• 文献检索
  • 文档翻译
  • 深度研究
  • 学术资讯
  • Suppr Zotero 插件Zotero 插件
  • 邀请有礼
  • 套餐&价格
  • 历史记录
应用&插件
Suppr Zotero 插件Zotero 插件浏览器插件Mac 客户端Windows 客户端微信小程序
定价
高级版会员购买积分包购买API积分包
服务
文献检索文档翻译深度研究API 文档MCP 服务
关于我们
关于 Suppr公司介绍联系我们用户协议隐私条款
关注我们

Suppr 超能文献

核心技术专利:CN118964589B侵权必究
粤ICP备2023148730 号-1Suppr @ 2026

文献检索

告别复杂PubMed语法,用中文像聊天一样搜索,搜遍4000万医学文献。AI智能推荐,让科研检索更轻松。

立即免费搜索

文件翻译

保留排版,准确专业,支持PDF/Word/PPT等文件格式,支持 12+语言互译。

免费翻译文档

深度研究

AI帮你快速写综述,25分钟生成高质量综述,智能提取关键信息,辅助科研写作。

立即免费体验

组织学肿瘤消退分级(TRG)在新辅助化疗治疗的局部晚期食管癌治疗评估中的预测价值。

The predictive value of histological tumor regression grading (TRG) for therapeutic evaluation in locally advanced esophageal carcinoma treated with neoadjuvant chemotherapy.

作者信息

Guo Kang, Cai Ling, Zhang Yu, Zhu Jian-Fei, Rong Tie-Hua, Lin Peng, Hao Chong-Li, Wang Wu-Ping, Li Zhe, Zhang Lan-Jun

机构信息

State Key Laboratory of Oncology in South China, Guangzhou, Guangdong 510060, P. R. China.

出版信息

Chin J Cancer. 2012 Aug;31(8):399-408. doi: 10.5732/cjc.011.10406. Epub 2012 May 8.

DOI:10.5732/cjc.011.10406
PMID:22572013
原文链接:https://pmc.ncbi.nlm.nih.gov/articles/PMC3777510/
Abstract

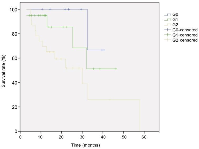
Response criteria remain controversial in therapeutic evaluation for locally advanced esophageal carcinoma treated with neoadjuvant chemotherapy. We aimed to identify the predictive value of tumor regression grading (TRG) in tumor response and prognosis. Fifty-two patients who underwent neoadjuvant chemotherapy followed by esophagectomy and radical 2-field lymphadenectomy between June 2007 and June 2011 were included in this study. All tissue specimens were reassessed according to the TRG scale. Potential prognostic factors, including clinicopathologic factors, were evaluated. Survival curves were generated by using the Kaplan-Meier method and compared with the log-rank test. Prognostic factors were determined with multivariate analysis by using the Cox regression model. Our results showed that of 52 cases, 43 (83%) were squamous cell carcinoma and 9 (17%) were adenocarcinoma. TRG was correlated with pathologic T(P = 0.006) and N (P < 0.001) categories. Median overall survival for the entire cohort was 33 months. The 1- and 2-year overall survival rates were 71% and 44%, respectively. Univariate survival analysis results showed that favorable prognostic factors were histological subtype (P = 0.003), pathologic T category (P = 0.026), pathologic N category (P < 0.001), and TRG G0 (P = 0.041). Multivariate analyses identified pathologic N category (P < 0.001) as a significant independent prognostic parameter. Our results indicate that histomorphologic TRG can be considered as an alternative option to predict the therapeutic efficacy and prognostic factor for patients with locally advanced esophageal carcinoma treated by neoadjuvant chemotherapy.

