• 文献检索
  • 文档翻译
  • 深度研究
  • 学术资讯
  • Suppr Zotero 插件Zotero 插件
  • 邀请有礼
  • 套餐&价格
  • 历史记录
应用&插件
Suppr Zotero 插件Zotero 插件浏览器插件Mac 客户端Windows 客户端微信小程序
定价
高级版会员购买积分包购买API积分包
服务
文献检索文档翻译深度研究API 文档MCP 服务
关于我们
关于 Suppr公司介绍联系我们用户协议隐私条款
关注我们

Suppr 超能文献

核心技术专利:CN118964589B侵权必究
粤ICP备2023148730 号-1Suppr @ 2026

文献检索

告别复杂PubMed语法,用中文像聊天一样搜索,搜遍4000万医学文献。AI智能推荐,让科研检索更轻松。

立即免费搜索

文件翻译

保留排版,准确专业,支持PDF/Word/PPT等文件格式,支持 12+语言互译。

免费翻译文档

深度研究

AI帮你快速写综述,25分钟生成高质量综述,智能提取关键信息,辅助科研写作。

立即免费体验

自发光结核分枝杆菌用于快速、实时、非侵入性评估药物和疫苗的疗效。

Autoluminescent Mycobacterium tuberculosis for rapid, real-time, non-invasive assessment of drug and vaccine efficacy.

机构信息

Center for Tuberculosis Research, Department of Medicine, Johns Hopkins University School of Medicine, Baltimore, Maryland, United States of America.

出版信息

PLoS One. 2012;7(1):e29774. doi: 10.1371/journal.pone.0029774. Epub 2012 Jan 11.

DOI:10.1371/journal.pone.0029774
PMID:22253776
原文链接:https://pmc.ncbi.nlm.nih.gov/articles/PMC3256174/
Abstract

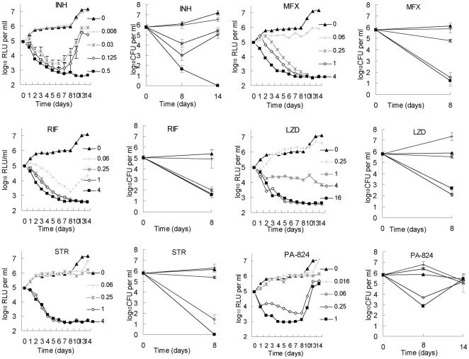
Preclinical efforts to discover and develop new drugs and vaccines for tuberculosis are hampered by the reliance on colony-forming unit (CFU) counts as primary outcomes for in vivo efficacy studies and the slow growth of Mycobacterium tuberculosis. The utility of bioluminescent M. tuberculosis reporter strains for real-time in vitro and ex vivo assessment of drug and vaccine activity has been demonstrated but a simple, non-invasive, real-time surrogate marker to replace CFU counts for real-time evaluation of drug and vaccine efficacy in vivo has not been described. We describe the development of a fully virulent and stable autoluminescent strain of M. tuberculosis and proof-of-concept experiments demonstrating its utility for in vivo bioluminescence imaging to assess the efficacy of new drugs and vaccines for tuberculosis in a mouse model. Relative light unit (RLU) counts paralleled CFU counts during the active phase of bacterial growth, with a lower limit of detection of approximately 10(6) CFU in live, anesthetized mice. Experiments distinguishing active from inactive anti-tuberculosis drugs and bacteriostatic drug effects from bactericidal effects were completed in less than 5 days. The ability of a recombinant BCG vaccine to limit bacterial growth was demonstrated within 3 weeks. Use of this autoluminescent reporter strain has the potential to drastically reduce the time, effort, animals and costs consumed in the evaluation of drug activity in vitro and the in vivo assessment of drug and vaccine efficacy.

