• 文献检索
  • 文档翻译
  • 深度研究
  • 学术资讯
  • Suppr Zotero 插件Zotero 插件
  • 邀请有礼
  • 套餐&价格
  • 历史记录
应用&插件
Suppr Zotero 插件Zotero 插件浏览器插件Mac 客户端Windows 客户端微信小程序
定价
高级版会员购买积分包购买API积分包
服务
文献检索文档翻译深度研究API 文档MCP 服务
关于我们
关于 Suppr公司介绍联系我们用户协议隐私条款
关注我们

Suppr 超能文献

核心技术专利:CN118964589B侵权必究
粤ICP备2023148730 号-1Suppr @ 2026

文献检索

告别复杂PubMed语法,用中文像聊天一样搜索,搜遍4000万医学文献。AI智能推荐,让科研检索更轻松。

立即免费搜索

文件翻译

保留排版,准确专业,支持PDF/Word/PPT等文件格式,支持 12+语言互译。

免费翻译文档

深度研究

AI帮你快速写综述,25分钟生成高质量综述,智能提取关键信息,辅助科研写作。

立即免费体验

一种增强热休克蛋白 70-肽复合物免疫原性的新纯化方法。

A new purification method for enhancing the immunogenicity of heat shock protein 70-peptide complexes.

机构信息

Department of Oncology, Inner Mongolia People's Hospital, Hohhot 010017, Inner Mongolia, PR China.

出版信息

Oncol Rep. 2012 Dec;28(6):1977-83. doi: 10.3892/or.2012.2051. Epub 2012 Sep 21.

DOI:10.3892/or.2012.2051
PMID:23007635
原文链接:https://pmc.ncbi.nlm.nih.gov/articles/PMC3583525/
Abstract

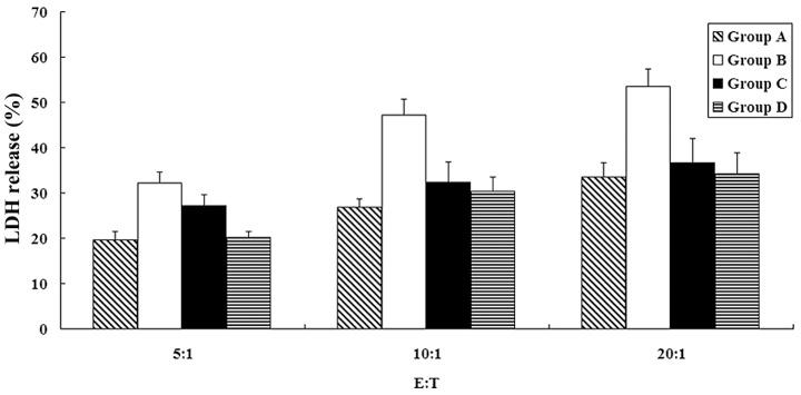
When purified from a tumor, certain heat shock protein 70 (HSP70)-peptide complexes (PCs) can function as effective vaccines against the tumor from which the complexes were isolated. The immunogenic mechanisms of HSP70 preparations imply that tumor-derived HSP70-PCs exhibit antigens associated with antigen-presenting cells such as dendritic cells (DCs), inducing antigen-specific cytotoxic CD8+ T cells. However, some important membrane-resident tumor-associated peptides, such as the HER-2/neu (c-erbB2) oncogenic protein, cannot be purified from HSP70 by traditional methods. In the present study, a new approach for the purification of HSP70-PCs from HER-2-overexpressing breast cancer cells was established. The detergent 3-[(3-cholamidopropyl)dimethylammonio]-1-propanesulfonate (CHAPS) was used to obtain more effectual tumor peptides. The new purified product was named HSP70-HER-2-PC, and its immunological activities were determined. Traditionally purified HSP70-PCs (without CHAPS) and recombinant human HSP70-HER-2 protein complexes (recombined in vitro) were used as controls. These three HSP70-associated tumor antigenic complex pulsed dendritic cells (DCs) were used to stimulate an antitumor response. The mature DCs pulsed with HSP70-HER-2-PCs stimulated autologous T cells to secrete higher levels of type I cytokine compared to the two control groups. Moreover, DCs pulsed with HSP70-HER-2-PCs induced the most specific CD8+ T cells that specifically killed the same tumor cells. These findings provide a basis for new approaches in enhancing HSP70-based immunotherapy for HER-2-associated or other membrane antigenic peptide-related cancers.

