Suppr超能文献

膳食亚油酸会升高内源性 2-AG 和大麻素,并导致肥胖。

Dietary linoleic acid elevates endogenous 2-AG and anandamide and induces obesity.

机构信息

National Institute of Nutrition and Seafood Research, Bergen, Norway.

出版信息

Obesity (Silver Spring). 2012 Oct;20(10):1984-94. doi: 10.1038/oby.2012.38. Epub 2012 Feb 15.

Abstract

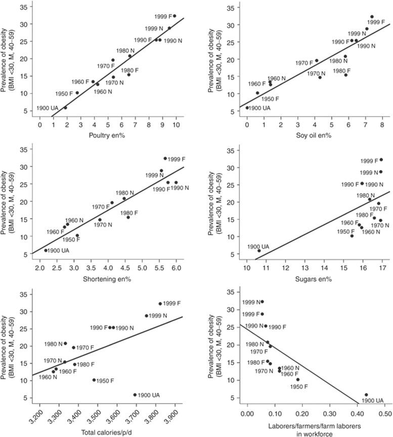
Suppressing hyperactive endocannabinoid tone is a critical target for reducing obesity. The backbone of both endocannabinoids 2-arachidonoylglycerol (2-AG) and anandamide (AEA) is the ω-6 fatty acid arachidonic acid (AA). Here we posited that excessive dietary intake of linoleic acid (LA), the precursor of AA, would induce endocannabinoid hyperactivity and promote obesity. LA was isolated as an independent variable to reflect the dietary increase in LA from 1 percent of energy (en%) to 8 en% occurring in the United States during the 20th century. Mice were fed diets containing 1 en% LA, 8 en% LA, and 8 en% LA + 1 en% eicosapentaenoic acid (EPA) + docosahexaenoic acid (DHA) in medium-fat diets (35 en% fat) and high-fat diets (60 en%) for 14 weeks from weaning. Increasing LA from 1 en% to 8 en% elevated AA-phospholipids (PL) in liver and erythrocytes, tripled 2-AG + 1-AG and AEA associated with increased food intake, feed efficiency, and adiposity in mice. Reducing AA-PL by adding 1 en% long-chain ω-3 fats to 8 en% LA diets resulted in metabolic patterns resembling 1 en% LA diets. Selectively reducing LA to 1 en% reversed the obesogenic properties of a 60 en% fat diet. These animal diets modeled 20th century increases of human LA consumption, changes that closely correlate with increasing prevalence rates of obesity. In summary, dietary LA increased tissue AA, and subsequently elevated 2-AG + 1-AG and AEA resulting in the development of diet-induced obesity. The adipogenic effect of LA can be prevented by consuming sufficient EPA and DHA to reduce the AA-PL pool and normalize endocannabinoid tone.

摘要

抑制过度活跃的内源性大麻素是减少肥胖的关键目标。内源性大麻素 2-花生四烯酸甘油(2-AG)和大麻素(AEA)的骨干是 ω-6 脂肪酸花生四烯酸(AA)。在这里,我们假设过量摄入亚麻酸(LA),AA 的前体,会导致内源性大麻素活性过度,并促进肥胖。LA 被分离出来作为一个独立的变量,以反映美国 20 世纪从 1%能量(en%)到 8 en%的饮食中 LA 的增加。从断奶开始,小鼠在中脂饮食(35 en%脂肪)和高脂饮食(60 en%)中分别喂食含有 1 en% LA、8 en% LA 和 8 en% LA+1 en%二十碳五烯酸(EPA)+二十二碳六烯酸(DHA)的饮食 14 周。将 LA 从 1 en%增加到 8 en%,增加了肝脏和红细胞中的 AA-磷脂(PL),使 2-AG+1-AG 和 AEA 增加了三倍,与食物摄入、饲料效率和肥胖有关。在 8 en% LA 饮食中添加 1 en%长链 ω-3 脂肪以减少 AA-PL,导致代谢模式类似于 1 en% LA 饮食。选择性地将 LA 减少到 1 en%,可逆转 60 en%脂肪饮食的肥胖作用。这些动物饮食模拟了人类 LA 消费在 20 世纪的增加,这些变化与肥胖症患病率的增加密切相关。总之,饮食 LA 增加了组织 AA,随后升高了 2-AG+1-AG 和 AEA,导致了饮食诱导的肥胖。通过摄入足够的 EPA 和 DHA 来减少 AA-PL 池并使内源性大麻素正常化,可以预防 LA 的致胖作用。

https://cdn.ncbi.nlm.nih.gov/pmc/blobs/4fca/3458204/349e7d0d48f6/oby201238f1.jpg

文献检索

告别复杂PubMed语法,用中文像聊天一样搜索,搜遍4000万医学文献。AI智能推荐,让科研检索更轻松。

立即免费搜索

文件翻译

保留排版,准确专业,支持PDF/Word/PPT等文件格式,支持 12+语言互译。

免费翻译文档

深度研究

AI帮你快速写综述,25分钟生成高质量综述,智能提取关键信息,辅助科研写作。

立即免费体验