• 文献检索
  • 文档翻译
  • 深度研究
  • 学术资讯
  • Suppr Zotero 插件Zotero 插件
  • 邀请有礼
  • 套餐&价格
  • 历史记录
应用&插件
Suppr Zotero 插件Zotero 插件浏览器插件Mac 客户端Windows 客户端微信小程序
定价
高级版会员购买积分包购买API积分包
服务
文献检索文档翻译深度研究API 文档MCP 服务
关于我们
关于 Suppr公司介绍联系我们用户协议隐私条款
关注我们

Suppr 超能文献

核心技术专利:CN118964589B侵权必究
粤ICP备2023148730 号-1Suppr @ 2026

文献检索

告别复杂PubMed语法,用中文像聊天一样搜索,搜遍4000万医学文献。AI智能推荐,让科研检索更轻松。

立即免费搜索

文件翻译

保留排版,准确专业,支持PDF/Word/PPT等文件格式,支持 12+语言互译。

免费翻译文档

深度研究

AI帮你快速写综述,25分钟生成高质量综述,智能提取关键信息,辅助科研写作。

立即免费体验

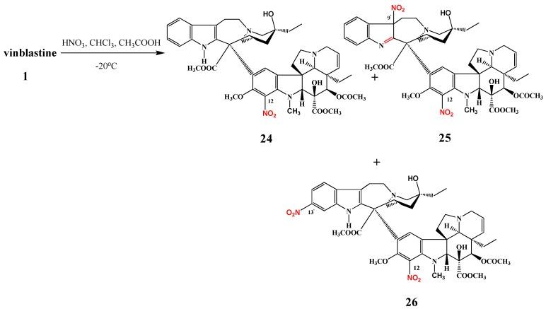
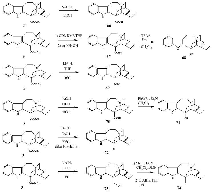
长春碱和长春新碱基本骨架的修饰。

Modifications on the basic skeletons of vinblastine and vincristine.

机构信息

Department of Organic Chemistry and Technology, University of Technology and Economics, H-1111 Budapest, Szt. Gellért tér 4, Hungary.

出版信息

Molecules. 2012 May 18;17(5):5893-914. doi: 10.3390/molecules17055893.

DOI:10.3390/molecules17055893
PMID:22609781
原文链接:https://pmc.ncbi.nlm.nih.gov/articles/PMC6268133/
Abstract

The synthetic investigation of biologically active natural compounds serves two main purposes: (i) the total synthesis of alkaloids and their analogues; (ii) modification of the structures for producing more selective, more effective, or less toxic derivatives. In the chemistry of dimeric Vinca alkaloids enormous efforts have been directed towards synthesizing new derivatives of the antitumor agents vinblastine and vincristine so as to obtain novel compounds with improved therapeutic properties.

摘要

生物活性天然化合物的综合研究有两个主要目的

(i)生物碱及其类似物的全合成;(ii)结构修饰以产生更具选择性、更有效或毒性更低的衍生物。在二聚长春碱类生物碱的化学中,人们致力于合成抗肿瘤药物长春碱和长春新碱的新衍生物,以获得具有改善治疗性能的新型化合物。

