Suppr超能文献

多巴胺氧化和自噬。

Dopamine oxidation and autophagy.

机构信息

Molecular & Clinical Pharmacology, ICBM, Faculty of Medicine, University of Chile, Independencia 1027, Santiago 8380453, Chile.

出版信息

Parkinsons Dis. 2012;2012:920953. doi: 10.1155/2012/920953. Epub 2012 Aug 26.

Abstract

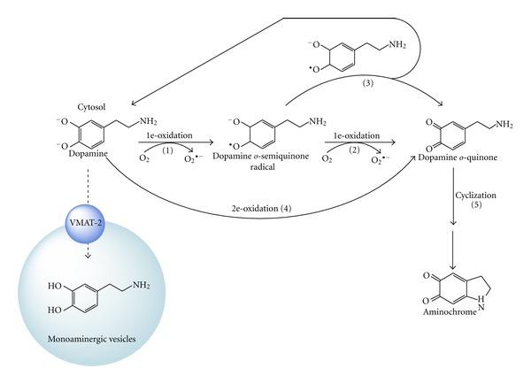
The molecular mechanisms involved in the neurodegenerative process of Parkinson's disease remain unclear. Currently, there is a general agreement that mitochondrial dysfunction, α-synuclein aggregation, oxidative stress, neuroinflammation, and impaired protein degradation are involved in the neurodegeneration of dopaminergic neurons containing neuromelanin in Parkinson's disease. Aminochrome has been proposed to play an essential role in the degeneration of dopaminergic neurons containing neuromelanin by inducing mitochondrial dysfunction, oxidative stress, the formation of neurotoxic α-synuclein protofibrils, and impaired protein degradation. Here, we discuss the relationship between the oxidation of dopamine to aminochrome, the precursor of neuromelanin, autophagy dysfunction in dopaminergic neurons containing neuromelanin, and the role of dopamine oxidation to aminochrome in autophagy dysfunction in dopaminergic neurons. Aminochrome induces the following: (i) the formation of α-synuclein protofibrils that inactivate chaperone-mediated autophagy; (ii) the formation of adducts with α- and β-tubulin, which induce the aggregation of the microtubules required for the fusion of autophagy vacuoles and lysosomes.

摘要

帕金森病神经退行性过程中涉及的分子机制仍不清楚。目前,人们普遍认为线粒体功能障碍、α-突触核蛋白聚集、氧化应激、神经炎症和蛋白降解受损与帕金森病中含神经黑色素的多巴胺能神经元的神经退行性变有关。氨基酮被认为通过诱导线粒体功能障碍、氧化应激、形成神经毒性α-突触核蛋白原纤维和蛋白降解受损,在含神经黑色素的多巴胺能神经元的变性中起重要作用。在这里,我们讨论了多巴胺氧化为氨基酮(神经黑色素的前体)与含神经黑色素的多巴胺能神经元自噬功能障碍之间的关系,以及多巴胺氧化为氨基酮在多巴胺能神经元自噬功能障碍中的作用。氨基酮诱导以下情况发生:(i)形成使伴侣介导的自噬失活的α-突触核蛋白原纤维;(ii)与α-和β-微管蛋白形成加合物,诱导融合自噬液泡和溶酶体所需的微管聚集。

https://cdn.ncbi.nlm.nih.gov/pmc/blobs/d210/3433151/969ee5275522/PD2012-920953.001.jpg

文献检索

告别复杂PubMed语法,用中文像聊天一样搜索,搜遍4000万医学文献。AI智能推荐,让科研检索更轻松。

立即免费搜索

文件翻译

保留排版,准确专业,支持PDF/Word/PPT等文件格式,支持 12+语言互译。

免费翻译文档

深度研究

AI帮你快速写综述,25分钟生成高质量综述,智能提取关键信息,辅助科研写作。

立即免费体验