Suppr超能文献

将假定的铁响应基因表征为硅藻铁胁迫的物种特异性指标。

Characterization of putative iron responsive genes as species-specific indicators of iron stress in thalassiosiroid diatoms.

作者信息

Whitney Leann P, Lins Jeremy J, Hughes Margaret P, Wells Mark L, Chappell P Dreux, Jenkins Bethany D

机构信息

Department of Cell and Molecular Biology, University of Rhode Island Kingston, RI, USA.

出版信息

Front Microbiol. 2011 Nov 25;2:234. doi: 10.3389/fmicb.2011.00234. eCollection 2011.

Abstract

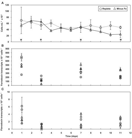
Iron (Fe) availability restricts diatom growth and primary production in large areas of the oceans. It is a challenge to assess the bulk Fe nutritional health of natural diatom populations, since species can differ in their physiological and molecular responses to Fe limitation. We assayed expression of selected genes in diatoms from the Thalassiosira genus to assess their potential utility as species-specific molecular markers to indicate Fe status in natural diatom assemblages. In this study, we compared the expression of the photosynthetic genes encoding ferredoxin (a Fe-requiring protein) and flavodoxin (a Fe-free protein) in culture experiments with Fe replete and Fe stressed Thalassiosira pseudonana (CCMP 1335) isolated from coastal waters and Thalassiosira weissflogii (CCMP 1010) isolated from the open ocean. In T. pseudonana, expression of flavodoxin and ferredoxin genes were not sensitive to Fe status but were found to display diel periodicities. In T. weissflogii, expression of flavodoxin was highly responsive to iron levels and was only detectable when cultures were Fe limited. Flavodoxin genes have been duplicated in most diatoms with available genome data and we show that T. pseudonana has lost its copy related to the Fe-responsive copy in T. weissflogii. We also examined the expression of genes for a putative high affinity, copper (Cu)-dependent Fe uptake system in T. pseudonana. Our results indicate that genes encoding putative Cu transporters, a multi-Cu oxidase, and a Fe reductase are not linked to Fe status. The expression of a second putative Fe reductase increased in Fe limited cultures, but this gene was also highly expressed in Fe replete cultures, indicating it may not be a useful marker in the field. Our findings highlight that Fe metabolism may differ among diatoms even within a genus and show a need to validate responses in different species as part of the development pipeline for genetic markers of Fe status in field populations.

摘要

铁(Fe)的可利用性限制了海洋大片区域中硅藻的生长和初级生产力。评估天然硅藻种群的整体铁营养健康状况是一项挑战,因为不同物种对铁限制的生理和分子反应可能不同。我们检测了来自硅藻属的选定基因的表达,以评估它们作为物种特异性分子标记来指示天然硅藻群落中铁状态的潜在效用。在本研究中,我们比较了编码铁氧化还原蛋白(一种含铁蛋白)和黄素氧还蛋白(一种不含铁蛋白)的光合基因在培养实验中的表达,实验对象是从沿海水域分离的硅藻假微型海链藻(CCMP 1335)和从开阔海洋分离的魏氏海链藻(CCMP 1010),培养条件分别为铁充足和铁胁迫。在假微型海链藻中,黄素氧还蛋白和铁氧化还原蛋白基因的表达对铁状态不敏感,但呈现出昼夜周期性。在魏氏海链藻中,黄素氧还蛋白的表达对铁水平高度敏感,只有在培养物铁限制时才能检测到。在大多数有可用基因组数据的硅藻中,黄素氧还蛋白基因已经复制,我们发现假微型海链藻已经失去了与魏氏海链藻中铁响应拷贝相关的拷贝。我们还检测了假微型海链藻中一个假定的高亲和力、依赖铜(Cu)的铁摄取系统的基因表达。我们的结果表明,编码假定铜转运蛋白、多铜氧化酶和铁还原酶的基因与铁状态无关。第二个假定铁还原酶的表达在铁限制培养物中增加,但该基因在铁充足培养物中也高度表达,表明它可能不是野外有用的标记。我们的研究结果突出表明,即使在一个属内,不同硅藻之间的铁代谢也可能不同,并表明需要在野外种群铁状态遗传标记开发流程中,验证不同物种的反应。

https://cdn.ncbi.nlm.nih.gov/pmc/blobs/6872/3223615/3cf96061ed60/fmicb-02-00234-g001.jpg

文献检索

告别复杂PubMed语法,用中文像聊天一样搜索,搜遍4000万医学文献。AI智能推荐,让科研检索更轻松。

立即免费搜索

文件翻译

保留排版,准确专业,支持PDF/Word/PPT等文件格式,支持 12+语言互译。

免费翻译文档

深度研究

AI帮你快速写综述,25分钟生成高质量综述,智能提取关键信息,辅助科研写作。

立即免费体验