Suppr超能文献

对墨西哥医学生进行循证医学教学的随机对照试验。

Teaching of evidence-based medicine to medical students in Mexico: a randomized controlled trial.

机构信息

Department of Medical Education, UNAM Faculty of Medicine, Mexico City, Mexico.

出版信息

BMC Med Educ. 2012 Nov 6;12:107. doi: 10.1186/1472-6920-12-107.

Abstract

BACKGROUND

Evidence-Based Medicine (EBM) is an important competency for the healthcare professional. Experimental evidence of EBM educational interventions from rigorous research studies is limited. The main objective of this study was to assess EBM learning (knowledge, attitudes and self-reported skills) in undergraduate medical students with a randomized controlled trial.

METHODS

The educational intervention was a one-semester EBM course in the 5th year of a public medical school in Mexico. The study design was an experimental parallel group randomized controlled trial for the main outcome measures in the 5th year class (M5 EBM vs. M5 non-EBM groups), and quasi-experimental with static-groups comparisons for the 4th year (M4, not yet exposed) and 6th year (M6, exposed 6 months to a year earlier) groups. EBM attitudes, knowledge and self-reported skills were measured using Taylor's questionnaire and a summative exam which comprised of a 100-item multiple-choice question (MCQ) test.

RESULTS

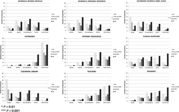
289 Medical students were assessed: M5 EBM=48, M5 non-EBM=47, M4=87, and M6=107. There was a higher reported use of the Cochrane Library and secondary journals in the intervention group (M5 vs. M5 non-EBM). Critical appraisal skills and attitude scores were higher in the intervention group (M5) and in the group of students exposed to EBM instruction during the previous year (M6). The knowledge level was higher after the intervention in the M5 EBM group compared to the M5 non-EBM group (p<0.001, Cohen's d=0.88 with Taylor's instrument and 3.54 with the 100-item MCQ test). M6 Students that received the intervention in the previous year had a knowledge score higher than the M4 and M5 non-EBM groups, but lower than the M5 EBM group.

CONCLUSIONS

Formal medical student training in EBM produced higher scores in attitudes, knowledge and self-reported critical appraisal skills compared with a randomized control group. Data from the concurrent groups add validity evidence to the study, but rigorous follow-up needs to be done to document retention of EBM abilities.

摘要

背景

循证医学(EBM)是医疗保健专业人员的重要能力。严格研究研究的循证医学教育干预的实验证据有限。本研究的主要目的是评估本科医学学生的循证医学学习(知识,态度和自我报告的技能),这是一项随机对照试验。

方法

教育干预是在墨西哥一所公立医学院的第 5 年开设的一门学期循证医学课程。研究设计是第 5 年班级(M5 EBM 与 M5 非 EBM 组)的实验平行对照随机对照试验,以及第 4 年(M4,尚未暴露)和第 6 年(M6,暴露于 6 个月至 1 年前)的准实验性静态组比较组。使用 Taylor 的问卷和包含 100 项多项选择题(MCQ)测试的总结考试来测量循证医学态度,知识和自我报告的技能。

结果

评估了 289 名医学生:M5 EBM=48,M5 非 EBM=47,M4=87,M6=107。干预组中报告使用 Cochrane 图书馆和二级期刊的比例更高(M5 与 M5 非 EBM)。干预组(M5)和前一年接受循证医学教学的学生(M6)的批判性评价技能和态度评分较高。与 M5 非 EBM 组相比,M5 EBM 组干预后知识水平更高(p<0.001,Taylor 工具的 Cohen's d=0.88 和 100 项 MCQ 测试的 3.54)。前一年接受干预的 M6 学生的知识得分高于 M4 和 M5 非 EBM 组,但低于 M5 EBM 组。

结论

与随机对照组相比,医学生循证医学的正规培训在态度,知识和自我报告的批判性评价技能方面产生了更高的分数。同期组的数据为研究提供了有效性证据,但需要进行严格的随访以记录保留循证医学能力。

https://cdn.ncbi.nlm.nih.gov/pmc/blobs/d77f/3511203/8254a62b3c1a/1472-6920-12-107-1.jpg

文献AI研究员

20分钟写一篇综述,助力文献阅读效率提升50倍。

立即体验

用中文搜PubMed

大模型驱动的PubMed中文搜索引擎

马上搜索

文档翻译

学术文献翻译模型,支持多种主流文档格式。

立即体验