Suppr超能文献

深海鱼类在海山之间的分布存在差异:来自新西兰近海山链的结果。

Deep-sea fish distribution varies between seamounts: results from a seamount complex off New Zealand.

机构信息

Deepwater Group, National Institute of Water and Atmospheric Research, Wellington, New Zealand.

出版信息

PLoS One. 2012;7(6):e36897. doi: 10.1371/journal.pone.0036897. Epub 2012 Jun 20.

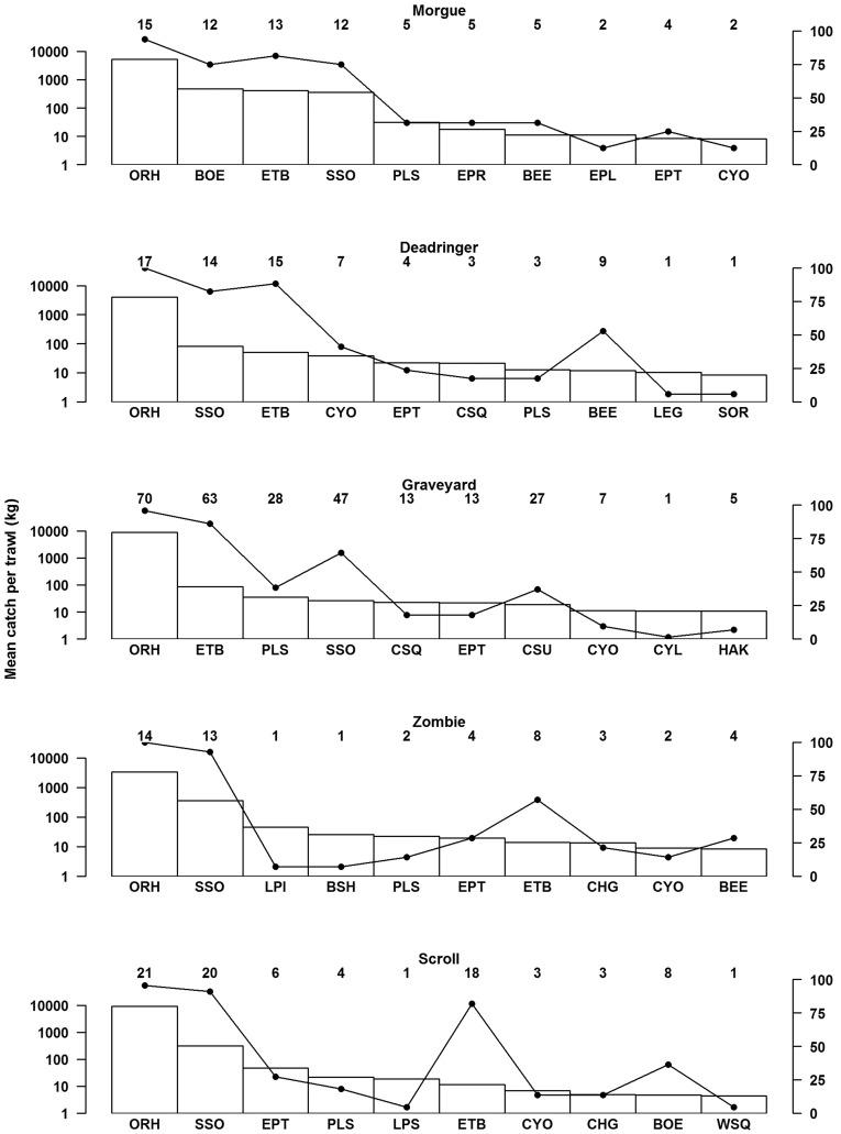
Abstract

Fish species data from a complex of seamounts off New Zealand termed the "Graveyard Seamount Complex' were analysed to investigate whether fish species composition varied between seamounts. Five seamount features were included in the study, with summit depths ranging from 748-891 m and elevation from 189-352 m. Measures of fish species dominance, rarity, richness, diversity, and similarity were examined. A number of factors were explored to explain variation in species composition, including latitude, water temperature, summit depth, depth at base, elevation, area, slope, and fishing effort. Depth at base and slope relationships were significant with shallow seamounts having high total species richness, and seamounts with a more gradual slope had high mean species richness. Species similarity was modelled and showed that the explanatory variables were driven primarily by summit depth, as well as by the intensity of fishing effort and elevation. The study showed that fish assemblages on seamounts can vary over very small spatial scales, in the order of several km. However, patterns of species similarity and abundance were inconsistent across the seamounts examined, and these results add to a growing literature suggesting that faunal communities on seamounts may be populated from a broad regional species pool, yet show considerable variation on individual seamounts.

摘要

对新西兰“墓地海山群”复杂海山群的鱼类物种数据进行了分析,以研究海山之间的鱼类物种组成是否存在差异。该研究包括了五个海山特征,山顶深度范围为 748-891 米,海拔高度为 189-352 米。研究考察了鱼类物种优势度、稀有度、丰富度、多样性和相似性的衡量标准。研究还探讨了一些因素来解释物种组成的变化,包括纬度、水温、山顶深度、山脚深度、海拔、面积、坡度和捕捞努力程度。山脚深度和坡度关系显著,浅海山拥有较高的总物种丰富度,坡度较缓的海山具有较高的平均物种丰富度。对物种相似性进行了建模,结果表明,解释变量主要受山顶深度、捕捞强度和海拔的驱动。研究表明,海山鱼类群落在很小的空间尺度上可能会发生变化,范围在几公里以内。然而,在所研究的海山之间,物种相似性和丰度模式不一致,这些结果增加了越来越多的文献,表明海山上的动物群落可能来自广泛的区域物种库,但在个别海山上存在相当大的变化。

https://cdn.ncbi.nlm.nih.gov/pmc/blobs/05a7/3380042/e8e3205b36eb/pone.0036897.g001.jpg

文献检索

告别复杂PubMed语法,用中文像聊天一样搜索,搜遍4000万医学文献。AI智能推荐,让科研检索更轻松。

立即免费搜索

文件翻译

保留排版,准确专业,支持PDF/Word/PPT等文件格式,支持 12+语言互译。

免费翻译文档

深度研究

AI帮你快速写综述,25分钟生成高质量综述,智能提取关键信息,辅助科研写作。

立即免费体验