Suppr超能文献

社会剥夺与有和没有水氟化物的人群中龋齿和氟斑牙的流行和严重程度之间的关联。

The association between social deprivation and the prevalence and severity of dental caries and fluorosis in populations with and without water fluoridation.

机构信息

School of Dentistry, University of Manchester, Manchester, M13 9PL, UK.

出版信息

BMC Public Health. 2012 Dec 28;12:1122. doi: 10.1186/1471-2458-12-1122.

Abstract

BACKGROUND

To determine the association between social deprivation and the prevalence of caries (including caries lesions restricted to enamel) and enamel fluorosis in areas that are served by either fluoridated or non-fluoridated drinking water using clinical scoring, remote blinded, photographic scoring for caries and fluorosis. The study also aimed to explore the use of remote, blinded methodologies to minimize the effect of examiner bias.

METHODS

Subjects were male and female lifetime residents aged 11-13 years. Clinical assessments of caries and fluorosis were performed on permanent teeth using ICDAS and blind scoring of standardized photographs of maxillary central incisors using TF Index (with cases for fluorosis defined as TF > 0).

RESULTS

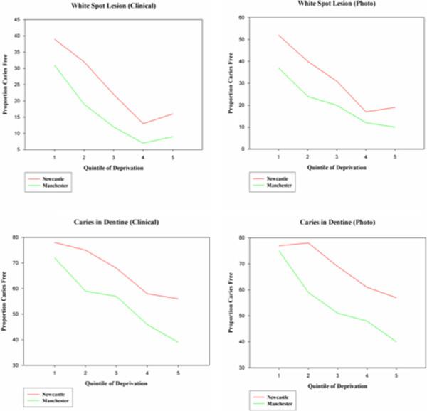
Data from 1783 subjects were available (910 Newcastle, 873 Manchester). Levels of material deprivation (Index of Multiple Deprivation) were comparable for both populations (Newcastle mean 35.22, range 2.77-78.85; Manchester mean 37.04, range 1.84-84.02). Subjects in the fluoridated population had significantly less caries experience than the non-fluoridated population when assessed by clinical scores or photographic scores across all quintiles of deprivation for white spot lesions: Newcastle mean DMFT 2.94 (clinical); 2.51 (photo), Manchester mean DMFT 4.48 (clinical); 3.44 (photo) and caries into dentine (Newcastle Mean DMFT 0.65 (clinical); 0.58 (photo), Manchester mean DMFT 1.07 (clinical); 0.98 (photo). The only exception being for the least deprived quintile for caries into dentine where there were no significant differences between the cities: Newcastle mean DMFT 0.38 (clinical); 0.36 (photo), Manchester mean DMFT 0.45 (clinical); 0.39 (photo). The odds ratio for white spot caries experience (or worse) in Manchester was 1.9 relative to Newcastle. The odds ratio for caries into dentine in Manchester was 1.8 relative to Newcastle. The odds ratio for developing fluorosis in Newcastle was 3.3 relative to Manchester.

CONCLUSIONS

Water fluoridation appears to reduce the social class gradient between deprivation and caries experience when considering caries into dentine. However, this was associated with an increased risk of developing mild fluorosis. The use of intra-oral cameras and remote scoring of photographs for caries demonstrated good potential for blinded scoring.

摘要

背景

使用临床评分、远程盲法、龋齿和氟斑牙摄影评分,确定饮用水加氟和未加氟地区社会剥夺与龋齿(包括仅限于釉质的龋齿病变)和釉质氟斑牙流行率之间的关联。本研究还旨在探讨使用远程、盲法方法来最小化检查者偏倚的影响。

方法

研究对象为年龄在 11-13 岁的男性和女性终身居民。使用 ICDAS 对恒牙进行龋齿临床评估,使用 TF 指数(氟斑牙病例定义为 TF>0)对上颌中切牙的标准照片进行盲法评分。

结果

共获得 1783 名受试者的数据(纽卡斯尔 910 名,曼彻斯特 873 名)。两个人群的物质剥夺程度(多因素剥夺指数)相当(纽卡斯尔平均 35.22,范围 2.77-78.85;曼彻斯特平均 37.04,范围 1.84-84.02)。在所有五个物质剥夺五分位数中,加氟组的受试者临床评分和摄影评分的龋齿患病程度均低于未加氟组:纽卡斯尔平均 DMFT 2.94(临床);2.51(摄影),曼彻斯特平均 DMFT 4.48(临床);3.44(摄影)和牙本质龋:纽卡斯尔平均 DMFT 0.65(临床);0.58(摄影),曼彻斯特平均 DMFT 1.07(临床);0.98(摄影)。只有在最不贫困的五分位数中,牙本质龋没有发现两个城市之间有显著差异:纽卡斯尔平均 DMFT 0.38(临床);0.36(摄影),曼彻斯特平均 DMFT 0.45(临床);0.39(摄影)。曼彻斯特发生白垩斑或更严重龋齿的比值比(OR)为 1.9 相对于纽卡斯尔。曼彻斯特发生牙本质龋的 OR 为 1.8 相对于纽卡斯尔。纽卡斯尔发生氟斑牙的 OR 为 3.3 相对于曼彻斯特。

结论

当考虑牙本质龋时,水氟化物似乎可以减少社会阶层与龋齿患病程度之间的梯度差异。然而,这与轻度氟斑牙发生风险增加有关。口腔内摄像机和龋齿摄影评分的远程评分显示出盲法评分的良好潜力。

https://cdn.ncbi.nlm.nih.gov/pmc/blobs/3b26/3543717/a3e7431ca2f3/1471-2458-12-1122-1.jpg

文献AI研究员

20分钟写一篇综述,助力文献阅读效率提升50倍。

立即体验

用中文搜PubMed

大模型驱动的PubMed中文搜索引擎

马上搜索

文档翻译

学术文献翻译模型,支持多种主流文档格式。

立即体验