• 文献检索
  • 文档翻译
  • 深度研究
  • 学术资讯
  • Suppr Zotero 插件Zotero 插件
  • 邀请有礼
  • 套餐&价格
  • 历史记录
应用&插件
Suppr Zotero 插件Zotero 插件浏览器插件Mac 客户端Windows 客户端微信小程序
定价
高级版会员购买积分包购买API积分包
服务
文献检索文档翻译深度研究API 文档MCP 服务
关于我们
关于 Suppr公司介绍联系我们用户协议隐私条款
关注我们

Suppr 超能文献

核心技术专利:CN118964589B侵权必究
粤ICP备2023148730 号-1Suppr @ 2026

文献检索

告别复杂PubMed语法,用中文像聊天一样搜索,搜遍4000万医学文献。AI智能推荐,让科研检索更轻松。

立即免费搜索

文件翻译

保留排版,准确专业,支持PDF/Word/PPT等文件格式,支持 12+语言互译。

免费翻译文档

深度研究

AI帮你快速写综述,25分钟生成高质量综述,智能提取关键信息,辅助科研写作。

立即免费体验

糖化血红蛋白水平与主动脉动脉僵硬度:中国心血管代谢风险研究(CRC 研究)。

Hemoglobin A1c levels and aortic arterial stiffness: the Cardiometabolic Risk in Chinese (CRC) study.

机构信息

Department of Endocrinology, the Central Hospital of Xuzhou, Xuzhou Clinical School of Xuzhou Medical College, Xuzhou, Jiangsu, China.

出版信息

PLoS One. 2012;7(8):e38485. doi: 10.1371/journal.pone.0038485. Epub 2012 Aug 3.

DOI:10.1371/journal.pone.0038485
PMID:22870185
原文链接:https://pmc.ncbi.nlm.nih.gov/articles/PMC3411691/
Abstract

OBJECTIVE

The American Diabetes Association (ADA) recently published new clinical guidelines in which hemoglobin A1c (HbA1c) was recommended as a diagnostic test for diabetes. The present study was to investigate the association between HbA1c and cardiovascular risk, and compare the associations with fasting glucose and 2-hour oral glucose tolerance test (2 h OGTT).

RESEARCH DESIGN AND METHODS

The study samples are from a community-based health examination survey in central China. Carotid-to-femoral pulse wave velocity (cfPWV) and HbA1c were measured in 5,098 men and women.

RESULTS

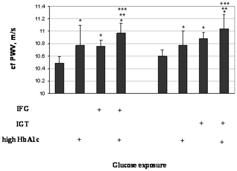
After adjustment for age, sex, and BMI, the levels of HbA1c were significantly associated with an increasing trend of cfPWV in a dose-dependent fashion (P for trend <0.0001). The associations remained significant after further adjustment for blood pressure, heart rate, and lipids (P = 0.004), and the difference in cfPWV between the highest and the lowest quintiles of HbA1c was 0.31 m/s. Fasting glucose and 2 h OGTT were not associated with cfPWV in the multivariate analyses. HbA1c showed additive effects with fasting glucose or 2 h OGTT on cfPWV. In addition, age and blood pressure significantly modified the associations between HbA1c and cfPWV (P for interactions <0.0001 for age; and  = 0.019 for blood pressure). The associations were stronger in subjects who were older (≥60 y; P for trend = 0.004) and had higher blood pressure (≥120 [systolic blood pressure]/80 mmHg [diastolic blood pressure]; P for trend = 0.028) than those who were younger and had lower blood pressure (P for trend >0.05).

CONCLUSIONS

HbA1c was related to high cfPWV, independent of conventional cardiovascular risk factors. Senior age and high blood pressure might amplify the adverse effects of HbA1c on cardiovascular risk.