摘要

临床前努力发现和开发新的结核病药物和疫苗受到以下因素的阻碍

依赖于集落形成单位(CFU)计数作为体内功效研究的主要结果,以及分枝杆菌生长缓慢。发光分枝杆菌报告菌株在实时体外和离体评估药物和疫苗活性方面的应用已经得到证实,但尚未描述一种简单、非侵入性、实时替代 CFU 计数的替代标志物,用于实时评估体内药物和疫苗的功效。我们描述了一种完全有毒和稳定的自发发光分枝杆菌菌株的开发及其概念验证实验,证明其在体内生物发光成像中用于评估结核病新药物和疫苗的功效的实用性。相对光单位(RLU)计数与细菌生长的活跃期的 CFU 计数平行,在活的、麻醉的小鼠中,检测下限约为 10^6 CFU。在不到 5 天的时间内完成了区分活性和非活性抗结核药物以及抑菌药物作用与杀菌药物作用的实验。重组卡介苗疫苗限制细菌生长的能力在 3 周内得到证明。使用这种自发发光报告菌株有可能大大减少体外药物活性评估和体内药物和疫苗功效评估所消耗的时间、精力、动物和成本。

https://cdn.ncbi.nlm.nih.gov/pmc/blobs/0f1f/3256174/9272e69ae1a2/pone.0029774.g004.jpg
https://cdn.ncbi.nlm.nih.gov/pmc/blobs/0f1f/3256174/e7aad8a016aa/pone.0029774.g001.jpg
https://cdn.ncbi.nlm.nih.gov/pmc/blobs/0f1f/3256174/7460c0dcb620/pone.0029774.g002.jpg
https://cdn.ncbi.nlm.nih.gov/pmc/blobs/0f1f/3256174/fa0515157806/pone.0029774.g003.jpg
https://cdn.ncbi.nlm.nih.gov/pmc/blobs/0f1f/3256174/9272e69ae1a2/pone.0029774.g004.jpg
https://cdn.ncbi.nlm.nih.gov/pmc/blobs/0f1f/3256174/e7aad8a016aa/pone.0029774.g001.jpg
https://cdn.ncbi.nlm.nih.gov/pmc/blobs/0f1f/3256174/7460c0dcb620/pone.0029774.g002.jpg
https://cdn.ncbi.nlm.nih.gov/pmc/blobs/0f1f/3256174/fa0515157806/pone.0029774.g003.jpg
https://cdn.ncbi.nlm.nih.gov/pmc/blobs/0f1f/3256174/9272e69ae1a2/pone.0029774.g004.jpg

相似文献

1
Autoluminescent Mycobacterium tuberculosis for rapid, real-time, non-invasive assessment of drug and vaccine efficacy.自发光结核分枝杆菌用于快速、实时、非侵入性评估药物和疫苗的疗效。
PLoS One. 2012;7(1):e29774. doi: 10.1371/journal.pone.0029774. Epub 2012 Jan 11.
2
Rapid, serial, non-invasive assessment of drug efficacy in mice with autoluminescent Mycobacterium ulcerans infection.对感染自发光溃疡分枝杆菌的小鼠进行药物疗效的快速、系列、非侵入性评估。
PLoS Negl Trop Dis. 2013 Dec 19;7(12):e2598. doi: 10.1371/journal.pntd.0002598. eCollection 2013.
3
A new tool for tuberculosis vaccine screening: Ex vivo Mycobacterial Growth Inhibition Assay indicates BCG-mediated protection in a murine model of tuberculosis.一种用于结核病疫苗筛选的新工具:体外分枝杆菌生长抑制试验表明卡介苗在小鼠结核病模型中具有介导的保护作用。
BMC Infect Dis. 2016 Aug 12;16:412. doi: 10.1186/s12879-016-1751-4.
4
Mechanistic Modeling of Mycobacterium tuberculosis Infection in Murine Models for Drug and Vaccine Efficacy Studies.结核分枝杆菌感染的机制建模在药物和疫苗功效研究的小鼠模型中。
Antimicrob Agents Chemother. 2020 Feb 21;64(3). doi: 10.1128/AAC.01727-19.
5
Rapid in vivo assessment of drug efficacy against Mycobacterium tuberculosis using an improved firefly luciferase.利用改良的萤火虫荧光素酶快速体内评估抗结核分枝杆菌药物的疗效。
J Antimicrob Chemother. 2013 Sep;68(9):2118-27. doi: 10.1093/jac/dkt155. Epub 2013 Apr 30.
6
Rapid measurement of antituberculosis drug activity in vitro and in macrophages using bioluminescence.利用生物发光快速检测体外和巨噬细胞内的抗结核药物活性。
J Antimicrob Chemother. 2012 Feb;67(2):404-14. doi: 10.1093/jac/dkr472. Epub 2011 Nov 17.
7
In vitro and in vivo activities of a new lead compound I2906 against Mycobacterium tuberculosis.新型先导化合物 I2906 对结核分枝杆菌的体外和体内活性研究。
Pharmacology. 2010;85(6):365-71. doi: 10.1159/000299795. Epub 2010 Jun 8.
8
Enhanced protection against tuberculosis by vaccination with recombinant Mycobacterium microti vaccine that induces T cell immunity against region of difference 1 antigens.通过接种重组微小分枝杆菌疫苗增强对结核病的保护,该疫苗可诱导针对差异区域1抗原的T细胞免疫。
J Infect Dis. 2004 Jul 1;190(1):115-22. doi: 10.1086/421468. Epub 2004 Jun 4.
9
[Recent progress in mycobacteriology].[分枝杆菌学的最新进展]
Kekkaku. 2007 Oct;82(10):783-99.
10
Luciferase in vivo expression technology: use of recombinant mycobacterial reporter strains to evaluate antimycobacterial activity in mice.荧光素酶体内表达技术:利用重组分枝杆菌报告菌株评估小鼠体内抗分枝杆菌活性。
Antimicrob Agents Chemother. 1996 Feb;40(2):400-7. doi: 10.1128/AAC.40.2.400.