摘要

在新辅助化疗治疗局部晚期食管癌的疗效评估中,反应标准仍存在争议。我们旨在确定肿瘤退缩分级(TRG)在肿瘤反应和预后中的预测价值。本研究纳入了2007年6月至2011年6月期间接受新辅助化疗后行食管切除术和根治性二野淋巴结清扫术的52例患者。所有组织标本均根据TRG量表重新评估。评估了包括临床病理因素在内的潜在预后因素。采用Kaplan-Meier法生成生存曲线,并与对数秩检验进行比较。通过Cox回归模型进行多变量分析确定预后因素。我们的结果显示,52例病例中,43例(83%)为鳞状细胞癌,9例(17%)为腺癌。TRG与病理T(P = 0.006)和N(P < 0.001)分类相关。整个队列的中位总生存期为33个月。1年和2年总生存率分别为71%和44%。单因素生存分析结果显示,有利的预后因素为组织学亚型(P = 0.003)、病理T分类(P = 0.026)、病理N分类(P < 0.001)和TRG G0(P = 0.041)。多变量分析确定病理N分类(P < 0.001)为显著的独立预后参数。我们的结果表明,组织形态学TRG可被视为预测新辅助化疗治疗的局部晚期食管癌患者治疗效果和预后因素的替代选择。

https://cdn.ncbi.nlm.nih.gov/pmc/blobs/f024/3777510/46a4aa8fe389/cjc-31-08-399-g005.jpg
https://cdn.ncbi.nlm.nih.gov/pmc/blobs/f024/3777510/68ed87946508/cjc-31-08-399-g001.jpg
https://cdn.ncbi.nlm.nih.gov/pmc/blobs/f024/3777510/3c182b12c2e7/cjc-31-08-399-g002.jpg
https://cdn.ncbi.nlm.nih.gov/pmc/blobs/f024/3777510/f4e65ccdc9be/cjc-31-08-399-g003.jpg
https://cdn.ncbi.nlm.nih.gov/pmc/blobs/f024/3777510/c2b6c7b71ccd/cjc-31-08-399-g004.jpg
https://cdn.ncbi.nlm.nih.gov/pmc/blobs/f024/3777510/46a4aa8fe389/cjc-31-08-399-g005.jpg
https://cdn.ncbi.nlm.nih.gov/pmc/blobs/f024/3777510/68ed87946508/cjc-31-08-399-g001.jpg
https://cdn.ncbi.nlm.nih.gov/pmc/blobs/f024/3777510/3c182b12c2e7/cjc-31-08-399-g002.jpg
https://cdn.ncbi.nlm.nih.gov/pmc/blobs/f024/3777510/f4e65ccdc9be/cjc-31-08-399-g003.jpg
https://cdn.ncbi.nlm.nih.gov/pmc/blobs/f024/3777510/c2b6c7b71ccd/cjc-31-08-399-g004.jpg
https://cdn.ncbi.nlm.nih.gov/pmc/blobs/f024/3777510/46a4aa8fe389/cjc-31-08-399-g005.jpg

