Suppr超能文献

分析中国人血浆肽以鉴定潜在的衰老生物标志物。

Profiling plasma peptides for the identification of potential ageing biomarkers in Chinese Han adults.

机构信息

School of Public Health and Family Medicine, Capital Medical University, Beijing, People's Republic of China.

出版信息

PLoS One. 2012;7(7):e39726. doi: 10.1371/journal.pone.0039726. Epub 2012 Jul 3.

Abstract

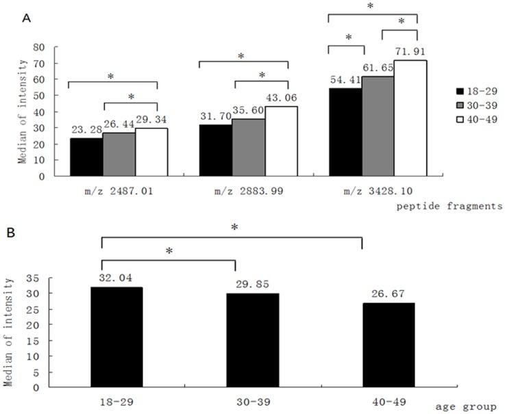
Advancing age is associated with cardiovascular disease, diabetes mellitus and cancer, and shows significant inter-individual variability. To identify ageing-related biomarkers we performed a proteomic analysis on 1890 Chinese Han individuals, 1136 males and 754 females, aged 18 to 82 years, using weak cation exchange magnetic bead based MALDI-TOF-MS analysis. The study identified 44 peptides which varied in concentration in different age groups. In particular, apolipoprotein A-I (ApoA1) concentration gradually increased between 18 to 50 years of age, the levels of fibrinogen alpha (FGA) decreased over the same age span, while albumin (ALB) was significantly degraded in middle-aged individuals. In addition, the plasma peptide profiles of FGA and four other unidentified proteins were found to be gender-dependent. Plasma proteins such as FGA, ALB and ApoA1 are significantly correlated with age in the Chinese Han population and could be employed as indicative ageing-related biomarkers.

摘要

随着年龄的增长,与心血管疾病、糖尿病和癌症有关,并表现出显著的个体间差异。为了确定与衰老相关的生物标志物,我们对 1890 名中国汉族个体(男性 1136 名,女性 754 名)进行了蛋白质组分析,年龄为 18 至 82 岁,使用基于弱阳离子交换磁珠的 MALDI-TOF-MS 分析。该研究鉴定出 44 种在不同年龄组中浓度不同的肽。特别是载脂蛋白 A-I(ApoA1)的浓度在 18 至 50 岁之间逐渐增加,纤维蛋白原α(FGA)的水平在同一年龄段下降,而白蛋白(ALB)在中年个体中明显降解。此外,还发现 FGA 和其他四种未鉴定蛋白的血浆肽谱存在性别依赖性。血浆蛋白如 FGA、ALB 和 ApoA1 与中国汉族人群的年龄显著相关,可作为指示与衰老相关的生物标志物。

https://cdn.ncbi.nlm.nih.gov/pmc/blobs/fa8f/3389038/bc159dbf17e0/pone.0039726.g001.jpg

相似文献

1
Profiling plasma peptides for the identification of potential ageing biomarkers in Chinese Han adults.
PLoS One. 2012;7(7):e39726. doi: 10.1371/journal.pone.0039726. Epub 2012 Jul 3.
2
Modelling biological age based on plasma peptides in Han Chinese adults.
Aging (Albany NY). 2020 Jun 5;12(11):10676-10686. doi: 10.18632/aging.103286.
3
Plasma protein profiling for potential biomarkers in the early diagnosis of Alzheimer's disease.
Neurol Res. 2017 Mar;39(3):231-238. doi: 10.1080/01616412.2017.1281195. Epub 2017 Jan 20.
5
Identifying FGA peptides as nasopharyngeal carcinoma-associated biomarkers by magnetic beads.
J Cell Biochem. 2012 Jul;113(7):2268-78. doi: 10.1002/jcb.24097.
7
The differential diagnostic model for serous peptidomics in HBV carriers established by MALDI-TOF-MS analysis.
Clin Biochem. 2014 Jan;47(1-2):56-62. doi: 10.1016/j.clinbiochem.2013.10.016. Epub 2013 Oct 29.
8
Isoform 1 of Fibrinogen Alpha Chain Precursor is a Potential Biomarker for Steroid-Induced Osteonecrosis of the Femoral Head.
Proteomics Clin Appl. 2020 Nov;14(6):e1900099. doi: 10.1002/prca.201900099. Epub 2020 Aug 5.
9
Identification of biomarkers for endometriosis using clinical proteomics.
Chin Med J (Engl). 2015 Feb 20;128(4):520-7. doi: 10.4103/0366-6999.151108.