引用本文的文献

1
Mutations in ClpC1 or ClpX subunit of caseinolytic protease confer resistance to ilamycins in mycobacteria.酪蛋白水解蛋白酶的ClpC1或ClpX亚基中的突变赋予分枝杆菌对伊拉霉素的抗性。
Commun Biol. 2025 Aug 13;8(1):1219. doi: 10.1038/s42003-025-08646-z.
2
Human induced pluripotent stem cells derived neutrophils display strong anti-microbial potencies.人诱导多能干细胞来源的中性粒细胞具有强大的抗菌能力。
Cell Regen. 2025 Mar 21;14(1):8. doi: 10.1186/s13619-025-00227-z.
3
A novel non-invasive murine model for rapidly testing drug activity via inhalation administration against .

本文引用的文献

1
Treatment of tuberculosis with rifamycin-containing regimens in immune-deficient mice.含利福霉素方案治疗免疫缺陷小鼠的结核病。
Am J Respir Crit Care Med. 2011 May 1;183(9):1254-61. doi: 10.1164/rccm.201012-1949OC. Epub 2011 Feb 17.
2
Using bioluminescence to monitor treatment response in real time in mice with Mycobacterium ulcerans infection.利用生物发光实时监测感染溃疡分枝杆菌的小鼠的治疗反应。
Antimicrob Agents Chemother. 2011 Jan;55(1):56-61. doi: 10.1128/AAC.01260-10. Epub 2010 Nov 15.
3
Imaging tuberculosis with endogenous beta-lactamase reporter enzyme fluorescence in live mice.
一种新型非侵入性小鼠模型,用于通过吸入给药快速测试针对……的药物活性 。 (原文结尾against后内容缺失)
Front Pharmacol. 2025 Jan 3;15:1400436. doi: 10.3389/fphar.2024.1400436. eCollection 2024.
4
Methods for detecting and monitoring Salmonella infection and chronic carriage in living mice using bioluminescent in vivo imaging.利用生物发光体内成像技术检测和监测活体小鼠沙门氏菌感染及慢性携带状态的方法。
Access Microbiol. 2024 Nov 29;6(11). doi: 10.1099/acmi.0.000913.v3. eCollection 2024.
5
Assessment of the Efficacy of the Antihistamine Drug Rupatadine Used Alone or in Combination against Mycobacteria.评估抗组胺药卢帕他定单独使用或联合使用对分枝杆菌的疗效。
Pharmaceutics. 2024 Aug 7;16(8):1049. doi: 10.3390/pharmaceutics16081049.
6
Azetidines Kill Multidrug-Resistant without Detectable Resistance by Blocking Mycolate Assembly.氮杂环丁烷通过阻断胞壁酸装配杀死多药耐药 而不产生可检测的耐药性。
J Med Chem. 2024 Feb 22;67(4):2529-2548. doi: 10.1021/acs.jmedchem.3c01643. Epub 2024 Feb 8.
7
Advances in the design of combination therapies for the treatment of tuberculosis.结核病治疗联合疗法设计的新进展。
Expert Opin Drug Discov. 2023 Jan;18(1):83-97. doi: 10.1080/17460441.2023.2157811. Epub 2022 Dec 28.
8
as an infection model for the virulent H37Rv.作为一种强毒 H37Rv 的感染模型。