摘要

从肿瘤中纯化出的某些热休克蛋白 70(HSP70)-肽复合物(PC)可以作为针对复合物来源肿瘤的有效疫苗。HSP70 制剂的免疫原性机制表明,肿瘤衍生的 HSP70-PC 表现出与树突状细胞(DC)等抗原呈递细胞相关的抗原,诱导抗原特异性细胞毒性 CD8+T 细胞。然而,一些重要的膜驻留肿瘤相关肽,如 HER-2/neu(c-erbB2)致癌蛋白,不能通过传统方法从 HSP70 中纯化出来。在本研究中,建立了一种从 HER-2 过表达乳腺癌细胞中纯化 HSP70-PC 的新方法。去污剂 3-[(3-胆酰胺丙基)二甲氨基]-1-丙磺酸(CHAPS)用于获得更有效的肿瘤肽。新纯化的产物命名为 HSP70-HER-2-PC,并测定其免疫学活性。传统上纯化的 HSP70-PC(不含 CHAPS)和重组人 HSP70-HER-2 蛋白复合物(体外重组)用作对照。将这三种 HSP70 相关肿瘤抗原复合物脉冲处理树突状细胞(DC)以刺激抗肿瘤反应。用 HSP70-HER-2-PC 脉冲处理的成熟 DC 刺激自身 T 细胞分泌更高水平的 I 型细胞因子,与两个对照组相比。此外,用 HSP70-HER-2-PC 脉冲处理的 DC 诱导了最特异的 CD8+T 细胞,这些细胞特异性杀伤相同的肿瘤细胞。这些发现为增强基于 HSP70 的免疫疗法治疗 HER-2 相关或其他膜抗原肽相关癌症提供了依据。

https://cdn.ncbi.nlm.nih.gov/pmc/blobs/3236/3583525/0e605e3459f2/OR-28-06-1977-g08.jpg
https://cdn.ncbi.nlm.nih.gov/pmc/blobs/3236/3583525/5ce5d1fffa25/OR-28-06-1977-g00.jpg
https://cdn.ncbi.nlm.nih.gov/pmc/blobs/3236/3583525/bd23c44d6666/OR-28-06-1977-g01.jpg
https://cdn.ncbi.nlm.nih.gov/pmc/blobs/3236/3583525/9d1f12b1a151/OR-28-06-1977-g02.jpg
https://cdn.ncbi.nlm.nih.gov/pmc/blobs/3236/3583525/7039e2431399/OR-28-06-1977-g03.jpg
https://cdn.ncbi.nlm.nih.gov/pmc/blobs/3236/3583525/720fc98fd139/OR-28-06-1977-g04.jpg
https://cdn.ncbi.nlm.nih.gov/pmc/blobs/3236/3583525/c69393cd237b/OR-28-06-1977-g05.jpg
https://cdn.ncbi.nlm.nih.gov/pmc/blobs/3236/3583525/7361dee15803/OR-28-06-1977-g06.jpg
https://cdn.ncbi.nlm.nih.gov/pmc/blobs/3236/3583525/589c7a07da35/OR-28-06-1977-g07.jpg
https://cdn.ncbi.nlm.nih.gov/pmc/blobs/3236/3583525/0e605e3459f2/OR-28-06-1977-g08.jpg
https://cdn.ncbi.nlm.nih.gov/pmc/blobs/3236/3583525/5ce5d1fffa25/OR-28-06-1977-g00.jpg
https://cdn.ncbi.nlm.nih.gov/pmc/blobs/3236/3583525/bd23c44d6666/OR-28-06-1977-g01.jpg
https://cdn.ncbi.nlm.nih.gov/pmc/blobs/3236/3583525/9d1f12b1a151/OR-28-06-1977-g02.jpg
https://cdn.ncbi.nlm.nih.gov/pmc/blobs/3236/3583525/7039e2431399/OR-28-06-1977-g03.jpg
https://cdn.ncbi.nlm.nih.gov/pmc/blobs/3236/3583525/720fc98fd139/OR-28-06-1977-g04.jpg
https://cdn.ncbi.nlm.nih.gov/pmc/blobs/3236/3583525/c69393cd237b/OR-28-06-1977-g05.jpg
https://cdn.ncbi.nlm.nih.gov/pmc/blobs/3236/3583525/7361dee15803/OR-28-06-1977-g06.jpg
https://cdn.ncbi.nlm.nih.gov/pmc/blobs/3236/3583525/589c7a07da35/OR-28-06-1977-g07.jpg
https://cdn.ncbi.nlm.nih.gov/pmc/blobs/3236/3583525/0e605e3459f2/OR-28-06-1977-g08.jpg

