• 文献检索
  • 文档翻译
  • 深度研究
  • 学术资讯
  • Suppr Zotero 插件Zotero 插件
  • 邀请有礼
  • 套餐&价格
  • 历史记录
应用&插件
Suppr Zotero 插件Zotero 插件浏览器插件Mac 客户端Windows 客户端微信小程序
定价
高级版会员购买积分包购买API积分包
服务
文献检索文档翻译深度研究API 文档MCP 服务
关于我们
关于 Suppr公司介绍联系我们用户协议隐私条款
关注我们

Suppr 超能文献

核心技术专利:CN118964589B侵权必究
粤ICP备2023148730 号-1Suppr @ 2026

文献检索

告别复杂PubMed语法,用中文像聊天一样搜索,搜遍4000万医学文献。AI智能推荐,让科研检索更轻松。

立即免费搜索

文件翻译

保留排版,准确专业,支持PDF/Word/PPT等文件格式,支持 12+语言互译。

免费翻译文档

深度研究

AI帮你快速写综述,25分钟生成高质量综述,智能提取关键信息,辅助科研写作。

立即免费体验

社交影响作为基于网络的健康干预中参与度的驱动因素。

Social influence as a driver of engagement in a web-based health intervention.

作者信息

Poirier Josée, Cobb Nathan K

机构信息

MeYou Health, LLC, Boston, MA, USA.

出版信息

J Med Internet Res. 2012 Feb 22;14(1):e36. doi: 10.2196/jmir.1957.

DOI:10.2196/jmir.1957
PMID:22356829
原文链接:https://pmc.ncbi.nlm.nih.gov/articles/PMC3374540/
Abstract

BACKGROUND

Web-based health interventions can drive behavior change, but their effectiveness depends on participants' usage. A well-recognized challenge with these interventions is nonusage attrition or weak engagement that results in participants receiving low doses of the intervention, negatively affecting outcomes. We present an approach based on the theoretical concepts of social influence and complex contagion in an effort to address the engagement problem in a specific, commercial, online behavior change intervention.

OBJECTIVE

To examine the relation between social ties and engagement within a specific online intervention. The aims were (1) to determine whether experiencing the intervention socially influences engagement, such that individuals with social ties show higher engagement than those without ties, and (2) to evaluate whether complex contagion increases engagement-that is, whether engagement increases as the number of ties an individual has in the intervention increases.

METHODS

We analyzed observational data from 84,828 subscribed members of a specific Web-based intervention, Daily Challenge. We compiled three measures of engagement for every member: email opens, site visits, and challenge completions (response to action prompts). We compared members with and without social ties within the intervention on each measure separately using 2-tailed independent-sample t tests. Finally, we performed linear regressions with each simple engagement measure as the dependent variable and number of social ties as the independent variable.

RESULTS

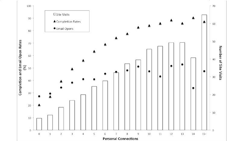
Compared with those without social ties, participants with social ties opened more emails (33.0% vs 27.2%, P < .001), visited the website more often (12.6 vs 6.7 visits, P < .001), and reported completing more of the actions they were prompted to perform (11.0 vs 6.1 actions, P < .001). Social ties were significant predictors of email opens (beta = 0.68, P < .001), site visits (beta = 1.52, P < .001), and reported action completions (beta = 1.32, P < .001).

CONCLUSIONS

Our initial findings are higher engagement in participants with social ties in the program and are consistent with the view that social influence can drive engagement in a Web-based health intervention.

