Department of Computer Science, University of Auckland, Auckland, New Zealand.
Mol Biol Evol. 2013 Mar;30(3):669-88. doi: 10.1093/molbev/mss258. Epub 2012 Dec 11.
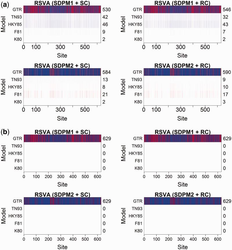
Probabilistic inference of a phylogenetic tree from molecular sequence data is predicated on a substitution model describing the relative rates of change between character states along the tree for each site in the multiple sequence alignment. Commonly, one assumes that the substitution model is homogeneous across sites within large partitions of the alignment, assigns these partitions a priori, and then fixes their underlying substitution model to the best-fitting model from a hierarchy of named models. Here, we introduce an automatic model selection and model averaging approach within a Bayesian framework that simultaneously estimates the number of partitions, the assignment of sites to partitions, the substitution model for each partition, and the uncertainty in these selections. This new approach is implemented as an add-on to the BEAST 2 software platform. We find that this approach dramatically improves the fit of the nucleotide substitution model compared with existing approaches, and we show, using a number of example data sets, that as many as nine partitions are required to explain the heterogeneity in nucleotide substitution process across sites in a single gene analysis. In some instances, this improved modeling of the substitution process can have a measurable effect on downstream inference, including the estimated phylogeny, relative divergence times, and effective population size histories.
从分子序列数据中推断系统发育树的概率取决于替代模型,该模型描述了在多重序列比对中每个位置的树状特征状态之间的变化相对速率。通常,人们假设替代模型在比对的大分区内是均匀的,先验地分配这些分区,然后将它们的基础替代模型固定为从命名模型层次结构中最佳拟合的模型。在这里,我们在贝叶斯框架内引入了一种自动模型选择和模型平均方法,该方法同时估计分区的数量、站点到分区的分配、每个分区的替代模型以及这些选择的不确定性。这种新方法是作为 BEAST 2 软件平台的附加组件实现的。我们发现,与现有方法相比,这种方法大大提高了核苷酸替代模型的拟合度,并且我们使用一些示例数据集表明,在单个基因分析中,多达九个分区是解释核苷酸替代过程中各位置异质性所必需的。在某些情况下,这种对替代过程的改进建模可以对下游推断产生可衡量的影响,包括估计的系统发育、相对分歧时间和有效种群大小历史。