Suppr超能文献

氟吡汀:临床药理学。

Flupirtine: Clinical pharmacology.

作者信息

Harish S, Bhuvana K, Bengalorkar Girish M, Kumar Tn

机构信息

Department of Pharmacology, Sri Devaraj Urs Medical College, Tamaka, Kolar, Karnataka, India.

出版信息

J Anaesthesiol Clin Pharmacol. 2012 Apr;28(2):172-7. doi: 10.4103/0970-9185.94833.

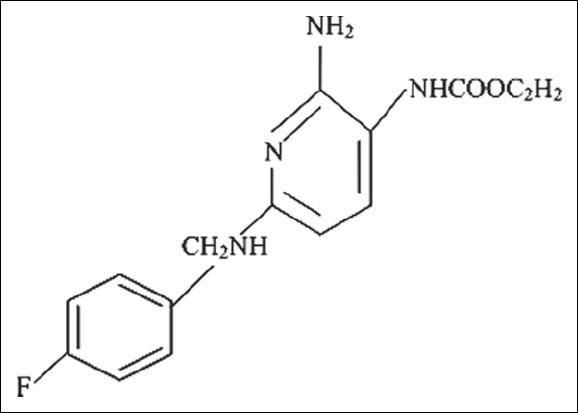
Abstract

Flupirtine is neither an opioid nor a non steroidal anti-inflammatory drug (NSAID) producing its analgesic action through blockade of glutamate N-methyl-D-aspartate receptor. It is devoid of adverse effects of routinely used analgesic drugs, but is equally efficacious in reducing pain sensation. It has a distinctive mechanism of action, exerting a dual therapeutic effect with both analgesic and muscle relaxant properties that has utility in the treatment of pain, including that associated with muscle tension.

摘要

氟吡汀既不是阿片类药物,也不是通过阻断谷氨酸N-甲基-D-天冬氨酸受体产生镇痛作用的非甾体抗炎药(NSAID)。它没有常规使用的镇痛药的不良反应,但在减轻疼痛感觉方面同样有效。它具有独特的作用机制,发挥镇痛和肌肉松弛双重治疗作用,可用于治疗疼痛,包括与肌肉紧张相关的疼痛。

https://cdn.ncbi.nlm.nih.gov/pmc/blobs/6c6d/3339720/d838fd0144dc/JOACP-28-172-g001.jpg

文献检索

告别复杂PubMed语法,用中文像聊天一样搜索,搜遍4000万医学文献。AI智能推荐,让科研检索更轻松。

立即免费搜索

文件翻译

保留排版,准确专业,支持PDF/Word/PPT等文件格式,支持 12+语言互译。

免费翻译文档

深度研究

AI帮你快速写综述,25分钟生成高质量综述,智能提取关键信息,辅助科研写作。

立即免费体验