https://cdn.ncbi.nlm.nih.gov/pmc/blobs/6db5/6268133/14ae9f0430ad/molecules-17-05893-g036.jpg
https://cdn.ncbi.nlm.nih.gov/pmc/blobs/6db5/6268133/6e72432d671c/molecules-17-05893-g001.jpg
https://cdn.ncbi.nlm.nih.gov/pmc/blobs/6db5/6268133/c33f82d14d14/molecules-17-05893-g002.jpg
https://cdn.ncbi.nlm.nih.gov/pmc/blobs/6db5/6268133/2beca340cabe/molecules-17-05893-g003.jpg
https://cdn.ncbi.nlm.nih.gov/pmc/blobs/6db5/6268133/945b32cb2666/molecules-17-05893-g004.jpg
https://cdn.ncbi.nlm.nih.gov/pmc/blobs/6db5/6268133/372b2209f169/molecules-17-05893-g005.jpg
https://cdn.ncbi.nlm.nih.gov/pmc/blobs/6db5/6268133/15ac739c5dae/molecules-17-05893-g006.jpg
https://cdn.ncbi.nlm.nih.gov/pmc/blobs/6db5/6268133/8855a3876db7/molecules-17-05893-g007.jpg
https://cdn.ncbi.nlm.nih.gov/pmc/blobs/6db5/6268133/079286414cb4/molecules-17-05893-g008.jpg
https://cdn.ncbi.nlm.nih.gov/pmc/blobs/6db5/6268133/72a52c25fb68/molecules-17-05893-g009.jpg
https://cdn.ncbi.nlm.nih.gov/pmc/blobs/6db5/6268133/eccbd5debc50/molecules-17-05893-g010.jpg
https://cdn.ncbi.nlm.nih.gov/pmc/blobs/6db5/6268133/42055e616097/molecules-17-05893-g011.jpg
https://cdn.ncbi.nlm.nih.gov/pmc/blobs/6db5/6268133/e1e1cdd3d364/molecules-17-05893-g012.jpg
https://cdn.ncbi.nlm.nih.gov/pmc/blobs/6db5/6268133/578c8479dc02/molecules-17-05893-g013.jpg
https://cdn.ncbi.nlm.nih.gov/pmc/blobs/6db5/6268133/c52f1b6c051b/molecules-17-05893-g014.jpg
https://cdn.ncbi.nlm.nih.gov/pmc/blobs/6db5/6268133/9564194566b7/molecules-17-05893-g015.jpg
https://cdn.ncbi.nlm.nih.gov/pmc/blobs/6db5/6268133/a2bbe0f3e68a/molecules-17-05893-g016.jpg
https://cdn.ncbi.nlm.nih.gov/pmc/blobs/6db5/6268133/d499dfd1ed19/molecules-17-05893-g017.jpg
https://cdn.ncbi.nlm.nih.gov/pmc/blobs/6db5/6268133/962cad0b394a/molecules-17-05893-g018.jpg
https://cdn.ncbi.nlm.nih.gov/pmc/blobs/6db5/6268133/182bf2eb5ca0/molecules-17-05893-g019.jpg
https://cdn.ncbi.nlm.nih.gov/pmc/blobs/6db5/6268133/645cdf83a82a/molecules-17-05893-g020.jpg
https://cdn.ncbi.nlm.nih.gov/pmc/blobs/6db5/6268133/eb412939e532/molecules-17-05893-g021.jpg
https://cdn.ncbi.nlm.nih.gov/pmc/blobs/6db5/6268133/af8f291094b6/molecules-17-05893-g022.jpg
https://cdn.ncbi.nlm.nih.gov/pmc/blobs/6db5/6268133/11863d835fba/molecules-17-05893-g023.jpg