摘要

背景

基于网络的健康干预措施能够推动行为改变,但其效果取决于参与者的使用情况。这类干预措施面临的一个公认挑战是不使用损耗或参与度低,这会导致参与者接受的干预剂量不足,对结果产生负面影响。我们提出一种基于社会影响和复杂传播理论概念的方法,旨在解决特定商业在线行为改变干预中的参与度问题。

目的

研究特定在线干预中社会关系与参与度之间的关系。目标如下:(1)确定体验干预是否会对参与度产生社会影响,即有社会关系的个体是否比没有关系的个体表现出更高的参与度;(2)评估复杂传播是否会提高参与度,也就是说,参与度是否会随着个体在干预中的关系数量增加而提高。

方法

我们分析了来自特定基于网络的干预“每日挑战”的84828名订阅成员的观察数据。我们为每个成员编制了三种参与度衡量指标:电子邮件打开次数、网站访问次数和挑战完成情况(对行动提示的响应)。我们分别使用双尾独立样本t检验,对干预中有社会关系和没有社会关系的成员在每个指标上进行比较。最后,我们以每个简单参与度衡量指标为因变量,以社会关系数量为自变量进行线性回归。

结果

与没有社会关系的参与者相比,有社会关系的参与者打开的电子邮件更多(33.0%对27.2%,P <.001),更频繁地访问网站(12.6次对6.7次访问,P <.001),并且报告完成了更多他们被提示执行的行动(11.0次对6.1次行动,P <.001)。社会关系是电子邮件打开次数(β = 0.68,P <.001)、网站访问次数(β = 1.52,P <.001)和报告的行动完成情况(β = 1.32,P <.001)的显著预测因素。

结论

我们的初步研究结果表明,该项目中有社会关系的参与者参与度更高,这与社会影响可以推动基于网络的健康干预中的参与度这一观点一致。

https://cdn.ncbi.nlm.nih.gov/pmc/blobs/4efd/3374540/2f03526f1f9e/jmir_v14i1e36_fig4.jpg
https://cdn.ncbi.nlm.nih.gov/pmc/blobs/4efd/3374540/9739f29604ad/jmir_v14i1e36_fig1.jpg
https://cdn.ncbi.nlm.nih.gov/pmc/blobs/4efd/3374540/42c7d4ca1250/jmir_v14i1e36_fig2.jpg
https://cdn.ncbi.nlm.nih.gov/pmc/blobs/4efd/3374540/e93e0b73d0a4/jmir_v14i1e36_fig3.jpg
https://cdn.ncbi.nlm.nih.gov/pmc/blobs/4efd/3374540/2f03526f1f9e/jmir_v14i1e36_fig4.jpg
https://cdn.ncbi.nlm.nih.gov/pmc/blobs/4efd/3374540/9739f29604ad/jmir_v14i1e36_fig1.jpg
https://cdn.ncbi.nlm.nih.gov/pmc/blobs/4efd/3374540/42c7d4ca1250/jmir_v14i1e36_fig2.jpg
https://cdn.ncbi.nlm.nih.gov/pmc/blobs/4efd/3374540/e93e0b73d0a4/jmir_v14i1e36_fig3.jpg
https://cdn.ncbi.nlm.nih.gov/pmc/blobs/4efd/3374540/2f03526f1f9e/jmir_v14i1e36_fig4.jpg