摘要

目的

美国糖尿病协会(ADA)最近发布了新的临床指南,其中建议将糖化血红蛋白(HbA1c)作为糖尿病的诊断检测方法。本研究旨在探讨 HbA1c 与心血管风险之间的关系,并比较其与空腹血糖和 2 小时口服葡萄糖耐量试验(2 h OGTT)的相关性。

研究设计与方法

本研究的样本来自中国中部一个社区为基础的健康检查调查。在 5098 名男性和女性中测量了颈动脉-股动脉脉搏波速度(cfPWV)和 HbA1c。

结果

在校正年龄、性别和 BMI 后,HbA1c 水平与 cfPWV 呈剂量依赖性的递增趋势(趋势 P<0.0001)。在进一步校正血压、心率和血脂后,相关性仍然显著(P=0.004),HbA1c 最高和最低五分位之间的 cfPWV 差值为 0.31 m/s。空腹血糖和 2 h OGTT 在多元分析中与 cfPWV 无关。HbA1c 与空腹血糖或 2 h OGTT 对 cfPWV 有相加作用。此外,年龄和血压显著改变了 HbA1c 与 cfPWV 之间的相关性(年龄的交互作用 P<0.0001;血压的交互作用 P=0.019)。在年龄较大(≥60 岁;趋势 P=0.004)和血压较高(≥120 [收缩压]/80 mmHg [舒张压])的受试者中,相关性更强(趋势 P<0.05)。

结论

HbA1c 与高 cfPWV 相关,独立于传统心血管危险因素。高龄和高血压可能放大 HbA1c 对心血管风险的不良影响。

https://cdn.ncbi.nlm.nih.gov/pmc/blobs/4466/3411691/ca44a0881ca9/pone.0038485.g003.jpg
https://cdn.ncbi.nlm.nih.gov/pmc/blobs/4466/3411691/eb34ae73925f/pone.0038485.g001.jpg
https://cdn.ncbi.nlm.nih.gov/pmc/blobs/4466/3411691/b9028d136900/pone.0038485.g002.jpg
https://cdn.ncbi.nlm.nih.gov/pmc/blobs/4466/3411691/ca44a0881ca9/pone.0038485.g003.jpg
https://cdn.ncbi.nlm.nih.gov/pmc/blobs/4466/3411691/eb34ae73925f/pone.0038485.g001.jpg
https://cdn.ncbi.nlm.nih.gov/pmc/blobs/4466/3411691/b9028d136900/pone.0038485.g002.jpg
https://cdn.ncbi.nlm.nih.gov/pmc/blobs/4466/3411691/ca44a0881ca9/pone.0038485.g003.jpg

相似文献

1
Hemoglobin A1c levels and aortic arterial stiffness: the Cardiometabolic Risk in Chinese (CRC) study.糖化血红蛋白水平与主动脉动脉僵硬度:中国心血管代谢风险研究(CRC 研究)。
PLoS One. 2012;7(8):e38485. doi: 10.1371/journal.pone.0038485. Epub 2012 Aug 3.
2
Nondiabetic Glucometabolic Status and Progression of Aortic Stiffness: The Whitehall II Study.非糖尿病患者的糖代谢状态与主动脉僵硬度进展:怀特霍尔二世研究
Diabetes Care. 2017 Apr;40(4):599-606. doi: 10.2337/dc16-1773. Epub 2017 Jan 25.
3
Overall and abdominal obesity indicators had different association with central arterial stiffness and hemodynamics independent of age, sex, blood pressure, glucose, and lipids in Chinese community-dwelling adults.在中国社区居住的成年人中,无论年龄、性别、血压、血糖和血脂如何,总体和腹部肥胖指标与中心动脉僵硬和血液动力学均有不同的关联。
Clin Interv Aging. 2013;8:1579-84. doi: 10.2147/CIA.S54352. Epub 2013 Nov 27.
4
Association Between Glucose Metabolism And Vascular Aging In Chinese Adults: A Cross-Sectional Analysis In The Tianning Cohort Study.中国人葡萄糖代谢与血管老化的关系:天宁队列研究的横断面分析。
Clin Interv Aging. 2019 Nov 6;14:1937-1946. doi: 10.2147/CIA.S223690. eCollection 2019.
5
Arterial Stiffness as a Predictor of the Index of Atherosclerotic Cardiovascular Disease in Hypertensive Patients.动脉僵硬度作为高血压患者动脉粥样硬化性心血管疾病指数的预测因子。
Int J Environ Res Public Health. 2023 Feb 6;20(4):2832. doi: 10.3390/ijerph20042832.
6
[Profile and associations of carotid femoral pulse wave velocity in a community-based Beijing population of middle and old age].[北京社区中老年人群中颈动脉-股动脉脉搏波速度的特征及相关性]
Zhonghua Xin Xue Guan Bing Za Zhi. 2008 Dec;36(12):1120-4.
7
Serum glycated albumin, glycated hemoglobin, and arterial stiffness in a general Chinese population.中国普通人群中的血清糖化白蛋白、糖化血红蛋白与动脉僵硬度
Clin Chim Acta. 2017 May;468:33-38. doi: 10.1016/j.cca.2017.02.002. Epub 2017 Feb 2.
8
Low circulating vitamin D levels are associated with increased arterial stiffness in prediabetic subjects identified according to HbA1c.根据糖化血红蛋白(HbA1c)确定的糖尿病前期患者中,循环维生素D水平低与动脉僵硬度增加有关。
Atherosclerosis. 2015 Dec;243(2):395-401. doi: 10.1016/j.atherosclerosis.2015.09.038. Epub 2015 Oct 9.
9
Increased arterial stiffness in subjects with pre-diabetes among middle aged population in Beijing, China.中国北京中年人群中前驱糖尿病患者的动脉僵硬度增加。
Biomed Environ Sci. 2013 Sep;26(9):717-25. doi: 10.3967/0895-3988.2013.09.002.
10
Arterial stiffness parameters: how do they differ?动脉僵硬度参数:它们有何不同?
Atherosclerosis. 2013 Dec;231(2):359-64. doi: 10.1016/j.atherosclerosis.2013.10.006. Epub 2013 Oct 17.