https://cdn.ncbi.nlm.nih.gov/pmc/blobs/6db5/6268133/1ca8819d14f3/molecules-17-05893-g024.jpg
https://cdn.ncbi.nlm.nih.gov/pmc/blobs/6db5/6268133/85c9fe7ecb66/molecules-17-05893-g025.jpg
https://cdn.ncbi.nlm.nih.gov/pmc/blobs/6db5/6268133/361bc62a6b95/molecules-17-05893-g026.jpg
https://cdn.ncbi.nlm.nih.gov/pmc/blobs/6db5/6268133/cbc4cfb5e9fb/molecules-17-05893-g027.jpg
https://cdn.ncbi.nlm.nih.gov/pmc/blobs/6db5/6268133/430c1f9fe6f3/molecules-17-05893-g028.jpg
https://cdn.ncbi.nlm.nih.gov/pmc/blobs/6db5/6268133/f8a288be823b/molecules-17-05893-g029.jpg
https://cdn.ncbi.nlm.nih.gov/pmc/blobs/6db5/6268133/486e84aac642/molecules-17-05893-g030.jpg
https://cdn.ncbi.nlm.nih.gov/pmc/blobs/6db5/6268133/eacb0284e296/molecules-17-05893-g031.jpg
https://cdn.ncbi.nlm.nih.gov/pmc/blobs/6db5/6268133/a7809fe4a9e0/molecules-17-05893-g032.jpg
https://cdn.ncbi.nlm.nih.gov/pmc/blobs/6db5/6268133/a9bedaef06c3/molecules-17-05893-g033.jpg
https://cdn.ncbi.nlm.nih.gov/pmc/blobs/6db5/6268133/61180ba18b90/molecules-17-05893-g034.jpg
https://cdn.ncbi.nlm.nih.gov/pmc/blobs/6db5/6268133/bd0b2979f3bb/molecules-17-05893-g035.jpg
https://cdn.ncbi.nlm.nih.gov/pmc/blobs/6db5/6268133/14ae9f0430ad/molecules-17-05893-g036.jpg
https://cdn.ncbi.nlm.nih.gov/pmc/blobs/6db5/6268133/6e72432d671c/molecules-17-05893-g001.jpg
https://cdn.ncbi.nlm.nih.gov/pmc/blobs/6db5/6268133/c33f82d14d14/molecules-17-05893-g002.jpg
https://cdn.ncbi.nlm.nih.gov/pmc/blobs/6db5/6268133/2beca340cabe/molecules-17-05893-g003.jpg
https://cdn.ncbi.nlm.nih.gov/pmc/blobs/6db5/6268133/945b32cb2666/molecules-17-05893-g004.jpg
https://cdn.ncbi.nlm.nih.gov/pmc/blobs/6db5/6268133/372b2209f169/molecules-17-05893-g005.jpg
https://cdn.ncbi.nlm.nih.gov/pmc/blobs/6db5/6268133/15ac739c5dae/molecules-17-05893-g006.jpg
https://cdn.ncbi.nlm.nih.gov/pmc/blobs/6db5/6268133/8855a3876db7/molecules-17-05893-g007.jpg
https://cdn.ncbi.nlm.nih.gov/pmc/blobs/6db5/6268133/079286414cb4/molecules-17-05893-g008.jpg
https://cdn.ncbi.nlm.nih.gov/pmc/blobs/6db5/6268133/72a52c25fb68/molecules-17-05893-g009.jpg
https://cdn.ncbi.nlm.nih.gov/pmc/blobs/6db5/6268133/eccbd5debc50/molecules-17-05893-g010.jpg
https://cdn.ncbi.nlm.nih.gov/pmc/blobs/6db5/6268133/42055e616097/molecules-17-05893-g011.jpg
https://cdn.ncbi.nlm.nih.gov/pmc/blobs/6db5/6268133/e1e1cdd3d364/molecules-17-05893-g012.jpg