引用本文的文献

1
Biological Aging and Venous Thromboembolism: A Review of Telomeres and Beyond.
Biomedicines. 2024 Dec 25;13(1):15. doi: 10.3390/biomedicines13010015.
3
Progeria and Aging-Omics Based Comparative Analysis.
Biomedicines. 2022 Sep 29;10(10):2440. doi: 10.3390/biomedicines10102440.
4
Measuring biological age using omics data.
Nat Rev Genet. 2022 Dec;23(12):715-727. doi: 10.1038/s41576-022-00511-7. Epub 2022 Jun 17.
7
Modelling biological age based on plasma peptides in Han Chinese adults.
Aging (Albany NY). 2020 Jun 5;12(11):10676-10686. doi: 10.18632/aging.103286.
8
Longitudinal effects of aging on plasma proteins levels in older adults - associations with kidney function and hemoglobin levels.
PLoS One. 2019 Feb 25;14(2):e0212060. doi: 10.1371/journal.pone.0212060. eCollection 2019.
9
Serum peptidome profiling for the diagnosis of colorectal cancer: discovery and validation in two independent cohorts.
Oncotarget. 2017 Jul 26;8(35):59376-59386. doi: 10.18632/oncotarget.19587. eCollection 2017 Aug 29.
10
Biological Age Predictors.
EBioMedicine. 2017 Jul;21:29-36. doi: 10.1016/j.ebiom.2017.03.046. Epub 2017 Apr 1.

本文引用的文献

1
Screening novel biomarkers for metabolic syndrome by profiling human plasma N-glycans in Chinese Han and Croatian populations.
J Proteome Res. 2011 Nov 4;10(11):4959-69. doi: 10.1021/pr2004067. Epub 2011 Oct 18.
2
Identification of serum biomarkers for ovarian cancer using MALDI-TOF-MS combined with magnetic beads.
Int J Clin Oncol. 2012 Apr;17(2):89-95. doi: 10.1007/s10147-011-0259-6. Epub 2011 Jun 3.
3
Age-related differences in plasma proteins: how plasma proteins change from neonates to adults.
PLoS One. 2011 Feb 18;6(2):e17213. doi: 10.1371/journal.pone.0017213.
5
Proteomic analysis of plasma proteins in Japanese semisuper centenarians.
Exp Gerontol. 2011 Jan;46(1):81-5. doi: 10.1016/j.exger.2010.10.002. Epub 2010 Oct 14.
6
Development of a serum profile for healthy aging.
Age (Dordr). 2010 Dec;32(4):497-507. doi: 10.1007/s11357-010-9146-8. Epub 2010 May 19.
7
RNA editing genes associated with extreme old age in humans and with lifespan in C. elegans.
PLoS One. 2009 Dec 14;4(12):e8210. doi: 10.1371/journal.pone.0008210.
8
Biomarkers of aging and disease: introduction and definitions.
Exp Gerontol. 2010 Jan;45(1):2-4. doi: 10.1016/j.exger.2009.07.008. Epub 2009 Aug 3.
9
Association of FOXO3A variation with human longevity confirmed in German centenarians.
Proc Natl Acad Sci U S A. 2009 Feb 24;106(8):2700-5. doi: 10.1073/pnas.0809594106. Epub 2009 Feb 5.
10
Genome-wide association studies in aging-related processes such as diabetes mellitus, atherosclerosis and cancer.
Exp Gerontol. 2008 Jan;43(1):39-43. doi: 10.1016/j.exger.2007.09.005. Epub 2007 Sep 29.

文献AI研究员

20分钟写一篇综述,助力文献阅读效率提升50倍。

立即体验

用中文搜PubMed

大模型驱动的PubMed中文搜索引擎

马上搜索

文档翻译

学术文献翻译模型,支持多种主流文档格式。

立即体验