suppressed Oxidative and Melanogenic Activities in Melan-a Cells.
Antioxidants (Basel). 2023 Jan 10;12(1):166. doi: 10.3390/antiox12010166.
5
Reactive Oxygen Species, Aging, and Antioxidative Nutraceuticals.
Compr Rev Food Sci Food Saf. 2004 Jan;3(1):21-33. doi: 10.1111/j.1541-4337.2004.tb00058.x.
9
Genetically modified rice produces ginsenoside aglycone (protopanaxadiol).
Planta. 2019 Oct;250(4):1103-1110. doi: 10.1007/s00425-019-03204-4. Epub 2019 Jun 5.

文献AI研究员

20分钟写一篇综述,助力文献阅读效率提升50倍。

立即体验

用中文搜PubMed

大模型驱动的PubMed中文搜索引擎

马上搜索

文档翻译

学术文献翻译模型,支持多种主流文档格式。

立即体验