https://cdn.ncbi.nlm.nih.gov/pmc/blobs/6db5/6268133/578c8479dc02/molecules-17-05893-g013.jpg
https://cdn.ncbi.nlm.nih.gov/pmc/blobs/6db5/6268133/c52f1b6c051b/molecules-17-05893-g014.jpg
https://cdn.ncbi.nlm.nih.gov/pmc/blobs/6db5/6268133/9564194566b7/molecules-17-05893-g015.jpg
https://cdn.ncbi.nlm.nih.gov/pmc/blobs/6db5/6268133/a2bbe0f3e68a/molecules-17-05893-g016.jpg
https://cdn.ncbi.nlm.nih.gov/pmc/blobs/6db5/6268133/d499dfd1ed19/molecules-17-05893-g017.jpg
https://cdn.ncbi.nlm.nih.gov/pmc/blobs/6db5/6268133/962cad0b394a/molecules-17-05893-g018.jpg
https://cdn.ncbi.nlm.nih.gov/pmc/blobs/6db5/6268133/182bf2eb5ca0/molecules-17-05893-g019.jpg
https://cdn.ncbi.nlm.nih.gov/pmc/blobs/6db5/6268133/645cdf83a82a/molecules-17-05893-g020.jpg
https://cdn.ncbi.nlm.nih.gov/pmc/blobs/6db5/6268133/eb412939e532/molecules-17-05893-g021.jpg
https://cdn.ncbi.nlm.nih.gov/pmc/blobs/6db5/6268133/af8f291094b6/molecules-17-05893-g022.jpg
https://cdn.ncbi.nlm.nih.gov/pmc/blobs/6db5/6268133/11863d835fba/molecules-17-05893-g023.jpg
https://cdn.ncbi.nlm.nih.gov/pmc/blobs/6db5/6268133/1ca8819d14f3/molecules-17-05893-g024.jpg
https://cdn.ncbi.nlm.nih.gov/pmc/blobs/6db5/6268133/85c9fe7ecb66/molecules-17-05893-g025.jpg
https://cdn.ncbi.nlm.nih.gov/pmc/blobs/6db5/6268133/361bc62a6b95/molecules-17-05893-g026.jpg
https://cdn.ncbi.nlm.nih.gov/pmc/blobs/6db5/6268133/cbc4cfb5e9fb/molecules-17-05893-g027.jpg
https://cdn.ncbi.nlm.nih.gov/pmc/blobs/6db5/6268133/430c1f9fe6f3/molecules-17-05893-g028.jpg
https://cdn.ncbi.nlm.nih.gov/pmc/blobs/6db5/6268133/f8a288be823b/molecules-17-05893-g029.jpg
https://cdn.ncbi.nlm.nih.gov/pmc/blobs/6db5/6268133/486e84aac642/molecules-17-05893-g030.jpg
https://cdn.ncbi.nlm.nih.gov/pmc/blobs/6db5/6268133/eacb0284e296/molecules-17-05893-g031.jpg
https://cdn.ncbi.nlm.nih.gov/pmc/blobs/6db5/6268133/a7809fe4a9e0/molecules-17-05893-g032.jpg
https://cdn.ncbi.nlm.nih.gov/pmc/blobs/6db5/6268133/a9bedaef06c3/molecules-17-05893-g033.jpg
https://cdn.ncbi.nlm.nih.gov/pmc/blobs/6db5/6268133/61180ba18b90/molecules-17-05893-g034.jpg
https://cdn.ncbi.nlm.nih.gov/pmc/blobs/6db5/6268133/bd0b2979f3bb/molecules-17-05893-g035.jpg
https://cdn.ncbi.nlm.nih.gov/pmc/blobs/6db5/6268133/14ae9f0430ad/molecules-17-05893-g036.jpg

