• 文献检索
  • 文档翻译
  • 深度研究
  • 学术资讯
  • Suppr Zotero 插件Zotero 插件
  • 邀请有礼
  • 套餐&价格
  • 历史记录
应用&插件
Suppr Zotero 插件Zotero 插件浏览器插件Mac 客户端Windows 客户端微信小程序
定价
高级版会员购买积分包购买API积分包
服务
文献检索文档翻译深度研究API 文档MCP 服务
关于我们
关于 Suppr公司介绍联系我们用户协议隐私条款
关注我们

Suppr 超能文献

核心技术专利:CN118964589B侵权必究
粤ICP备2023148730 号-1Suppr @ 2026

文献检索

告别复杂PubMed语法,用中文像聊天一样搜索,搜遍4000万医学文献。AI智能推荐,让科研检索更轻松。

立即免费搜索

文件翻译

保留排版,准确专业,支持PDF/Word/PPT等文件格式,支持 12+语言互译。

免费翻译文档

深度研究

AI帮你快速写综述,25分钟生成高质量综述,智能提取关键信息,辅助科研写作。

立即免费体验

阳离子化杏鲍菇多糖纳米粒介导转化生长因子β-1 质粒转染间充质干细胞。

Delivery of a transforming growth factor β-1 plasmid to mesenchymal stem cells via cationized Pleurotus eryngii polysaccharide nanoparticles.

机构信息

Department of Pharmaceutics, School of Pharmacy and Center for Nano Drug/Gene Delivery and Tissue Engineering, Jiangsu University, Zhenjiang, People's Republic of China.

出版信息

Int J Nanomedicine. 2012;7:1297-311. doi: 10.2147/IJN.S28010. Epub 2012 Mar 14.

DOI:10.2147/IJN.S28010
PMID:22457592
原文链接:https://pmc.ncbi.nlm.nih.gov/articles/PMC3310408/
Abstract

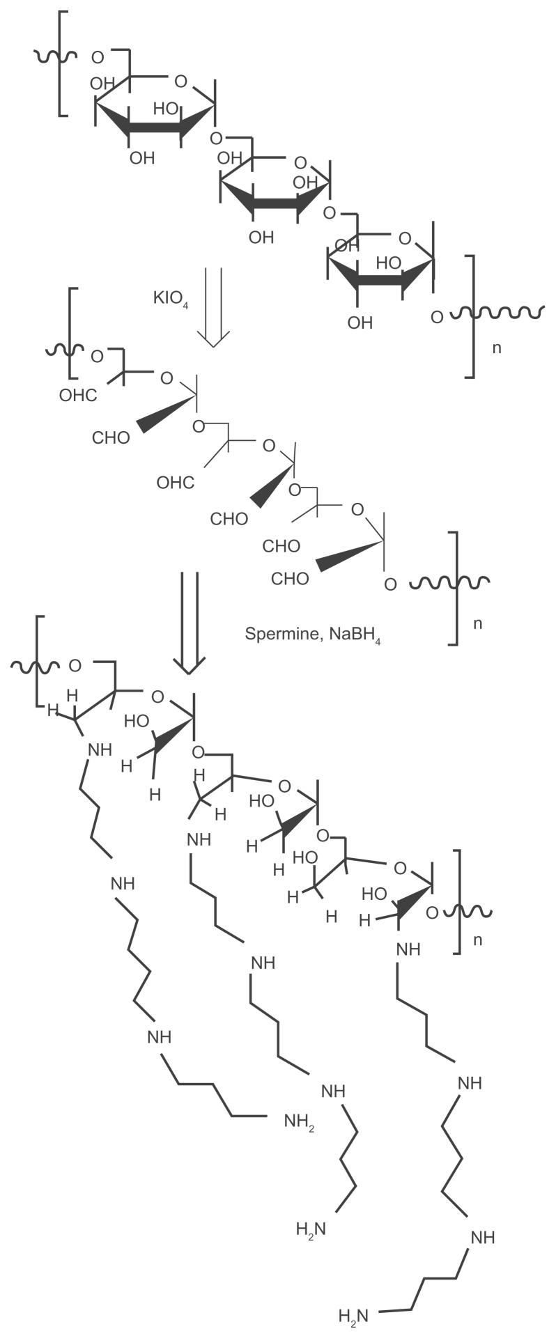
The objective of this study was to investigate the use of cationized Pleurotus eryngii polysaccharide (CPEPS) as a nonviral gene delivery vehicle to transfer plasmid DNA encoding transforming growth factor beta-1 (pTGF-β1) into mesenchymal stem cells (MSCs) in vitro. Crude P. eryngii polysaccharide was purified, and then cationized by grafting spermine onto the backbone of the polysaccharide. Agarose gel electrophoresis, transmission electron microscopy, and a Nano Sense Zetasizer (Malvern Instruments, Malvern, UK) were used to characterize the CPEPS-pTGF-β1 nanoparticles. The findings of cytotoxicity analysis showed that when the nanoparticles were formulated with a CPEPS/pTGF-β1 weight ratio ≥ 10:1, a greater gel retardation effect was observed during agarose gel electrophoresis. The CPEPS-pTGF-β1 nanoparticles with a weight ratio of 20:1, respectively, possessed an average particle size of 80.8 nm in diameter and a zeta potential of +17.4 ± 0.1 mV. Significantly, these CPEPS-pTGF-β1 nanoparticles showed lower cytotoxicity and higher transfection efficiency than both polyethylenimine (25 kDa) (P = 0.006, Student's t-test) and Lipofectamine(TM) 2000 (P = 0.002, Student's t-test). Additionally, the messenger RNA expression level of TGF-β1 in MSCs transfected with CPEPS-pTGF-β1 nanoparticles was significantly higher than that of free plasmid DNA-transfected MSCs and slightly elevated compared with that of Lipofectamine 2000-transfected MSCs. Flow cytometry analysis demonstrated that 92.38% of MSCs were arrested in the G1 phase after being transfected with CPEPS-pTGF-β1 nanoparticles, indicating a tendency toward differentiation. In summary, the findings of this study suggest that the CPEPS-pTGF-β1 nanoparticles prepared in this work exhibited excellent transfection efficiency and low toxicity. Therefore, they could be developed into a promising nonviral vector for gene delivery in vitro.