相似文献

1
The predictive value of histological tumor regression grading (TRG) for therapeutic evaluation in locally advanced esophageal carcinoma treated with neoadjuvant chemotherapy.组织学肿瘤消退分级(TRG)在新辅助化疗治疗的局部晚期食管癌治疗评估中的预测价值。
Chin J Cancer. 2012 Aug;31(8):399-408. doi: 10.5732/cjc.011.10406. Epub 2012 May 8.
2
Comparison of five tumor regression grading systems for gastric adenocarcinoma after neoadjuvant chemotherapy: a retrospective study of 192 cases from National Cancer Center in China.新辅助化疗后胃腺癌五种肿瘤退缩分级系统的比较:一项来自中国国家癌症中心192例病例的回顾性研究
BMC Gastroenterol. 2017 Mar 14;17(1):41. doi: 10.1186/s12876-017-0598-5.
3
Long-term results of a phase II trial of neoadjuvant chemotherapy followed by esophagectomy for locally advanced esophageal neoplasm.一项针对局部晚期食管肿瘤进行新辅助化疗后行食管切除术的II期试验的长期结果。
Ann Thorac Surg. 2008 Jun;85(6):1930-6; discussion 1936-7. doi: 10.1016/j.athoracsur.2008.01.097.
4
Prognostic significance of tumor regression grade for patients with esophageal squamous cell carcinoma after neoadjuvant chemotherapy followed by surgery.新辅助化疗后手术的食管鳞状细胞癌患者肿瘤退缩分级的预后意义
J Surg Oncol. 2016 Mar;113(4):390-6. doi: 10.1002/jso.24151. Epub 2016 Jan 12.
5
Prognostic nomogram for previously untreated patients with esophageal squamous cell carcinoma after esophagectomy followed by adjuvant chemotherapy.食管鳞状细胞癌患者接受食管切除术后辅助化疗,针对此前未接受过治疗患者的预后列线图。
Jpn J Clin Oncol. 2016 Apr;46(4):336-43. doi: 10.1093/jjco/hyv206. Epub 2016 Jan 26.
6
Prognostic Value of Tumor Regression Grade Based on Ryan Score in Squamous Cell Carcinoma and Adenocarcinoma of Esophagus.基于 Ryan 评分的肿瘤退缩分级对食管鳞癌和腺癌的预后价值。
Ann Surg Oncol. 2020 Apr;27(4):1241-1247. doi: 10.1245/s10434-019-07967-8. Epub 2019 Oct 29.
7
Tumor/normal esophagus ratio in (18)F-fluorodeoxyglucose positron emission tomography/computed tomography for response and prognosis stratification after neoadjuvant chemotherapy for esophageal squamous cell carcinoma.(18)F-氟脱氧葡萄糖正电子发射断层扫描/计算机断层扫描中肿瘤/正常食管比值在食管鳞状细胞癌新辅助化疗后的疗效及预后分层中的应用
J Gastroenterol. 2016 Aug;51(8):788-95. doi: 10.1007/s00535-015-1150-4. Epub 2015 Dec 15.
8
A phase II study of neoadjuvant and adjuvant chemotherapy with 5-fluorodeoxyuridine, leucovorin, oxaliplatin and docetaxel in the treatment of previously untreated advanced esophageal adenocarcinoma.一项新辅助和辅助化疗联合氟尿嘧啶、亚叶酸钙、奥沙利铂和多西紫杉醇治疗未经治疗的晚期食管腺癌的 II 期研究。
Jpn J Clin Oncol. 2011 Apr;41(4):469-76. doi: 10.1093/jjco/hyq239. Epub 2011 Jan 21.
9
Is pathologic tumor regression grade after neo-adjuvant chemotherapy a promising prognostic indicator for patients with locally advanced gastric cancer? A cohort study evaluating tumor regression response.新辅助化疗后病理肿瘤退缩分级是否是局部进展期胃癌患者有前途的预后指标?一项评估肿瘤退缩反应的队列研究。
Cancer Chemother Pharmacol. 2019 Sep;84(3):635-646. doi: 10.1007/s00280-019-03893-4. Epub 2019 Jun 22.
10
Evaluation of the 7th edition of the TNM classification in patients with resected esophageal squamous cell carcinoma.对接受手术切除的食管鳞状细胞癌患者进行第7版TNM分类评估。
World J Gastroenterol. 2014 Dec 28;20(48):18397-403. doi: 10.3748/wjg.v20.i48.18397.

引用本文的文献

1
Tumor regression grade in locally advanced rectal cancer after neoadjuvant chemoradiotherapy: influencing factors and prognostic significance.新辅助放化疗后局部晚期直肠癌的肿瘤退缩分级:影响因素及预后意义
Int J Clin Exp Pathol. 2023 Jun 15;16(6):124-132. eCollection 2023.
2
Investigating the susceptibility of treatment-resistant oesophageal tumours to natural killer cell-mediated responses.研究自然杀伤细胞介导的反应对治疗抵抗性食管肿瘤的敏感性。
Clin Exp Med. 2023 Jun;23(2):411-425. doi: 10.1007/s10238-022-00811-6. Epub 2022 Apr 1.
3
Comparison of tumor regression grading system in locally advanced esophageal squamous cell carcinoma after preoperative radio-chemotherapy to determine the most accurate system predicting prognosis.

