Division of Biokinesiology and Physical Therapy, University of Southern California, 1540 Alcazar St, Los Angeles, CA 90033, USA.
BMC Complement Altern Med. 2013 Jan 9;13:8. doi: 10.1186/1472-6882-13-8.
The number of older adults participating in yoga has increased dramatically in recent years; yet, the physical demands associated with yoga performance have not been reported. The primary aim of the Yoga Empowers Seniors Study (YESS) was to use biomechanical methods to quantify the physical demands associated with the performance of 7 commonly-practiced standing yoga poses in older adults.
20 ambulatory older adults (70.7+-3.8 yrs) attended 2 weekly 60-minute Hatha yoga classes for 32 weeks. The lower-extremity net joint moments of force (JMOFs), were obtained during the performance of the following poses: Chair, Wall Plank, Tree, Warrior II, Side Stretch, Crescent, and One-Legged Balance. Repeated-measure ANOVA and Tukey's post-hoc tests were used to identify differences in JMOFs among the poses. Electromyographic analysis was used to support the JMOF findings.
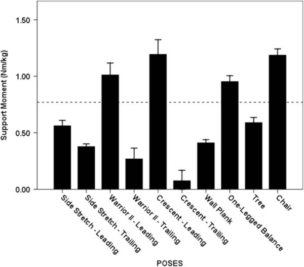
There was a significant main effect for pose, at the ankle, knee and hip, in the frontal and sagittal planes (p=0.00-0.03). The Crescent, Chair, Warrior II, and One-legged Balance poses generated the greatest average support moments. Side Stretch generated the greatest average hip extensor and knee flexor JMOFs. Crescent placed the highest demands on the hip flexors and knee extensors. All of the poses produced ankle plantar-flexor JMOFs. In the frontal plane, the Tree generated the greatest average hip and knee abductor JMOFs; whereas Warrior II generated the greatest average hip and knee adductor JMOFs. Warrior II and One-legged Balance induced the largest average ankle evertor and invertor JMOFs, respectively. The electromyographic findings were consistent with the JMOF results.
Musculoskeletal demand varied significantly across the different poses. These findings may be used to guide the design of evidence-based yoga interventions that address individual-specific training and rehabilitation goals in seniors.
This study is registered with NIH Clinicaltrials.gov #NCT 01411059.
近年来,参与瑜伽的老年人数量大幅增加;然而,瑜伽表演相关的身体要求尚未得到报道。瑜伽增强老年人研究(YESS)的主要目的是使用生物力学方法来量化 20 名常进行的站立瑜伽姿势在老年人中表现时的身体要求。
20 名有活动能力的老年人(70.7±3.8 岁)参加了每周 2 次、每次 60 分钟的哈他瑜伽课程,共 32 周。在下述姿势中获得下肢净关节力矩(JMOF):椅子式、墙壁板式、树式、战士 II 式、侧伸展式、新月式和单腿平衡式。采用重复测量方差分析和 Tukey 事后检验来确定姿势间 JMOF 的差异。肌电图分析用于支持 JMOF 的发现。
在正面和矢状面,姿势在踝关节、膝关节和髋关节上存在显著的主效应(p=0.00-0.03)。新月式、椅子式、战士 II 式和单腿平衡式产生的平均支撑力矩最大。侧伸展式产生的平均髋关节伸肌和膝关节屈肌 JMOF 最大。新月式对髋关节屈肌和膝关节伸肌的要求最高。所有姿势均产生踝关节跖屈肌 JMOF。在正面,树式产生的平均髋关节和膝关节外展肌 JMOF 最大;而战士 II 式产生的平均髋关节和膝关节内收肌 JMOF 最大。战士 II 式和单腿平衡式分别产生最大的平均踝关节外展和内翻肌 JMOF。肌电图结果与 JMOF 结果一致。
不同姿势之间的肌肉骨骼需求差异显著。这些发现可用于指导基于证据的瑜伽干预措施的设计,以满足老年人的个体特定训练和康复目标。
本研究在美国国立卫生研究院临床试验注册处注册,注册号为 NIH Clinicaltrials.gov #NCT 01411059。