摘要

本研究旨在探讨阳离子化杏鲍菇多糖(CPEPS)作为非病毒基因传递载体,将编码转化生长因子β-1(pTGF-β1)的质粒 DNA 转染到间充质干细胞(MSCs)中的应用。从粗杏鲍菇多糖中提取、纯化,然后通过将精胺接枝到多糖骨架上进行阳离子化。琼脂糖凝胶电泳、透射电子显微镜和 Nano Sense Zetasizer(Malvern Instruments,Malvern,英国)用于表征 CPEPS-pTGF-β1 纳米颗粒。细胞毒性分析结果表明,当纳米颗粒中 CPEPS/pTGF-β1 重量比≥10:1 时,在琼脂糖凝胶电泳中观察到更大的凝胶阻滞效应。重量比为 20:1 的 CPEPS-pTGF-β1 纳米颗粒的平均粒径为 80.8nm,zeta 电位为+17.4±0.1mV。重要的是,与聚乙烯亚胺(25kDa)(P=0.006,Student's t 检验)和 Lipofectamine(TM)2000(P=0.002,Student's t 检验)相比,这些 CPEPS-pTGF-β1 纳米颗粒具有更低的细胞毒性和更高的转染效率。此外,转染 CPEPS-pTGF-β1 纳米颗粒的 MSCs 中 TGF-β1 的信使 RNA 表达水平明显高于游离质粒 DNA 转染的 MSCs,略高于 Lipofectamine 2000 转染的 MSCs。流式细胞术分析表明,92.38%的 MSCs 在转染 CPEPS-pTGF-β1 纳米颗粒后被阻滞在 G1 期,表明向分化方向发展。综上所述,本研究结果表明,本工作制备的 CPEPS-pTGF-β1 纳米颗粒具有优异的转染效率和低毒性。因此,它们可能成为一种有前途的非病毒基因传递载体,用于体外基因传递。