相似文献

1
Social influence as a driver of engagement in a web-based health intervention.社交影响作为基于网络的健康干预中参与度的驱动因素。
J Med Internet Res. 2012 Feb 22;14(1):e36. doi: 10.2196/jmir.1957.
2
Engagement and Nonusage Attrition With a Free Physical Activity Promotion Program: The Case of 10,000 Steps Australia.一项免费体育活动推广计划中的参与度与未使用损耗:以澳大利亚“万步计划”为例
J Med Internet Res. 2015 Jul 15;17(7):e176. doi: 10.2196/jmir.4339.
3
An 8-week web-based weight loss challenge with celebrity endorsement and enhanced social support: observational study.一项为期8周、有明星代言并强化社交支持的网络减肥挑战:观察性研究。
J Med Internet Res. 2013 Jul 4;15(7):e129. doi: 10.2196/jmir.2540.
4
Effectiveness of a Web 2.0 Intervention to Increase Physical Activity in Real-World Settings: Randomized Ecological Trial.一种Web 2.0干预措施在现实环境中增加身体活动的效果:随机生态试验
J Med Internet Res. 2017 Nov 13;19(11):e390. doi: 10.2196/jmir.8484.
5
The effectiveness of internet-based e-learning on clinician behavior and patient outcomes: a systematic review protocol.基于互联网的电子学习对临床医生行为和患者结局的有效性:一项系统评价方案。
JBI Database System Rev Implement Rep. 2015 Jan;13(1):52-64. doi: 10.11124/jbisrir-2015-1919.
6
Engagement in a diabetes self-management website: usage patterns and generalizability of program use.参与糖尿病自我管理网站:使用模式及项目使用的普遍性
J Med Internet Res. 2011 Jan 25;13(1):e9. doi: 10.2196/jmir.1391.
7
Factors Associated With Engagement With a Web-Based Lifestyle Intervention Following Provision of Coronary Heart Disease Risk: Mixed Methods Study.提供冠心病风险后与基于网络的生活方式干预参与度相关的因素:混合方法研究
J Med Internet Res. 2017 Oct 16;19(10):e351. doi: 10.2196/jmir.7697.
8
Predicting engagement with an online psychosocial intervention for psychosis: Exploring individual- and intervention-level predictors.预测针对精神病的在线心理社会干预的参与度:探索个体层面和干预层面的预测因素。
Internet Interv. 2019 Aug 15;18:100266. doi: 10.1016/j.invent.2019.100266. eCollection 2019 Dec.
9
Social cognitive determinants of nutrition and physical activity among web-health users enrolling in an online intervention: the influence of social support, self-efficacy, outcome expectations, and self-regulation.参与在线干预的网络健康用户营养与身体活动的社会认知决定因素:社会支持、自我效能、结果期望和自我调节的影响
J Med Internet Res. 2011 Mar 17;13(1):e28. doi: 10.2196/jmir.1551.
10
Fidelity of Delivery and Contextual Factors Influencing Children's Level of Engagement: Process Evaluation of the Online Remote Behavioral Intervention for Tics Trial.交付的保真度和影响儿童参与度的情境因素:在线远程抽动干预试验的过程评估。
J Med Internet Res. 2021 Jun 21;23(6):e25470. doi: 10.2196/25470.

引用本文的文献

1
Predicting Early Dropout in a Digital Tobacco Cessation Intervention: Replication and Extension Study.预测数字化戒烟干预中的早期辍学:复制与扩展研究。
J Med Internet Res. 2024 Nov 27;26:e54248. doi: 10.2196/54248.
2
Measuring Engagement in Provider-Guided Digital Health Interventions With a Conceptual and Analytical Framework Using Nurse WRITE as an Exemplar: Exploratory Study With an Iterative Approach.使用以护士WRITE为例的概念性和分析框架来衡量提供者指导的数字健康干预措施中的参与度:采用迭代方法的探索性研究。
JMIR Form Res. 2024 Jul 22;8:e57529. doi: 10.2196/57529.
3
A Local Community-Based Social Network for Mental Health and Well-being (Quokka): Exploratory Feasibility Study.

