Suppr超能文献

1994-2008 年期间英格兰心血管风险因素的持续社会经济不平等:重复横断面数据分析

Persistent socioeconomic inequalities in cardiovascular risk factors in England over 1994-2008: a time-trend analysis of repeated cross-sectional data.

机构信息

Centre of Applied Health Research, University College London, 1-19 Torrington Place, London WC1E 6BT, UK.

出版信息

BMC Public Health. 2012 Feb 14;12:129. doi: 10.1186/1471-2458-12-129.

Abstract

BACKGROUND

Our aims were to determine the pace of change in cardiovascular risk factors by age, gender and socioeconomic groups from 1994 to 2008, and quantify the magnitude, direction and change in absolute and relative inequalities.

METHODS

Time trend analysis was used to measure change in absolute and relative inequalities in risk factors by gender and age (16-54, ≥ 55 years), using repeated cross-sectional data from the Health Survey for England 1994-2008. Seven risk factors were examined: smoking, obesity, diabetes, high blood pressure, raised cholesterol, consumption of five or more daily portions of fruit and vegetables, and physical activity. Socioeconomic group was measured using the Index of Multiple Deprivation 2007.

RESULTS

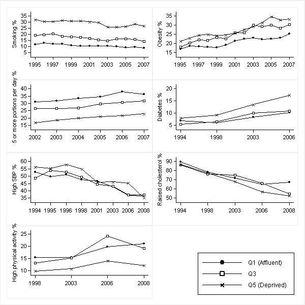
Between 1994 and 2008, the prevalence of smoking, high blood pressure and raised cholesterol decreased in most deprivation quintiles. However, obesity and diabetes increased. Increasing absolute inequalities were found in obesity in older men and women (p = 0.044 and p = 0.027 respectively), diabetes in young men and older women (p = 0.036 and p = 0.019 respectively), and physical activity in older women (p = 0.025). Relative inequality increased in high blood pressure in young women (p = 0.005). The prevalence of raised cholesterol showed widening absolute and relative inverse gradients from 1998 onwards in older men (p = 0.004 and p ≤ 0.001 respectively) and women (p ≤ 0.001 and p ≤ 0.001).

CONCLUSIONS

Favourable trends in smoking, blood pressure and cholesterol are consistent with falling coronary heart disease death rates. However, adverse trends in obesity and diabetes are likely to counteract some of these gains. Furthermore, little progress over the last 15 years has been made towards reducing inequalities. Implementation of known effective population based approaches in combination with interventions targeted at individuals/subgroups with poorer cardiovascular risk profiles are therefore recommended to reduce social inequalities.

摘要

背景

本研究旨在 1994 年至 2008 年期间,按年龄、性别和社会经济群体确定心血管危险因素变化的速度,并量化绝对和相对不平等的程度、方向和变化。

方法

使用英格兰健康调查 1994-2008 年的重复横断面数据,通过性别和年龄(16-54 岁,≥55 岁)分析危险因素的绝对和相对不平等变化的时间趋势。共研究了 7 种危险因素:吸烟、肥胖、糖尿病、高血压、胆固醇升高、每日食用 5 份或更多份水果和蔬菜以及身体活动。2007 年采用多因素剥夺指数来衡量社会经济群体。

结果

1994 年至 2008 年间,大多数贫困五分位数的吸烟、高血压和胆固醇升高的患病率有所下降。然而,肥胖和糖尿病的患病率却有所上升。在年龄较大的男性和女性中,肥胖的绝对不平等(p = 0.044 和 p = 0.027)、在年轻男性和年龄较大的女性中糖尿病(p = 0.036 和 p = 0.019)以及在年龄较大的女性中身体活动(p = 0.025)的不平等均有所增加。在年轻女性中,高血压的相对不平等增加(p = 0.005)。1998 年以后,老年男性(p = 0.004 和 p ≤ 0.001)和女性(p ≤ 0.001 和 p ≤ 0.001)中胆固醇升高的绝对和相对反向梯度均有扩大。

结论

吸烟、血压和胆固醇的有利趋势与冠心病死亡率的下降相一致。然而,肥胖和糖尿病的不良趋势可能会抵消这些进展的一部分。此外,在过去 15 年中,在减少不平等方面几乎没有取得任何进展。因此,建议实施已知有效的基于人群的方法,并结合针对心血管风险状况较差的个体/群体的干预措施,以减少社会不平等。

https://cdn.ncbi.nlm.nih.gov/pmc/blobs/d0fc/3342910/bb296e6e02ba/1471-2458-12-129-1.jpg

文献检索

告别复杂PubMed语法,用中文像聊天一样搜索,搜遍4000万医学文献。AI智能推荐,让科研检索更轻松。

立即免费搜索

文件翻译

保留排版,准确专业,支持PDF/Word/PPT等文件格式,支持 12+语言互译。

免费翻译文档

深度研究

AI帮你快速写综述,25分钟生成高质量综述,智能提取关键信息,辅助科研写作。

立即免费体验