https://cdn.ncbi.nlm.nih.gov/pmc/blobs/48ae/3310408/ea449708ff85/ijn-7-1297f12.jpg
https://cdn.ncbi.nlm.nih.gov/pmc/blobs/48ae/3310408/3f169c9ea189/ijn-7-1297f1.jpg
https://cdn.ncbi.nlm.nih.gov/pmc/blobs/48ae/3310408/5b6483106a01/ijn-7-1297f2.jpg
https://cdn.ncbi.nlm.nih.gov/pmc/blobs/48ae/3310408/e69ffa6b009a/ijn-7-1297f3.jpg
https://cdn.ncbi.nlm.nih.gov/pmc/blobs/48ae/3310408/16804e28a2dd/ijn-7-1297f4.jpg
https://cdn.ncbi.nlm.nih.gov/pmc/blobs/48ae/3310408/7873c1f1a755/ijn-7-1297f5.jpg
https://cdn.ncbi.nlm.nih.gov/pmc/blobs/48ae/3310408/20f6a45a24fb/ijn-7-1297f6.jpg
https://cdn.ncbi.nlm.nih.gov/pmc/blobs/48ae/3310408/6a800d2359a0/ijn-7-1297f7.jpg
https://cdn.ncbi.nlm.nih.gov/pmc/blobs/48ae/3310408/4b7099294b30/ijn-7-1297f8.jpg
https://cdn.ncbi.nlm.nih.gov/pmc/blobs/48ae/3310408/2f4122af63e2/ijn-7-1297f9.jpg
https://cdn.ncbi.nlm.nih.gov/pmc/blobs/48ae/3310408/c70ec15d61b7/ijn-7-1297f10.jpg
https://cdn.ncbi.nlm.nih.gov/pmc/blobs/48ae/3310408/6be1fea3502e/ijn-7-1297f11.jpg
https://cdn.ncbi.nlm.nih.gov/pmc/blobs/48ae/3310408/ea449708ff85/ijn-7-1297f12.jpg
https://cdn.ncbi.nlm.nih.gov/pmc/blobs/48ae/3310408/3f169c9ea189/ijn-7-1297f1.jpg
https://cdn.ncbi.nlm.nih.gov/pmc/blobs/48ae/3310408/5b6483106a01/ijn-7-1297f2.jpg
https://cdn.ncbi.nlm.nih.gov/pmc/blobs/48ae/3310408/e69ffa6b009a/ijn-7-1297f3.jpg
https://cdn.ncbi.nlm.nih.gov/pmc/blobs/48ae/3310408/16804e28a2dd/ijn-7-1297f4.jpg
https://cdn.ncbi.nlm.nih.gov/pmc/blobs/48ae/3310408/7873c1f1a755/ijn-7-1297f5.jpg
https://cdn.ncbi.nlm.nih.gov/pmc/blobs/48ae/3310408/20f6a45a24fb/ijn-7-1297f6.jpg
https://cdn.ncbi.nlm.nih.gov/pmc/blobs/48ae/3310408/6a800d2359a0/ijn-7-1297f7.jpg
https://cdn.ncbi.nlm.nih.gov/pmc/blobs/48ae/3310408/4b7099294b30/ijn-7-1297f8.jpg
https://cdn.ncbi.nlm.nih.gov/pmc/blobs/48ae/3310408/2f4122af63e2/ijn-7-1297f9.jpg
https://cdn.ncbi.nlm.nih.gov/pmc/blobs/48ae/3310408/c70ec15d61b7/ijn-7-1297f10.jpg
https://cdn.ncbi.nlm.nih.gov/pmc/blobs/48ae/3310408/6be1fea3502e/ijn-7-1297f11.jpg
https://cdn.ncbi.nlm.nih.gov/pmc/blobs/48ae/3310408/ea449708ff85/ijn-7-1297f12.jpg

