Suppr超能文献

髓内钉治疗多发伤患者股骨干骨折。一项关于手术相关对心肺和炎症反应影响的前瞻性、纵向、观察性研究。

Intramedullary nailing of femoral shaft fractures in polytraumatized patients. a longitudinal, prospective and observational study of the procedure-related impact on cardiopulmonary- and inflammatory responses.

机构信息

Department of Orthopedics, Oslo University Hospital, Ullevaal, Norway.

出版信息

Scand J Trauma Resusc Emerg Med. 2012 Jan 5;20:2. doi: 10.1186/1757-7241-20-2.

Abstract

BACKGROUND

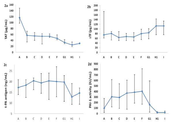
Early intramedullary nailing (IMN) of long bone fractures in severely injured patients has been evaluated as beneficial, but has also been associated with increased inflammation, multi organ failure (MOF) and morbidity. This study was initiated to evaluate the impact of primary femoral IMN on coagulation-, fibrinolysis-, inflammatory- and cardiopulmonary responses in polytraumatized patients.

METHODS

Twelve adult polytraumatized patients with femoral shaft fractures were included. Serial blood samples were collected to evaluate coagulation-, fibrinolytic-, and cytokine activation in arterial blood. A flow-directed pulmonary artery (PA) catheter was inserted prior to IMN. Cardiopulmonary function parameters were recorded peri- and postoperatively. The clinical course of the patients and complications were monitored and recorded daily.

RESULTS

Mean Injury Severity Score (ISS) was 31 ± 2.6. No procedure-related effect of the primary IMN on coagulation- and fibrinolysis activation was evident. Tumor necrosis factor alpha (TNF-α) increased significantly from 6 hours post procedure to peak levels on the third postoperative day. Interleukin-6 (IL-6) increased from the first to the third postoperative day. Interleukin-10 (IL-10) peaked on the first postoperative day. A procedure-related transient hemodynamic response was observed on indexed pulmonary vascular resistance (PVRI) two hours post procedure. 11/12 patients developed systemic inflammatory response syndrome (SIRS), 7/12 pneumonia, 3/12 acute lung injury (ALI), 3/12 adult respiratory distress syndrome (ARDS), 3/12 sepsis, 0/12 wound infection.

CONCLUSION

In the polytraumatized patients with femoral shaft fractures operated with primary IMN we observed a substantial response related to the initial trauma. We could not demonstrate any major additional IMN-related impact on the inflammatory responses or on the cardiopulmonary function parameters. These results have to be interpreted carefully due to the relatively few patients included.

TRIAL REGISTRATION

ClinicalTrials.gov: NCT00981877.

摘要

背景

早期髓内钉(IMN)治疗严重创伤患者的长骨骨折被认为是有益的,但也与炎症增加、多器官衰竭(MOF)和发病率增加有关。本研究旨在评估原发性股骨干 IMN 对多发伤患者凝血、纤溶、炎症和心肺反应的影响。

方法

纳入 12 例股骨干骨折的成年多发伤患者。采集连续动脉血样以评估凝血、纤溶和细胞因子激活情况。在 IMN 前插入肺动脉(PA)导管。记录围手术期和术后心肺功能参数。监测和记录患者的临床过程和并发症。

结果

平均损伤严重程度评分(ISS)为 31±2.6。原发性 IMN 对凝血和纤溶激活没有明显的程序相关影响。肿瘤坏死因子-α(TNF-α)从术后 6 小时开始显著增加,术后第 3 天达到峰值。白细胞介素-6(IL-6)从第 1 天增加到第 3 天。白细胞介素-10(IL-10)在术后第 1 天达到峰值。在术后 2 小时,肺血管阻力(PVRI)指数出现与程序相关的短暂血液动力学反应。12 例患者中有 11 例发生全身炎症反应综合征(SIRS),7 例发生肺炎,3 例发生急性肺损伤(ALI),3 例发生成人呼吸窘迫综合征(ARDS),3 例发生败血症,0 例发生伤口感染。

结论

在接受原发性 IMN 治疗的股骨干骨折多发伤患者中,我们观察到与初始创伤相关的大量反应。我们无法证明 IMN 对炎症反应或心肺功能参数有任何重大的额外影响。由于纳入的患者相对较少,这些结果需要谨慎解释。

试验注册

ClinicalTrials.gov:NCT00981877。

https://cdn.ncbi.nlm.nih.gov/pmc/blobs/ab9d/3285514/ba0e6e61f1f7/1757-7241-20-2-1.jpg

文献AI研究员

20分钟写一篇综述,助力文献阅读效率提升50倍。

立即体验

用中文搜PubMed

大模型驱动的PubMed中文搜索引擎

马上搜索

文档翻译

学术文献翻译模型,支持多种主流文档格式。

立即体验