相似文献

1
Modifications on the basic skeletons of vinblastine and vincristine.长春碱和长春新碱基本骨架的修饰。
Molecules. 2012 May 18;17(5):5893-914. doi: 10.3390/molecules17055893.
2
Synthesis and SAR of vinca alkaloid analogues.长春花生物碱类似物的合成与构效关系
Bioorg Med Chem Lett. 2009 Feb 15;19(4):1245-9. doi: 10.1016/j.bmcl.2008.12.077. Epub 2008 Dec 25.
3
[New antitumor derivatives of vinblastine].[长春碱的新型抗肿瘤衍生物]
Acta Pharm Hung. 1998 Mar;68(2):87-93.
4
Studies on the total synthesis of bisindole alkaloids in the vinblastine-vincristine series.
Lloydia. 1977 Jan-Feb;40(1):107-26. doi: 10.1002/chin.197711357.
5
Total synthesis of vinblastine, vincristine, related natural products, and key structural analogues.长春碱、长春新碱、相关天然产物及关键结构类似物的全合成。
J Am Chem Soc. 2009 Apr 8;131(13):4904-16. doi: 10.1021/ja809842b.
6
Conversion of the Enzymatically Derived (1S,2S)-3-Bromocyclohexa-3,5-diene-1,2-diol into Enantiomerically Pure Compounds Embodying the Pentacyclic Framework of Vindoline.
J Org Chem. 2016 Feb 19;81(4):1617-26. doi: 10.1021/acs.joc.5b02788. Epub 2016 Feb 3.
7
Liposome-encapsulated vincristine, vinblastine and vinorelbine: a comparative study of drug loading and retention.脂质体包裹的长春新碱、长春碱和长春瑞滨:药物负载与保留的比较研究
J Control Release. 2005 May 5;104(1):103-11. doi: 10.1016/j.jconrel.2005.01.010. Epub 2005 Mar 2.
8
Structural studies of vinblastine alkaloids by exciton coupled circular dichroism.
Phytochemistry. 1995 Dec;40(6):1821-4. doi: 10.1016/0031-9422(95)00627-j.
9
Potential strategies for circumventing myeloperoxidase-catalyzed degradation of vinca alkaloids.
Leukemia. 1994 Apr;8(4):668-71.
10
Novel bisindole derivatives of Catharanthus alkaloids with potential cytotoxic properties.具有潜在细胞毒性的长春花生物碱新型双吲哚衍生物。
Adv Exp Med Biol. 2003;527:643-6. doi: 10.1007/978-1-4615-0135-0_74.

引用本文的文献

1
Exploring the potential of two Pseudomonas species to produce vincristine from vinblastine via biotransformation.探索两种假单胞菌通过生物转化从长春花碱生产长春新碱的潜力。
Sci Rep. 2024 Aug 23;14(1):19652. doi: 10.1038/s41598-024-70571-8.
2
Advanced Application of Polymer Nanocarriers in Delivery of Active Ingredients from Traditional Chinese Medicines.高分子纳米载体在中药活性成分传递中的高级应用。
Molecules. 2024 Jul 26;29(15):3520. doi: 10.3390/molecules29153520.
3
Novel Piperazine Derivatives of Vindoline as Anticancer Agents.

