Suppr超能文献

个性化 BEST:非缺血性心力衰竭潜在临床亚组的特征可预测预后和对布新洛尔的反应。

A personalized BEST: characterization of latent clinical classes of nonischemic heart failure that predict outcomes and response to bucindolol.

机构信息

Division of Cardiology, University of Colorado School of Medicine, Aurora, CO, USA.

出版信息

PLoS One. 2012;7(11):e48184. doi: 10.1371/journal.pone.0048184. Epub 2012 Nov 7.

Abstract

BACKGROUND

Heart failure patients with reduced ejection fraction (HFREF) are heterogenous, and our ability to identify patients likely to respond to therapy is limited. We present a method of identifying disease subtypes using high-dimensional clinical phenotyping and latent class analysis that may be useful in personalizing prognosis and treatment in HFREF.

METHODS

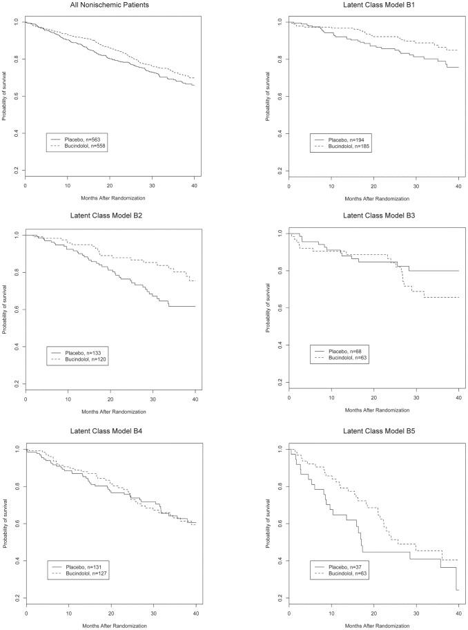
A total of 1121 patients with nonischemic HFREF from the β-blocker Evaluation of Survival Trial were categorized according to 27 clinical features. Latent class analysis was used to generate two latent class models, LCM A and B, to identify HFREF subtypes. LCM A consisted of features associated with HF pathogenesis, whereas LCM B consisted of markers of HF progression and severity. The Seattle Heart Failure Model (SHFM) Score was also calculated for all patients. Mortality, improvement in left ventricular ejection fraction (LVEF) defined as an increase in LVEF ≥5% and a final LVEF of 35% after 12 months, and effect of bucindolol on both outcomes were compared across HFREF subtypes. Performance of models that included a combination of LCM subtypes and SHFM scores towards predicting mortality and LVEF response was estimated and subsequently validated using leave-one-out cross-validation and data from the Multicenter Oral Carvedilol Heart Failure Assessment Trial.

RESULTS

A total of 6 subtypes were identified using LCM A and 5 subtypes using LCM B. Several subtypes resembled familiar clinical phenotypes. Prognosis, improvement in LVEF, and the effect of bucindolol treatment differed significantly between subtypes. Prediction improved with addition of both latent class models to SHFM for both 1-year mortality and LVEF response outcomes.

CONCLUSIONS

The combination of high-dimensional phenotyping and latent class analysis identifies subtypes of HFREF with implications for prognosis and response to specific therapies that may provide insight into mechanisms of disease. These subtypes may facilitate development of personalized treatment plans.

摘要

背景

射血分数降低的心力衰竭(HFREF)患者存在异质性,我们识别可能对治疗有反应的患者的能力有限。我们提出了一种使用高维临床表型和潜在类别分析来识别疾病亚型的方法,这可能有助于在 HFREF 中实现预后和治疗的个体化。

方法

共有 1121 名非缺血性 HFREF 患者来自β-受体阻滞剂生存试验,根据 27 个临床特征进行分类。潜在类别分析用于生成两个潜在类别模型,LCM A 和 B,以识别 HFREF 亚型。LCM A 由与 HF 发病机制相关的特征组成,而 LCM B 由 HF 进展和严重程度的标志物组成。还为所有患者计算了西雅图心力衰竭模型(SHFM)评分。比较了心力衰竭亚型之间的死亡率、左心室射血分数(LVEF)改善(定义为 LVEF 增加≥5%,12 个月后 LVEF 最终为 35%)以及 Bucindolol 对这两个结局的影响。通过使用留一交叉验证和多中心口服卡维地洛心力衰竭评估试验的数据,估计并随后验证了包含 LCM 亚型和 SHFM 评分组合的模型对死亡率和 LVEF 反应的预测性能。

结果

使用 LCM A 总共识别出 6 个亚型,使用 LCM B 总共识别出 5 个亚型。几个亚型类似于熟悉的临床表型。不同亚型之间的预后、LVEF 改善以及 Bucindolol 治疗效果存在显著差异。通过将两种潜在类别模型添加到 SHFM 中,可以改善对 1 年死亡率和 LVEF 反应结果的预测。

结论

高维表型和潜在类别分析的组合可以识别出 HFREF 的亚型,这些亚型对预后和特定治疗方法的反应有影响,可能有助于深入了解疾病的机制。这些亚型可能有助于制定个性化的治疗计划。

https://cdn.ncbi.nlm.nih.gov/pmc/blobs/d7f1/3492337/1d24bb39e95f/pone.0048184.g001.jpg

文献AI研究员

20分钟写一篇综述,助力文献阅读效率提升50倍。

立即体验

用中文搜PubMed

大模型驱动的PubMed中文搜索引擎

马上搜索

文档翻译

学术文献翻译模型,支持多种主流文档格式。

立即体验