引用本文的文献

1
Role of Advanced Glycation End Products in Mediating Glycated Haemoglobin and Pulse Wave Velocity in Healthy Adults.晚期糖基化终产物在健康成年人中介导糖化血红蛋白和脉搏波速度的作用。
Biomedicines. 2025 Jan 8;13(1):137. doi: 10.3390/biomedicines13010137.
2
Associations of blood biomarkers with arterial stiffness in patients with diabetes mellitus: A population-based study.糖尿病患者血液生物标志物与动脉僵硬度的关联:一项基于人群的研究。
J Diabetes. 2023 Oct;15(10):853-865. doi: 10.1111/1753-0407.13433. Epub 2023 Jun 16.
3
Arterial Stiffness and HbA1c: Association Mediated by Insulin Resistance in Hispanic Adults.

本文引用的文献

1
The general use of glycated haemoglobin for the diagnosis of diabetes and other categories of glucose intolerance: still a long way to go.糖化血红蛋白一般用于诊断糖尿病和其他类型的葡萄糖耐量异常:还有很长的路要走。
Nutr Metab Cardiovasc Dis. 2011 Jul;21(7):467-75. doi: 10.1016/j.numecd.2011.02.006. Epub 2011 Jun 8.
2
Brain and cardiovascular diseases: common neurogenic background of cardiovascular, metabolic and inflammatory diseases.脑与心血管疾病:心血管、代谢和炎症性疾病的共同神经源性发病基础。
J Physiol Pharmacol. 2010 Oct;61(5):509-21.
3
Should glycated haemoglobin (HbA1c) be used to detect people with type 2 diabetes mellitus and impaired glucose regulation?
动脉僵硬度与 HbA1c:胰岛素抵抗在西班牙裔成年人中的中介作用。
Int J Environ Res Public Health. 2022 Sep 3;19(17):11017. doi: 10.3390/ijerph191711017.
4
Glycated Hemoglobin and Risk of Arterial Stiffness in a Chinese Han Population: A Longitudinal Study.糖化血红蛋白与汉族人群动脉僵硬度风险的关系:一项纵向研究。
Front Endocrinol (Lausanne). 2022 Apr 29;13:854875. doi: 10.3389/fendo.2022.854875. eCollection 2022.
5
Cardio-Ankle Vascular Index in the Persons with Pre-Diabetes and Diabetes Mellitus in the Population Sample of the Russian Federation.俄罗斯联邦人群样本中糖尿病前期和糖尿病患者的踝臂指数
Diagnostics (Basel). 2021 Mar 8;11(3):474. doi: 10.3390/diagnostics11030474.
6
Arterial stiffness in type 2 diabetes: determinants and indication of a discriminative value.2 型糖尿病患者的动脉僵硬度:决定因素及鉴别价值的指示。
Clinics (Sao Paulo). 2021 Feb 22;76:e2172. doi: 10.6061/clinics/2021/e2172. eCollection 2021.
7
Evaluation of the associations of body height with blood pressure and early-stage atherosclerosis in Chinese adults.评价中国成年人身高与血压及早期动脉粥样硬化的相关性。
J Clin Hypertens (Greenwich). 2020 Jun;22(6):1018-1024. doi: 10.1111/jch.13870. Epub 2020 May 22.
