Suppr超能文献

缺血后处理联合曲美他嗪对肾脏的内质网应激及线粒体损伤的衰减作用。

Attenuation of endoplasmic reticulum stress and mitochondrial injury in kidney with ischemic postconditioning application and trimetazidine treatment.

机构信息

Laboratory of human physiology, faculty of pharmacy, university of Monastir, Rue Avicenne, Monastir 5000, Tunisia.

出版信息

J Biomed Sci. 2012 Aug 1;19(1):71. doi: 10.1186/1423-0127-19-71.

Abstract

BACKGROUND

Endoplasmic reticulum (ER) and mitochondria have been implicated in the pathology of renal ischemia/reperfusion (I/R). In the present study, we investigated whether the use of ischemic postconditioning (IPostC) and trimetazidine (TMZ) separately or combined could reduce ER stress and mitochondria damage after renal ischemia.

METHODS

Kidneys of Wistar rats were subjected to 60-min of warm ischemia followed by 120-min of reperfusion (I/R group, n = 6), or to 6 cycles of ischemia/reperfusion (10-s each cycle) just after 60-min of warm ischemia (IPostC group, n = 6), or to i.p. injection of TMZ (3 mg/kg) 30-min before ischemia (TMZ group, n = 6), or to the combination of both treatments (IPostC+TMZ group, n = 6). The results of these experimental groups were compared to those of a sham-operated group in which rat renal pedicles were only dissected. Sodium reabsorption rate, creatinine clearance lactate deshydrogenase (LDH) activity in plasma, and concentration of malonedialdehyde (MDA) in tissue were determined. In addition, Western blot analysis was performed to identify the amounts of cytochrome c, c-JunNH2-terminal kinase (JNK), voltage-dependent anion channel (VDAC), glycogen synthase kinase 3-beta (GSK3-β), and ER stress parameters.

RESULTS

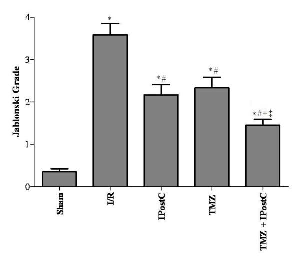
IPostC or/and TMZ significantly decreased cytolysis, oxidative stress and improved renal function in comparison to I/R group. IPostC but not TMZ significantly attenuated ER stress parameters versus I/R group. Indeed, it down-regulated the glucose-regulated protein 78 (GRP78), the activating transcription factor 4 (ATF4), the RNA activated protein kinase (PKR)-like ER kinas (PERK), the X box binding protein-1 (XBP-1) and the caspase12 protein levels. TMZ treatment significantly augmented GSK3-β phosphorylation and reduced levels of cytochrome c and VDAC phosphorylation in comparison to IPostC application. The combination of both treatments gave a synergetic effect. It significantly improved the survival rate, attenuated cytolysis, oxidative stress and improved renal function.

CONCLUSION

This study revealed that IPostC protects kidney from I/R injury by suppressing ER stress while the beneficial effects of TMZ are mediated by mitochondria protection. The combination of both treatments ameliorated functional recovery.

摘要

背景

内质网(ER)和线粒体已被牵涉到肾缺血/再灌注(I/R)的病理过程中。在本研究中,我们研究了分别或联合使用缺血后处理(IPostC)和曲美他嗪(TMZ)是否可以减轻肾缺血后的 ER 应激和线粒体损伤。

方法

Wistar 大鼠的肾脏在经历 60 分钟的热缺血后,再经历 120 分钟的再灌注(I/R 组,n=6),或者在 60 分钟的热缺血后,进行 6 个周期的缺血/再灌注(每个周期 10 秒)(IPostC 组,n=6),或者在缺血前 30 分钟腹腔内注射 TMZ(3mg/kg)(TMZ 组,n=6),或者联合使用两种处理方法(IPostC+TMZ 组,n=6)。将这些实验组的结果与仅分离大鼠肾蒂的假手术组进行比较。测定钠吸收率、肌酐清除率、血浆乳酸脱氢酶(LDH)活性和组织中丙二醛(MDA)的浓度。此外,还进行了 Western blot 分析,以确定细胞色素 c、c-JunNH2-末端激酶(JNK)、电压依赖性阴离子通道(VDAC)、糖原合酶激酶 3-β(GSK3-β)和 ER 应激参数的含量。

结果

与 I/R 组相比,IPostC 或/和 TMZ 显著降低了细胞溶解、氧化应激并改善了肾功能。与 I/R 组相比,IPostC 显著减轻了 ER 应激参数。事实上,它下调了葡萄糖调节蛋白 78(GRP78)、激活转录因子 4(ATF4)、RNA 激活蛋白激酶(PKR)样内质网激酶(PERK)、X 盒结合蛋白 1(XBP-1)和半胱氨酸蛋白酶 12(caspase12)的蛋白水平。与 IPostC 应用相比,TMZ 处理显著增加了 GSK3-β 的磷酸化,并降低了细胞色素 c 和 VDAC 磷酸化的水平。两种处理方法的联合使用产生了协同作用。它显著提高了存活率,减轻了细胞溶解、氧化应激和改善了肾功能。

结论

本研究表明,IPostC 通过抑制 ER 应激来保护肾脏免受 I/R 损伤,而 TMZ 的有益作用是通过线粒体保护介导的。两种处理方法的联合使用改善了功能恢复。

https://cdn.ncbi.nlm.nih.gov/pmc/blobs/8b2b/3431271/87556f437446/1423-0127-19-71-1.jpg

文献检索

告别复杂PubMed语法,用中文像聊天一样搜索,搜遍4000万医学文献。AI智能推荐,让科研检索更轻松。

立即免费搜索

文件翻译

保留排版,准确专业,支持PDF/Word/PPT等文件格式,支持 12+语言互译。

免费翻译文档

深度研究

AI帮你快速写综述,25分钟生成高质量综述,智能提取关键信息,辅助科研写作。

立即免费体验