相似文献

1
Delivery of a transforming growth factor β-1 plasmid to mesenchymal stem cells via cationized Pleurotus eryngii polysaccharide nanoparticles.阳离子化杏鲍菇多糖纳米粒介导转化生长因子β-1 质粒转染间充质干细胞。
Int J Nanomedicine. 2012;7:1297-311. doi: 10.2147/IJN.S28010. Epub 2012 Mar 14.
2
Efficient gene delivery to mesenchymal stem cells by an ethylenediamine-modified polysaccharide from mulberry leaves.通过一种由桑叶制备的乙二胺修饰多糖高效转染间充质干细胞。
Small. 2012 Feb 6;8(3):441-51. doi: 10.1002/smll.201101554. Epub 2011 Dec 27.
3
Angelica sinensis polysaccharide nanoparticles as novel non-viral carriers for gene delivery to mesenchymal stem cells.当归多糖纳米粒作为新型非病毒载体用于向间充质干细胞输送基因。
Nanomedicine. 2013 Nov;9(8):1181-91. doi: 10.1016/j.nano.2013.05.008. Epub 2013 May 30.
4
MicroRNA Replacing Oncogenic Klf4 and c-Myc for Generating iPS Cells via Cationized Pleurotus eryngii Polysaccharide-based Nanotransfection.通过阳离子化杏鲍菇多糖纳米转染,利用微小RNA替代致癌性Klf4和c-Myc生成诱导多能干细胞
ACS Appl Mater Interfaces. 2015 Sep 2;7(34):18957-66. doi: 10.1021/acsami.5b06768. Epub 2015 Aug 18.
5
Efficient gene delivery to human umbilical cord mesenchymal stem cells by cationized Porphyra yezoensis polysaccharide nanoparticles.阳离子化紫菜多糖纳米颗粒对人脐带间充质干细胞的高效基因递送
Int J Nanomedicine. 2015 Nov 18;10:7097-107. doi: 10.2147/IJN.S93122. eCollection 2015.
6
Incorporating pTGF-β1/calcium phosphate nanoparticles with fibronectin into 3-dimensional collagen/chitosan scaffolds: efficient, sustained gene delivery to stem cells for chondrogenic differentiation.将 pTGF-β1/磷酸钙纳米粒子与纤连蛋白结合到 3 维胶原/壳聚糖支架中:高效、持续地将基因递送到干细胞以进行软骨分化。
Eur Cell Mater. 2012 Feb 7;23:81-93. doi: 10.22203/ecm.v023a06.
7
TGF-β1 gene-engineered mesenchymal stem cells induce rat cartilage regeneration using nonviral gene vector.利用非病毒基因载体的 TGF-β1 基因工程间充质干细胞诱导大鼠软骨再生。
Biotechnol Appl Biochem. 2012 May-Jun;59(3):163-9. doi: 10.1002/bab.1001. Epub 2012 Mar 4.
8
Preparation of cationized polysaccharides as gene transfection carrier for bone marrow-derived mesenchymal stem cells.阳离子化多糖作为骨髓间充质干细胞基因转染载体的制备。
J Biomater Sci Polym Ed. 2010;21(2):185-204. doi: 10.1163/156856209X415495.
9
Attenuation of corneal myofibroblast development through nanoparticle-mediated soluble transforming growth factor-β type II receptor (sTGFβRII) gene transfer.通过纳米颗粒介导的可溶性转化生长因子-βⅡ型受体(sTGFβRII)基因转移减弱角膜肌成纤维细胞的发育
Mol Vis. 2012;18:2598-607. Epub 2012 Oct 20.
10
Encapsulation of plasmid DNA in calcium phosphate nanoparticles: stem cell uptake and gene transfer efficiency.钙磷酸盐纳米粒子包裹质粒 DNA:干细胞摄取和基因转染效率。
Int J Nanomedicine. 2011;6:3335-49. doi: 10.2147/IJN.S27370. Epub 2011 Dec 13.

引用本文的文献

1
Photoluminescent Cationic Carbon Dots as efficient Non-Viral Delivery of Plasmid SOX9 and Chondrogenesis of Fibroblasts.基于光致发光的阳离子碳点作为高效非病毒递送质粒 SOX9 载体和促进成纤维细胞软骨分化的研究
Sci Rep. 2018 May 4;8(1):7057. doi: 10.1038/s41598-018-25330-x.
2
Multifunctional nanoscale strategies for enhancing and monitoring blood vessel regeneration.用于增强和监测血管再生的多功能纳米级策略。
Nano Today. 2012 Dec;7(6):514-531. doi: 10.1016/j.nantod.2012.10.007. Epub 2012 Nov 17.
3
Efficient gene delivery to human umbilical cord mesenchymal stem cells by cationized Porphyra yezoensis polysaccharide nanoparticles.