相似文献

1
A new purification method for enhancing the immunogenicity of heat shock protein 70-peptide complexes.一种增强热休克蛋白 70-肽复合物免疫原性的新纯化方法。
Oncol Rep. 2012 Dec;28(6):1977-83. doi: 10.3892/or.2012.2051. Epub 2012 Sep 21.
2
Enhancing the treatment effect on melanoma by heat shock protein 70-peptide complexes purified from human melanoma cell lines.通过从人黑色素瘤细胞系中纯化的热休克蛋白70-肽复合物增强对黑色素瘤的治疗效果。
Oncol Rep. 2016 Sep;36(3):1243-50. doi: 10.3892/or.2016.4947. Epub 2016 Jul 19.
3
Melanoma-reactive class I-restricted cytotoxic T cell clones are stimulated by dendritic cells loaded with synthetic peptides, but fail to respond to dendritic cells pulsed with melanoma-derived heat shock proteins in vitro.黑色素瘤反应性I类限制性细胞毒性T细胞克隆受到负载合成肽的树突状细胞刺激,但在体外对用黑色素瘤来源的热休克蛋白脉冲处理的树突状细胞无反应。
J Immunol. 2004 Jan 1;172(1):162-9. doi: 10.4049/jimmunol.172.1.162.
4
Tumor-derived heat shock protein 70 peptide complexes are cross-presented by human dendritic cells.肿瘤来源的热休克蛋白70肽复合物由人树突状细胞交叉呈递。
J Immunol. 2002 Nov 15;169(10):5424-32. doi: 10.4049/jimmunol.169.10.5424.
5
Dendritic-tumor fusion cells derived heat shock protein70-peptide complex has enhanced immunogenicity.树突状细胞-肿瘤融合细胞衍生的热休克蛋白70-肽复合物具有增强的免疫原性。
PLoS One. 2015 May 11;10(5):e0126075. doi: 10.1371/journal.pone.0126075. eCollection 2015.
6
Efficient CTL productivity of modified fusion cells by increase of heat shock protein 70.通过增加热休克蛋白70提高修饰融合细胞的高效细胞毒性T淋巴细胞生产力。
Oncol Rep. 2009 Mar;21(3):737-46.
7
Dendritic cells pulsed with hsp70-peptide complexes derived from human hepatocellular carcinoma induce specific anti-tumor immune responses.用人肝细胞癌来源的热休克蛋白70-肽复合物脉冲处理的树突状细胞可诱导特异性抗肿瘤免疫反应。
World J Gastroenterol. 2005 Sep 28;11(36):5614-20. doi: 10.3748/wjg.v11.i36.5614.
8
A heat shock protein 70-based vaccine with enhanced immunogenicity for clinical use.一种基于热休克蛋白 70 的疫苗,具有增强的免疫原性,可用于临床。
J Immunol. 2010 Jan 1;184(1):488-96. doi: 10.4049/jimmunol.0902255. Epub 2009 Nov 30.
9
Development of a recombinant HSP110-HER-2/neu vaccine using the chaperoning properties of HSP110.利用热休克蛋白110(HSP110)的伴侣蛋白特性开发重组HSP110-人表皮生长因子受体2(HER-2/neu)疫苗。
Cancer Res. 2002 Mar 15;62(6):1737-42.
10
Enhanced antitumor immunity of nanoliposome-encapsulated heat shock protein 70 peptide complex derived from dendritic tumor fusion cells.源自树突状肿瘤融合细胞的纳米脂质体包裹热休克蛋白70肽复合物增强抗肿瘤免疫
Oncol Rep. 2015 Jun;33(6):2695-702. doi: 10.3892/or.2015.3934. Epub 2015 Apr 27.

引用本文的文献

1
HSP70s in Breast Cancer: Promoters of Tumorigenesis and Potential Targets/Tools for Therapy.热休克蛋白 70 家族在乳腺癌中的作用:促进肿瘤发生及作为治疗靶点/工具的潜力。
Cells. 2021 Dec 7;10(12):3446. doi: 10.3390/cells10123446.
2
Current Approaches in Development of Immunotherapeutic Vaccines for Breast Cancer.乳腺癌免疫治疗疫苗研发的当前方法
J Breast Cancer. 2018 Dec;21(4):343-353. doi: 10.4048/jbc.2018.21.e47. Epub 2018 Oct 29.
3
Extracellular HSP70-peptide complexes promote the proliferation of hepatocellular carcinoma cells via TLR2/4/JNK1/2MAPK pathway.

