Suppr超能文献

自动滴定与固定持续气道正压通气治疗阻塞性睡眠呼吸暂停:系统评价与荟萃分析。

Auto-titrating versus fixed continuous positive airway pressure for the treatment of obstructive sleep apnea: a systematic review with meta-analyses.

机构信息

Institute of Clinical Research and Health Policy Studies, Tufts University School of Medicine, Tufts Medical Center, Boston, MA, USA.

出版信息

Syst Rev. 2012 Mar 8;1:20. doi: 10.1186/2046-4053-1-20.

Abstract

BACKGROUND

Obstructive sleep apnea is a relatively common disorder that can lead to lost productivity and cardiovascular disease. The form of positive airway treatment that should be offered is unclear.

METHODS

MEDLINE and the Cochrane Central Trials registry were searched for English language randomized controlled trials comparing auto-titrating positive airway pressure (APAP) with continuous positive airway pressure (CPAP) in adults with obstructive sleep apnea (inception through 9/2010). Six researchers extracted information on study design, potential bias, patient characteristics, interventions and outcomes. Data for each study were extracted by one reviewer and confirmed by another. Random effects model meta-analyses were performed for selected outcomes.

RESULTS

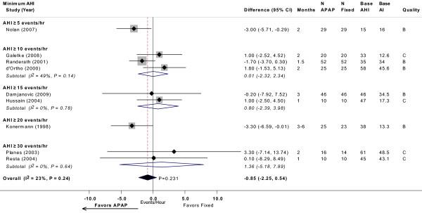
Twenty-four randomized controlled trials met the inclusion criteria. In individual studies, APAP and fixed CPAP resulted in similar changes from baseline in the apnea-hypopnea index, most other sleep study measures and quality of life. By meta-analysis, APAP improved compliance by 11 minutes per night (95% CI, 3 to 19 minutes) and reduced sleepiness as measured by the Epworth Sleepiness Scale by 0.5 points (95% CI, 0.8 to 0.2 point reduction) compared with fixed CPAP. Fixed CPAP improved minimum oxygen saturation by 1.3% more than APAP (95% CI, 0.4 to 2.2%). Studies had relatively short follow-up and generally excluded patients with significant comorbidities. No study reported on objective clinical outcomes.

CONCLUSIONS

Statistically significant differences were found but clinical importance is unclear. Because the treatment effects are similar between APAP and CPAP, the therapy of choice may depend on other factors such as patient preference, specific reasons for non-compliance and cost.

摘要

背景

阻塞性睡眠呼吸暂停是一种较为常见的疾病,可导致工作效率下降和心血管疾病。目前尚不清楚应提供哪种形式的气道正压治疗。

方法

检索 MEDLINE 和 Cochrane 中心试验注册库,以获取比较成人阻塞性睡眠呼吸暂停患者自动调压气道正压通气(APAP)与持续气道正压通气(CPAP)的英语随机对照试验(截至 2010 年 9 月)。六位研究人员提取了研究设计、潜在偏倚、患者特征、干预措施和结局方面的信息。每位研究人员对信息进行提取,另一位对其进行确认。对特定结局进行了随机效应模型荟萃分析。

结果

共有 24 项随机对照试验符合纳入标准。在个别研究中,APAP 和固定 CPAP 治疗均可使睡眠呼吸暂停低通气指数、多数其他睡眠研究指标和生活质量较基线发生相似的变化。通过荟萃分析,APAP 与固定 CPAP 相比可使每晚顺应性提高 11 分钟(95%可信区间,3 至 19 分钟),Epworth 嗜睡量表评估的嗜睡程度降低 0.5 分(95%可信区间,0.8 至 0.2 分降低)。固定 CPAP 使最低血氧饱和度比 APAP 提高 1.3%(95%可信区间,0.4 至 2.2%)。研究的随访时间相对较短,且普遍排除了存在严重合并症的患者。没有研究报告客观的临床结局。

结论

虽然发现了统计学显著差异,但临床意义尚不清楚。由于 APAP 和 CPAP 的治疗效果相似,因此选择哪种治疗方法可能取决于患者的偏好、不依从的具体原因和费用等其他因素。

https://cdn.ncbi.nlm.nih.gov/pmc/blobs/e4d3/3351715/a58cd7798b61/2046-4053-1-20-1.jpg

文献AI研究员

20分钟写一篇综述,助力文献阅读效率提升50倍。

立即体验

用中文搜PubMed

大模型驱动的PubMed中文搜索引擎

马上搜索

文档翻译

学术文献翻译模型,支持多种主流文档格式。

立即体验