本文引用的文献

1
Esophageal and esophagogastric junction cancers.食管癌和食管胃交界癌。
J Natl Compr Canc Netw. 2011 Aug 1;9(8):830-87. doi: 10.6004/jnccn.2011.0072.
2
Survival after neoadjuvant chemotherapy or chemoradiotherapy for resectable oesophageal carcinoma: an updated meta-analysis.可切除食管癌新辅助化疗或放化疗后的生存:更新的荟萃分析。
Lancet Oncol. 2011 Jul;12(7):681-92. doi: 10.1016/S1470-2045(11)70142-5. Epub 2011 Jun 16.
3
Neoadjuvant chemoradiotherapy for resectable oesophageal and gastro-oesophageal junction cancer--do we need another randomised trial?
术前放化疗后局部晚期食管鳞状细胞癌肿瘤退缩分级系统的比较,以确定预测预后最准确的系统。
J Gastrointest Oncol. 2019 Apr;10(2):276-282. doi: 10.21037/jgo.2018.12.01.
4
Prognostic value of pathological lymph node status and primary tumour regression grading following neoadjuvant chemotherapy - results from the MRC OE02 oesophageal cancer trial.新辅助化疗后病理淋巴结状态和原发肿瘤退缩分级的预后价值 - MRC OE02 食管癌试验的结果。
Histopathology. 2018 Jun;72(7):1180-1188. doi: 10.1111/his.13491. Epub 2018 Mar 25.
5
Correlation Between Standardized Uptake Value in Preneoadjuvant and Postneoadjuvant Chemoradiotherapy and Tumor Regression Grade in Patients With Locally Advanced Esophageal Cancer.局部晚期食管癌患者新辅助化疗放疗前后标准化摄取值与肿瘤退缩分级的相关性
Am J Clin Oncol. 2018 Mar;41(3):254-258. doi: 10.1097/COC.0000000000000258.
6
Nedaplatin concurrent with three-dimensional conformal radiotherapy for treatment of locally advanced esophageal carcinoma.奈达铂联合三维适形放疗治疗局部晚期食管癌。
World J Gastroenterol. 2013 Dec 28;19(48):9447-52. doi: 10.3748/wjg.v19.i48.9447.
可切除食管和胃食管交界癌的新辅助放化疗——我们还需要另一项随机试验吗?
Clin Oncol (R Coll Radiol). 2011 Dec;23(10):696-705. doi: 10.1016/j.clon.2011.05.005. Epub 2011 Jun 17.
4
Considerations of treatment standardization from the procession of NCCN guideline of esophageal cancer.从美国国立综合癌症网络(NCCN)食管癌临床实践指南的发展历程看治疗标准化的考量
Chin J Cancer. 2010 Oct;29(10):860-4. doi: 10.5732/cjc.010.10251.
5
7th edition of the AJCC Cancer Staging Manual: esophagus and esophagogastric junction.《美国癌症联合委员会(AJCC)癌症分期手册》第7版:食管和食管胃交界部
Ann Surg Oncol. 2010 Jul;17(7):1721-4. doi: 10.1245/s10434-010-1024-1.
6
Neoadjuvant strategies for the treatment of locally advanced esophageal cancer.局部晚期食管癌的新辅助治疗策略。
J Surg Oncol. 2010 Mar 15;101(4):299-304. doi: 10.1002/jso.21479.
7
Effect of neoadjuvant chemoradiotherapy on prognosis and surgery for esophageal carcinoma.新辅助放化疗对食管癌预后和手术的影响。
World J Gastroenterol. 2009 Oct 21;15(39):4962-8. doi: 10.3748/wjg.15.4962.
8
Prognostic significance of histopathological tumor regression after neoadjuvant chemotherapy in esophageal adenocarcinomas.新辅助化疗后食管腺癌的组织病理学肿瘤退缩的预后意义。
Mod Pathol. 2009 Dec;22(12):1555-63. doi: 10.1038/modpathol.2009.123. Epub 2009 Oct 2.
9
Multicenter phase II trial of preoperative induction chemotherapy followed by chemoradiation with docetaxel and cisplatin for locally advanced esophageal carcinoma (SAKK 75/02).多中心II期试验:术前诱导化疗后联合多西他赛和顺铂进行放化疗治疗局部晚期食管癌(SAKK 75/02)
Ann Oncol. 2009 Sep;20(9):1522-1528. doi: 10.1093/annonc/mdp045. Epub 2009 May 22.
10
Multimodality assessment of esophageal cancer: preoperative staging and monitoring of response to therapy.食管癌的多模态评估:术前分期及治疗反应监测
Radiographics. 2009 Mar-Apr;29(2):403-21. doi: 10.1148/rg.292085106.