本文引用的文献

1
Effect of a tailored behavior change program on a composite lifestyle change score: a randomized controlled trial.基于行为改变的个体化干预方案对综合生活方式改变评分的影响:一项随机对照试验。
Health Educ Res. 2011 Oct;26(5):886-95. doi: 10.1093/her/cyr046. Epub 2011 Jun 28.
2
Engagement and retention: measuring breadth and depth of participant use of an online intervention.参与度与留存率:衡量参与者对在线干预措施使用的广度与深度
J Med Internet Res. 2010 Nov 18;12(4):e52. doi: 10.2196/jmir.1430.
3
The spread of behavior in an online social network experiment.
基于本地社区的心理健康与幸福社交网络(短尾矮袋鼠):探索性可行性研究
JMIRx Med. 2021 Oct 27;2(4):e24972. doi: 10.2196/24972.
4
Understanding networks in rural Cambodian farming communities and how they influence antibiotic use: A mixed methods study.了解柬埔寨农村农业社区的网络及其对抗生素使用的影响:一项混合方法研究。
PLOS Glob Public Health. 2023 Mar 8;3(3):e0001569. doi: 10.1371/journal.pgph.0001569. eCollection 2023.
5
Assessing the interrelationship between stigma, social influence, and cervical cancer prevention in an urban underserved setting: An exploratory study.评估城市服务不足地区污名、社会影响与宫颈癌预防之间的相互关系:一项探索性研究。
PLoS One. 2022 Dec 1;17(12):e0278538. doi: 10.1371/journal.pone.0278538. eCollection 2022.
6
Social media use informing behaviours related to physical activity, diet and quality of life during COVID-19: a mixed methods study.社交媒体在 COVID-19 期间对与身体活动、饮食和生活质量相关的行为的影响:一项混合方法研究。
BMC Public Health. 2021 Jul 6;21(1):1333. doi: 10.1186/s12889-021-11398-0.
7
An unintended consequence of Covid-19: Healthy nutrition.Covid-19 的意外后果:健康营养。
Appetite. 2021 Nov 1;166:105430. doi: 10.1016/j.appet.2021.105430. Epub 2021 Jun 3.
8
Digital technology to support lifestyle and health behaviour changes in surgical patients: systematic review.数字技术支持手术患者生活方式和健康行为的改变:系统评价。
BJS Open. 2021 Mar 5;5(2). doi: 10.1093/bjsopen/zraa009.
9
Diabetes Self-Management in the Age of Social Media: Large-Scale Analysis of Peer Interactions Using Semiautomated Methods.社交媒体时代的糖尿病自我管理:使用半自动化方法对同伴互动进行大规模分析
JMIR Med Inform. 2020 Jun 30;8(6):e18441. doi: 10.2196/18441.
10
Associations Between Commercial App Use and Physical Activity: Cross-Sectional Study.商业应用程序使用与身体活动之间的关联:横断面研究。
J Med Internet Res. 2020 Jun 3;22(6):e17152. doi: 10.2196/17152.
在线社交网络实验中的行为传播。
Science. 2010 Sep 3;329(5996):1194-7. doi: 10.1126/science.1185231.
4
Social network structure of a large online community for smoking cessation.大型在线戒烟社区的社交网络结构。
Am J Public Health. 2010 Jul;100(7):1282-9. doi: 10.2105/AJPH.2009.165449. Epub 2010 May 13.
5
Comparison of trial participants and open access users of a web-based physical activity intervention regarding adherence, attrition, and repeated participation.基于网络的体育活动干预的试验参与者与开放获取用户在依从性、损耗率和重复参与方面的比较。
J Med Internet Res. 2010 Feb 10;12(1):e3. doi: 10.2196/jmir.1361.
6
Adherence in internet interventions for anxiety and depression.焦虑和抑郁网络干预中的依从性。
J Med Internet Res. 2009 Apr 24;11(2):e13. doi: 10.2196/jmir.1194.
7
Can a small-changes approach help address the obesity epidemic? A report of the Joint Task Force of the American Society for Nutrition, Institute of Food Technologists, and International Food Information Council.微小改变的方法能否有助于应对肥胖流行问题?美国营养学会、食品技术协会和国际食品信息理事会联合特别工作组的一份报告。
Am J Clin Nutr. 2009 Feb;89(2):477-84. doi: 10.3945/ajcn.2008.26566. Epub 2008 Dec 16.
8
The role of engagement in a tailored web-based smoking cessation program: randomized controlled trial.参与定制的基于网络的戒烟计划的作用:随机对照试验。
J Med Internet Res. 2008 Nov 4;10(5):e36. doi: 10.2196/jmir.1002.
9
Health care in a web.网络中的医疗保健。
BMJ. 2008 Jun 28;336(7659):1468. doi: 10.1136/bmj.a452.
10
The spread of obesity in a large social network over 32 years.32年间肥胖症在一个大型社交网络中的传播情况。
N Engl J Med. 2007 Jul 26;357(4):370-9. doi: 10.1056/NEJMsa066082. Epub 2007 Jul 25.