Suppr超能文献

量化农田氮肥施用导致 N2O 排放的不确定性。

Quantifying uncertainties in N(2)O emission due to N fertilizer application in cultivated areas.

机构信息

INRA, UMR 211 Agronomie, Thiverval Grignon, France.

出版信息

PLoS One. 2012;7(11):e50950. doi: 10.1371/journal.pone.0050950. Epub 2012 Nov 30.

Abstract

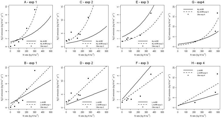
Nitrous oxide (N(2)O) is a greenhouse gas with a global warming potential approximately 298 times greater than that of CO(2). In 2006, the Intergovernmental Panel on Climate Change (IPCC) estimated N(2)O emission due to synthetic and organic nitrogen (N) fertilization at 1% of applied N. We investigated the uncertainty on this estimated value, by fitting 13 different models to a published dataset including 985 N(2)O measurements. These models were characterized by (i) the presence or absence of the explanatory variable "applied N", (ii) the function relating N(2)O emission to applied N (exponential or linear function), (iii) fixed or random background (i.e. in the absence of N application) N(2)O emission and (iv) fixed or random applied N effect. We calculated ranges of uncertainty on N(2)O emissions from a subset of these models, and compared them with the uncertainty ranges currently used in the IPCC-Tier 1 method. The exponential models outperformed the linear models, and models including one or two random effects outperformed those including fixed effects only. The use of an exponential function rather than a linear function has an important practical consequence: the emission factor is not constant and increases as a function of applied N. Emission factors estimated using the exponential function were lower than 1% when the amount of N applied was below 160 kg N ha(-1). Our uncertainty analysis shows that the uncertainty range currently used by the IPCC-Tier 1 method could be reduced.

摘要

一氧化二氮(N2O)是一种温室气体,其全球变暖潜能约是二氧化碳的 298 倍。2006 年,政府间气候变化专门委员会(IPCC)估计,由于合成和有机氮(N)施肥,N2O 的排放量占施用量的 1%。我们通过将 13 种不同的模型拟合到一个包含 985 个 N2O 测量值的已发表数据集,来研究该估计值的不确定性。这些模型的特点是:(i)是否存在解释变量“施用量 N”;(ii)将 N2O 排放与施用量 N 相关联的函数(指数函数或线性函数);(iii)固定或随机背景(即没有 N 应用)下的 N2O 排放;以及(iv)固定或随机施用量 N 的效应。我们从这些模型中的一部分计算了 N2O 排放的不确定性范围,并将其与 IPCC-Tier 1 方法中当前使用的不确定性范围进行了比较。指数模型优于线性模型,而包含一个或两个随机效应的模型优于仅包含固定效应的模型。使用指数函数而不是线性函数具有重要的实际意义:排放系数不是常数,而是随着施用量 N 的增加而增加。当施用量 N 低于 160kg N ha-1 时,使用指数函数估计的排放因子低于 1%。我们的不确定性分析表明,IPCC-Tier 1 方法当前使用的不确定性范围可以缩小。

https://cdn.ncbi.nlm.nih.gov/pmc/blobs/831b/3511396/7481913ab0e4/pone.0050950.g001.jpg

文献AI研究员

20分钟写一篇综述,助力文献阅读效率提升50倍。

立即体验

用中文搜PubMed

大模型驱动的PubMed中文搜索引擎

马上搜索

文档翻译

学术文献翻译模型,支持多种主流文档格式。

立即体验