本文引用的文献

1
Effect of chitosan chain architecture on gene delivery: comparison of self-branched and linear chitosans.壳聚糖链结构对基因传递的影响:自支化壳聚糖和线性壳聚糖的比较。
Biomacromolecules. 2011 Mar 14;12(3):721-9. doi: 10.1021/bm1013525. Epub 2011 Feb 4.
2
Charge density and molecular weight of polyphosphoramidate gene carrier are key parameters influencing its DNA compaction ability and transfection efficiency.聚磷酰胺基因载体的电荷密度和分子量是影响其 DNA 压缩能力和转染效率的关键参数。
Biomacromolecules. 2010 Dec 13;11(12):3432-9. doi: 10.1021/bm1009574. Epub 2010 Nov 10.
3
Poly[(5-methyl-5-allyloxycarbonyl-trimethylene carbonate)-co-(5,5-dimethyl-trimethylene carbonate)] with grafted polyethylenimine as biodegradable polycations for efficient gene delivery.
阳离子化紫菜多糖纳米颗粒对人脐带间充质干细胞的高效基因递送
Int J Nanomedicine. 2015 Nov 18;10:7097-107. doi: 10.2147/IJN.S93122. eCollection 2015.
聚[(5-甲基-5-烯丙氧羰基-三亚甲基碳酸酯)-共-(5,5-二甲基-三亚甲基碳酸酯)]接枝聚乙烯亚胺作为高效基因传递的可生物降解聚阳离子。
Biomacromolecules. 2010 Nov 8;11(11):3028-35. doi: 10.1021/bm1008525. Epub 2010 Oct 14.
4
Carbon Nanotubes in Biology and Medicine: In vitro and in vivo Detection, Imaging and Drug Delivery.生物医学中的碳纳米管:体外和体内检测、成像与药物递送
Nano Res. 2009 Feb 1;2(2):85-120. doi: 10.1007/s12274-009-9009-8.
5
Administration of nonviral gene vector encoding rat beta-defensin-2 ameliorates chronic Pseudomonas aeruginosa lung infection in rats.给予编码大鼠β-防御素-2 的非病毒基因载体可改善大鼠慢性铜绿假单胞菌肺部感染。
J Gene Med. 2010 Mar;12(3):276-86. doi: 10.1002/jgm.1435.
6
Preparation of cationized polysaccharides as gene transfection carrier for bone marrow-derived mesenchymal stem cells.阳离子化多糖作为骨髓间充质干细胞基因转染载体的制备。
J Biomater Sci Polym Ed. 2010;21(2):185-204. doi: 10.1163/156856209X415495.
7
Poly(L-lysine) nanostructured particles for gene delivery and hormone stimulation.聚赖氨酸纳米结构颗粒用于基因传递和激素刺激。
Biomaterials. 2010 Mar;31(7):1699-706. doi: 10.1016/j.biomaterials.2009.11.032. Epub 2009 Dec 1.
8
Molecular design of chitosan gene delivery systems with an optimized balance between polyplex stability and polyplex unpacking.壳聚糖基因传递系统的分子设计,以优化多聚物稳定性和多聚物解包之间的平衡。
Biomaterials. 2010 Feb;31(5):975-87. doi: 10.1016/j.biomaterials.2009.09.102. Epub 2009 Oct 25.
9
Gene delivery through the use of a hyaluronate-associated intracellularly degradable crosslinked polyethyleneimine.通过使用与透明质酸相关的细胞内可降解交联聚乙烯亚胺进行基因递送。
Biomaterials. 2009 Oct;30(29):5834-43. doi: 10.1016/j.biomaterials.2009.07.012. Epub 2009 Jul 25.
10
Promoted adipogenesis of rat mesenchymal stem cells by transfection of small interfering RNA complexed with a cationized dextran.阳离子化葡聚糖复合小干扰 RNA 促进大鼠间充质干细胞成脂分化。
Tissue Eng Part A. 2010 Jan;16(1):21-31. doi: 10.1089/ten.TEA.2009.0170.