Suppr超能文献

流感嗜血杆菌 OxyR:调控、调控组和适应能力中作用的特征。

Haemophilus influenzae OxyR: characterization of its regulation, regulon and role in fitness.

机构信息

Department of Pediatrics, University of Oklahoma Health Sciences Center, Oklahoma City, Oklahoma, United States of America.

出版信息

PLoS One. 2012;7(11):e50588. doi: 10.1371/journal.pone.0050588. Epub 2012 Nov 30.

Abstract

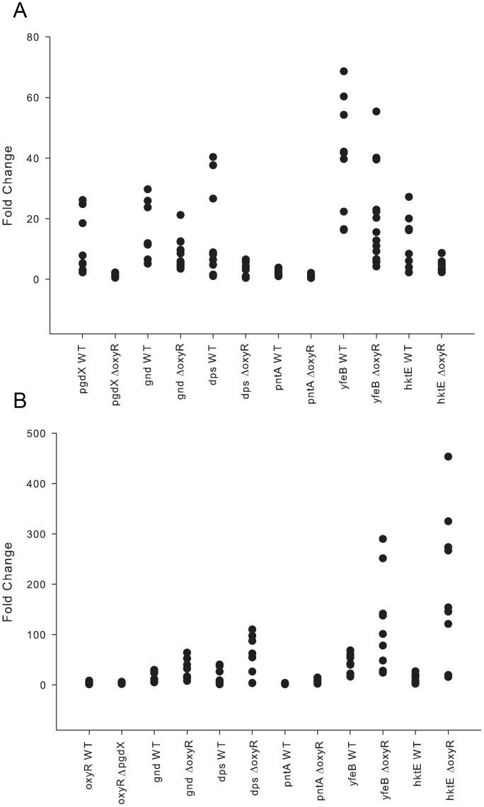
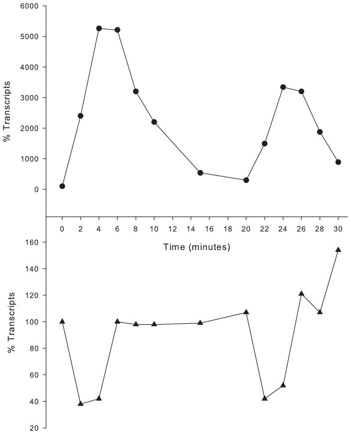
To prevent damage by reactive oxygen species, many bacteria have evolved rapid detection and response systems, including the OxyR regulon. The OxyR system detects reactive oxygen and coordinates the expression of numerous defensive antioxidants. In many bacterial species the coordinated OxyR-regulated response is crucial for in vivo survival. Regulation of the OxyR regulon of Haemophilus influenzae was examined in vitro, and significant variation in the regulated genes of the OxyR regulon among strains of H. influenzae was observed. Quantitative PCR studies demonstrated a role for the OxyR-regulated peroxiredoxin/glutaredoxin as a mediator of the OxyR response, and also indicated OxyR self-regulation through a negative feedback loop. Analysis of transcript levels in H. influenzae samples derived from an animal model of otitis media demonstrated that the members of the OxyR regulon were actively upregulated within the chinchilla middle ear. H. influenzae mutants lacking the oxyR gene exhibited increased sensitivity to challenge with various peroxides. The impact of mutations in oxyR was assessed in various animal models of H. influenzae disease. In paired comparisons with the corresponding wild-type strains, the oxyR mutants were unaffected in both the chinchilla model of otitis media and an infant model of bacteremia. However, in weanling rats the oxyR mutant was significantly impaired compared to the wild-type strain. In contrast, in all three animal models when infected with a mixture of equal numbers of both wild-type and mutant strains the mutant strain was significantly out competed by the wild-type strain. These findings clearly establish a crucial role for OxyR in bacterial fitness.

摘要

为了防止活性氧物质的损害,许多细菌已经进化出了快速的检测和响应系统,包括 OxyR 调控子。OxyR 系统检测活性氧并协调大量防御性抗氧化剂的表达。在许多细菌物种中,协调的 OxyR 调控反应对于体内生存至关重要。在体外研究了流感嗜血杆菌的 OxyR 调控子的调节,观察到流感嗜血杆菌菌株之间 OxyR 调控子的调节基因存在显著差异。定量 PCR 研究表明,OxyR 调节的过氧化物酶/谷氧还蛋白作为 OxyR 反应的介质发挥作用,并且还表明 OxyR 通过负反馈环自我调节。在中耳炎动物模型中源自流感嗜血杆菌的样本的转录水平分析表明,OxyR 调控子的成员在南美栗鼠中耳中被积极上调。缺乏 oxyR 基因的流感嗜血杆菌突变体对各种过氧化物的挑战表现出更高的敏感性。在各种流感嗜血杆菌疾病的动物模型中评估了 oxyR 突变的影响。与相应的野生型菌株进行配对比较时,oxyR 突变体在南美栗鼠中耳炎模型和婴儿菌血症模型中均未受影响。然而,在断奶大鼠中,oxyR 突变体与野生型菌株相比明显受损。相比之下,在所有三种动物模型中,当感染等量的野生型和突变型菌株的混合物时,突变型菌株与野生型菌株相比明显处于竞争劣势。这些发现清楚地确立了 OxyR 在细菌适应性中的关键作用。

https://cdn.ncbi.nlm.nih.gov/pmc/blobs/c55b/3511568/cea68de4beb9/pone.0050588.g001.jpg

文献AI研究员

20分钟写一篇综述,助力文献阅读效率提升50倍。

立即体验

用中文搜PubMed

大模型驱动的PubMed中文搜索引擎

马上搜索

文档翻译

学术文献翻译模型,支持多种主流文档格式。

立即体验