8
Prognostic value of arterial stiffness measurements in cardiovascular disease, diabetes, and its complications: The potential role of sodium-glucose co-transporter-2 inhibitors.动脉僵硬度测量在心血管疾病、糖尿病及其并发症中的预后价值:钠-葡萄糖共转运蛋白-2 抑制剂的潜在作用。
J Clin Hypertens (Greenwich). 2020 Apr;22(4):562-571. doi: 10.1111/jch.13831. Epub 2020 Feb 14.
9
Increased Arterial Stiffness in Prediabetic Subjects Recognized by Hemoglobin A1c with Postprandial Glucose but Not Fasting Glucose Levels.糖化血红蛋白结合餐后血糖而非空腹血糖水平可识别出糖尿病前期受试者的动脉僵硬度增加。
J Clin Med. 2019 May 1;8(5):603. doi: 10.3390/jcm8050603.
10
Urbanization as a risk factor for aortic stiffness in a cohort in India.城市化是印度队列中主动脉僵硬的一个风险因素。
PLoS One. 2018 Aug 1;13(8):e0201036. doi: 10.1371/journal.pone.0201036. eCollection 2018.
糖化血红蛋白(HbA1c)是否可用于筛查 2 型糖尿病及糖调节受损人群?
Postgrad Med J. 2010 Nov;86(1021):656-62. doi: 10.1136/pgmj.2009.091215. Epub 2010 Oct 18.
4
Arterial stiffness: a brief review.动脉僵硬度:简要回顾。
Acta Pharmacol Sin. 2010 Oct;31(10):1267-76. doi: 10.1038/aps.2010.123. Epub 2010 Aug 30.
5
Glycated hemoglobin, diabetes, and cardiovascular risk in nondiabetic adults.糖化血红蛋白、糖尿病与非糖尿病成年人的心血管风险。
N Engl J Med. 2010 Mar 4;362(9):800-11. doi: 10.1056/NEJMoa0908359.
6
Arterial stiffness and cardiovascular events: the Framingham Heart Study.动脉僵硬度与心血管事件:弗雷明汉心脏研究。
Circulation. 2010 Feb 2;121(4):505-11. doi: 10.1161/CIRCULATIONAHA.109.886655. Epub 2010 Jan 18.
7
Diagnosis and classification of diabetes mellitus.糖尿病的诊断与分类
Diabetes Care. 2010 Jan;33 Suppl 1(Suppl 1):S62-9. doi: 10.2337/dc10-S062.
8
Dissociation of aortic pulse wave velocity with risk factors for cardiovascular disease other than hypertension: a systematic review.主动脉脉搏波速度与除高血压以外的心血管疾病危险因素的解离:一项系统评价。
Hypertension. 2009 Dec;54(6):1328-36. doi: 10.1161/HYPERTENSIONAHA.109.137653. Epub 2009 Nov 2.
9
Association of arterial stiffness with HbA1c in 1,000 type 2 diabetic patients with or without hypertension.1000例2型糖尿病患者(伴或不伴高血压)动脉僵硬度与糖化血红蛋白的相关性研究
Endocrine. 2009 Oct;36(2):262-7. doi: 10.1007/s12020-009-9221-z. Epub 2009 Jul 14.
10
International Expert Committee report on the role of the A1C assay in the diagnosis of diabetes.国际专家委员会关于糖化血红蛋白检测在糖尿病诊断中作用的报告。
Diabetes Care. 2009 Jul;32(7):1327-34. doi: 10.2337/dc09-9033. Epub 2009 Jun 5.