本文引用的文献

1
Autologous Hsp70 immunization induces anti-tumor immunity and increases longevity and survival of tumor-bearing mice.自体热休克蛋白70免疫诱导抗肿瘤免疫并延长荷瘤小鼠的寿命及生存期。
Neoplasma. 2009;56(3):259-68. doi: 10.4149/neo_2009_03_259.
2
Heat shock proteins in cancer.癌症中的热休克蛋白
Ann N Y Acad Sci. 2007 Oct;1113:192-201. doi: 10.1196/annals.1391.030.
3
Human heat shock protein 70 enhances tumor antigen presentation through complex formation and intracellular antigen delivery without innate immune signaling.
细胞外热休克蛋白70-肽复合物通过TLR2/4/JNK1/2丝裂原活化蛋白激酶途径促进肝癌细胞增殖。
Tumour Biol. 2016 Oct;37(10):13951-13959. doi: 10.1007/s13277-016-5189-5. Epub 2016 Aug 4.
4
Enhancing the treatment effect on melanoma by heat shock protein 70-peptide complexes purified from human melanoma cell lines.通过从人黑色素瘤细胞系中纯化的热休克蛋白70-肽复合物增强对黑色素瘤的治疗效果。
Oncol Rep. 2016 Sep;36(3):1243-50. doi: 10.3892/or.2016.4947. Epub 2016 Jul 19.
5
Dendritic-tumor fusion cells derived heat shock protein70-peptide complex has enhanced immunogenicity.树突状细胞-肿瘤融合细胞衍生的热休克蛋白70-肽复合物具有增强的免疫原性。
PLoS One. 2015 May 11;10(5):e0126075. doi: 10.1371/journal.pone.0126075. eCollection 2015.
6
Tumor immunotherapy based on tumor-derived heat shock proteins (Review).基于肿瘤来源热休克蛋白的肿瘤免疫疗法(综述)
Oncol Lett. 2013 Dec;6(6):1543-1549. doi: 10.3892/ol.2013.1616. Epub 2013 Oct 10.
人类热休克蛋白70通过形成复合物和细胞内抗原递呈增强肿瘤抗原呈递,而无需固有免疫信号传导。
J Biol Chem. 2007 Oct 26;282(43):31688-702. doi: 10.1074/jbc.M704129200. Epub 2007 Aug 7.
4
Immunotherapy for human cancer using heat shock protein-peptide complexes.使用热休克蛋白-肽复合物对人类癌症进行免疫治疗。
Curr Oncol Rep. 2005 Mar;7(2):104-8. doi: 10.1007/s11912-005-0035-8.
5
Potent antitumor effect elicited by superantigen-linked tumor cells transduced with heat shock protein 70 gene.热休克蛋白70基因转导的超抗原连接肿瘤细胞引发的强大抗肿瘤作用。
Cancer Sci. 2004 Feb;95(2):160-7. doi: 10.1111/j.1349-7006.2004.tb03198.x.
6
Purification of heat shock protein 70-associated tumor peptides and their antitumor immunity to hepatoma in mice.热休克蛋白70相关肿瘤肽的纯化及其对小鼠肝癌的抗肿瘤免疫作用。
World J Gastroenterol. 2004 Feb 1;10(3):361-5. doi: 10.3748/wjg.v10.i3.361.
7
Tumor-derived heat shock protein 70 peptide complexes are cross-presented by human dendritic cells.肿瘤来源的热休克蛋白70肽复合物由人树突状细胞交叉呈递。
J Immunol. 2002 Nov 15;169(10):5424-32. doi: 10.4049/jimmunol.169.10.5424.
8
Immunization with heat shock protein 70 from methylcholanthrene-induced sarcomas induces tumor protection correlating with in vitro T cell responses.用甲基胆蒽诱导的肉瘤中的热休克蛋白70进行免疫接种可诱导肿瘤保护,且这种保护与体外T细胞反应相关。
Cancer Immunol Immunother. 2002 May;51(3):163-70. doi: 10.1007/s00262-002-0263-9. Epub 2002 Mar 19.
9
Development of a recombinant HSP110-HER-2/neu vaccine using the chaperoning properties of HSP110.利用热休克蛋白110(HSP110)的伴侣蛋白特性开发重组HSP110-人表皮生长因子受体2(HER-2/neu)疫苗。
Cancer Res. 2002 Mar 15;62(6):1737-42.
10
Tumor prevention and antitumor immunity with heat shock protein 70 induced by 15-deoxy-delta12,14-prostaglandin J2 in transgenic adenocarcinoma of mouse prostate cells.15-脱氧-Δ12,14-前列腺素J2诱导热休克蛋白70在小鼠前列腺转基因腺癌细胞中的肿瘤预防及抗肿瘤免疫作用
Cancer Res. 2000 Sep 1;60(17):4714-8.