Virulence. 2022 Dec;13(1):1543-1557. doi: 10.1080/21505594.2022.2119657.
9
Discovery of novel DprE1 inhibitors via computational bioactivity fingerprints and structure-based virtual screening.通过计算生物活性指纹和基于结构的虚拟筛选发现新型 DprE1 抑制剂。
Acta Pharmacol Sin. 2022 Jun;43(6):1605-1615. doi: 10.1038/s41401-021-00779-1. Epub 2021 Oct 19.
10
Drug Efficacy Testing in the Mouse Footpad Model of Buruli Ulcer.在小鼠脚掌模型中进行药物疗效测试研究。
Methods Mol Biol. 2022;2387:195-207. doi: 10.1007/978-1-0716-1779-3_19.
利用内源性β-内酰胺酶报告酶荧光在活鼠中成像结核分枝杆菌。
Proc Natl Acad Sci U S A. 2010 Jul 6;107(27):12239-44. doi: 10.1073/pnas.1000643107. Epub 2010 Jun 21.
4
Optimisation of bioluminescent reporters for use with mycobacteria.用于分枝杆菌的生物发光报告基因的优化。
PLoS One. 2010 May 24;5(5):e10777. doi: 10.1371/journal.pone.0010777.
5
Rapid assessment of antibacterial activity against Mycobacterium ulcerans by using recombinant luminescent strains.利用重组发光菌株快速评估抗溃疡分枝杆菌的抗菌活性。
Antimicrob Agents Chemother. 2010 Jul;54(7):2806-13. doi: 10.1128/AAC.00400-10. Epub 2010 Apr 26.
6
Short-course therapy with daily rifapentine in a murine model of latent tuberculosis infection.在潜伏性结核感染小鼠模型中采用利福喷汀每日给药的短程疗法。
Am J Respir Crit Care Med. 2009 Dec 1;180(11):1151-7. doi: 10.1164/rccm.200905-0795OC. Epub 2009 Sep 3.
7
Use of non-invasive bioluminescent imaging to assess mycobacterial dissemination in mice, treatment with bactericidal drugs and protective immunity.利用无创伤生物发光成像来评估小鼠分枝杆菌的传播、杀菌药物的治疗作用和保护免疫。
Microbes Infect. 2009 Dec;11(14-15):1114-21. doi: 10.1016/j.micinf.2009.08.005. Epub 2009 Aug 12.
8
Bacterial thymidine kinase as a non-invasive imaging reporter for Mycobacterium tuberculosis in live animals.细菌胸苷激酶作为活体内结核分枝杆菌的非侵入性成像报告分子。
PLoS One. 2009 Jul 16;4(7):e6297. doi: 10.1371/journal.pone.0006297.
9
Addition of PNU-100480 to first-line drugs shortens the time needed to cure murine tuberculosis.在一线药物中添加PNU-100480可缩短治愈小鼠结核病所需的时间。
Am J Respir Crit Care Med. 2009 Aug 15;180(4):371-6. doi: 10.1164/rccm.200904-0611OC. Epub 2009 Jun 11.
10
The mechanism of isoniazid killing: clarity through the scope of genetics.异烟肼杀菌机制:通过遗传学范畴得以明晰。
Annu Rev Microbiol. 2007;61:35-50. doi: 10.1146/annurev.micro.61.111606.122346.