本文引用的文献

1
10'-Fluorovinblastine and 10'-Fluorovincristine: Synthesis of a Key Series of Modified Vinca Alkaloids.10'-氟长春碱和10'-氟长春新碱:关键系列修饰长春花生物碱的合成
ACS Med Chem Lett. 2011 Dec 8;2(12):948-952. doi: 10.1021/ml200236a.
2
Ceric ammonium nitrate-promoted oxidative coupling reaction for the synthesis and evaluation of a series of anti-tumor amide anhydrovinblastine analogs.硝酸铈铵促进的氧化偶联反应合成和评价一系列抗肿瘤酰胺脱水长春碱类似物。
Bioorg Med Chem Lett. 2012 Jan 1;22(1):387-90. doi: 10.1016/j.bmcl.2011.10.114. Epub 2011 Nov 6.
3
On the elucidation of the mechanism of Vinca alkaloid fluorination in superacidic medium.
新型长春堿类哌嗪衍生物作为抗癌药物。
Int J Mol Sci. 2024 Jul 19;25(14):7929. doi: 10.3390/ijms25147929.
4
activities and mechanisms of action of anti-cancer molecules from African medicinal plants: a systematic review.非洲药用植物抗癌分子的活性与作用机制:系统综述
Am J Cancer Res. 2024 Mar 15;14(3):1376-1401. doi: 10.62347/AUHB5811. eCollection 2024.
5
Advanced application of nanotechnology in active constituents of Traditional Chinese Medicines.纳米技术在中药有效成分中的高级应用。
J Nanobiotechnology. 2023 Nov 29;21(1):456. doi: 10.1186/s12951-023-02165-x.
6
A metabolic reprogramming-related prognostic risk model for clear cell renal cell carcinoma: From construction to preliminary application.一种用于透明细胞肾细胞癌的代谢重编程相关预后风险模型:从构建到初步应用
Front Oncol. 2022 Sep 13;12:982426. doi: 10.3389/fonc.2022.982426. eCollection 2022.
7
Identification of a second 16-hydroxytabersonine-O-methyltransferase suggests an evolutionary relationship between alkaloid and flavonoid metabolisms in Catharanthus roseus.鉴定出第二个 16-羟基长春新碱-O-甲基转移酶表明长春花生物碱和类黄酮代谢之间存在进化关系。
Protoplasma. 2023 Mar;260(2):607-624. doi: 10.1007/s00709-022-01801-x. Epub 2022 Aug 10.
8
Anticancer potential of alkaloids: a key emphasis to colchicine, vinblastine, vincristine, vindesine, vinorelbine and vincamine.生物碱的抗癌潜力:重点关注秋水仙碱、长春碱、长春新碱、长春地辛、长春瑞滨和长春胺。
Cancer Cell Int. 2022 Jun 2;22(1):206. doi: 10.1186/s12935-022-02624-9.
9
Indole-Based Small Molecules as Potential Therapeutic Agents for the Treatment of Fibrosis.基于吲哚的小分子作为治疗纤维化的潜在治疗剂。
Front Pharmacol. 2022 Feb 16;13:845892. doi: 10.3389/fphar.2022.845892. eCollection 2022.
10
Endophytic Fungi: From Symbiosis to Secondary Metabolite Communications or Vice Versa?内生真菌:从共生到次生代谢物交流,还是反之亦然?
Front Plant Sci. 2021 Dec 17;12:791033. doi: 10.3389/fpls.2021.791033. eCollection 2021.
在超酸介质中长春碱类化合物氟化机制的阐明。
Org Lett. 2011 Aug 5;13(15):4116-9. doi: 10.1021/ol201637m. Epub 2011 Jul 6.
4
Synthesis and in vitro antitumor effect of vinblastine derivative-oligoarginine conjugates.长春碱衍生物-聚精氨酸缀合物的合成及体外抗肿瘤活性。
Bioconjug Chem. 2010 Nov 17;21(11):1948-55. doi: 10.1021/bc100028z. Epub 2010 Oct 25.
5
Catharanthine C16 substituent effects on the biomimetic coupling with vindoline: preparation and evaluation of a key series of vinblastine analogues.咔啉 C16 取代基对与长春碱仿生偶联的影响:关键系列长春碱类似物的制备与评价。
Bioorg Med Chem Lett. 2010 Nov 15;20(22):6408-10. doi: 10.1016/j.bmcl.2010.09.091. Epub 2010 Sep 19.
6
Asymmetric total synthesis of vindorosine, vindoline, and key vinblastine analogues.不对称全合成文多灵、长春碱和关键长春碱类似物。
J Am Chem Soc. 2010 Sep 29;132(38):13533-44. doi: 10.1021/ja106284s.
7
Total synthesis and evaluation of a key series of C5-substituted vinblastine derivatives.全合成及关键系列 C5 取代长春碱衍生物的评价。
J Am Chem Soc. 2010 Jun 23;132(24):8489-95. doi: 10.1021/ja1027748.
8
Phase III trial comparing vinflunine with docetaxel in second-line advanced non-small-cell lung cancer previously treated with platinum-containing chemotherapy.比较长春氟宁与多西他赛二线治疗含铂化疗后进展的晚期非小细胞肺癌的 III 期临床试验。
J Clin Oncol. 2010 May 1;28(13):2167-73. doi: 10.1200/JCO.2009.23.4146. Epub 2010 Mar 29.
9
Total synthesis of vinblastine, vincristine, related natural products, and key structural analogues.长春碱、长春新碱、相关天然产物及关键结构类似物的全合成。
J Am Chem Soc. 2009 Apr 8;131(13):4904-16. doi: 10.1021/ja809842b.
10
Synthesis and SAR of vinca alkaloid analogues.长春花生物碱类似物的合成与构效关系
Bioorg Med Chem Lett. 2009 Feb 15;19(4):1245-9. doi: 10.1016/j.bmcl.2008.12.077. Epub 2008 Dec 25.